电脑桌面
添加蜗牛文库到电脑桌面
安装后可以在桌面快捷访问

2020年全国卷Ⅲ理数高考试题文档版(含答案).docxVIP免费

2020年全国卷Ⅲ理数高考试题文档版(含答案).docx_第1页
2020年全国卷Ⅲ理数高考试题文档版(含答案).docx_第2页
2020年全国卷Ⅲ理数高考试题文档版(含答案).docx_第3页
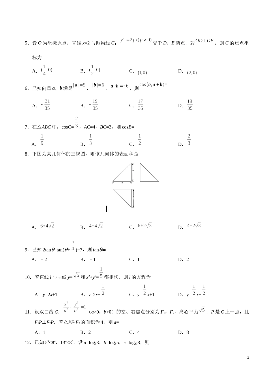
1绝密★启用前2020年普通高等学校招生全国统一考试理科数学注意事项:1.答卷前,考生务必将自己的姓名、准考证号填写在答题卡上.2.回答选择题时,选出每小题答案后,用铅笔把答题卡上对应题目的答案标号涂黑。如需改动,用橡皮擦干净后,再选涂其他答案标号。回答非选择题时,将答案写在答题卡上。写在本试卷上无效。3.考试结束后,将本试卷和答题卡一并交回。一、选择题:本题共12小题,每小题5分,共60分。在每小题给出的四个选项中,只有一项是符合题目要求的。1.已知集合,,则中元素的个数为A.2B.3C.4D.62.复数的虚部是A.B.C.D.3.在一组样本数据中,1,2,3,4出现的频率分别为,且,则下面四种情形中,对应样本的标准差最大的一组是A.B.C.D.4.Logistic模型是常用数学模型之一,可应用于流行病学领域.有学者根据公布数据建立了某地区新冠肺炎累计确诊病例数(t的单位:天)的Logistic模型:,其中K为最大确诊病例数.当时,标志着已初步遏制疫情,则t*约为A.60B.63C.66D.6925.设O为坐标原点,直线x=2与抛物线C:交于D,E两点,若,则C的焦点坐标为A.B.C.D.6.已知向量a,b满足,,,则A.B.C.D.7.在△ABC中,cosC=,AC=4,BC=3,则cosB=A.B.C.D.8.下图为某几何体的三视图,则该几何体的表面积是A.B.C.D.9.已知2tanθ–tan(θ+)=7,则tanθ=A.–2B.–1C.1D.210.若直线l与曲线y=和x2+y2=都相切,则l的方程为A.y=2x+1B.y=2x+C.y=x+1D.y=x+11.设双曲线C:(a>0,b>0)的左、右焦点分别为F1,F2,离心率为.P是C上一点,且F1P⊥F2P.若△PF1F2的面积为4,则a=A.1B.2C.4D.812.已知55<84,134<85.设a=log53,b=log85,c=log138,则3A.a

1、当您付费下载文档后,您只拥有了使用权限,并不意味着购买了版权,文档只能用于自身使用,不得用于其他商业用途(如 [转卖]进行直接盈利或[编辑后售卖]进行间接盈利)。
2、本站所有内容均由合作方或网友上传,本站不对文档的完整性、权威性及其观点立场正确性做任何保证或承诺!文档内容仅供研究参考,付费前请自行鉴别。
3、如文档内容存在违规,或者侵犯商业秘密、侵犯著作权等,请点击“违规举报”。

碎片内容

蜗牛文库的最新文档

二年级数学下册其中检测卷二年级数学下册其中检测卷附答案#期中测试卷.pdf
10.00金币
0下载
二年级数学下册期末质检卷(苏教版)二年级数学下册期末质检卷(苏教版)#期末复习 #期末测试卷 #二年级数学 #二年级数学下册#关注我持续更新小学知识.pdf
10.00金币
0下载
二年级数学下册期末混合运算专项练习二年级数学下册期末混合运算专项练习#二年级#二年级数学下册#关注我持续更新小学知识 #知识分享 #家长收藏孩子受益.pdf
10.00金币
1下载
二年级数学下册年月日三类周期问题解题方法二年级数学下册年月日三类周期问题解题方法#二年级#二年级数学下册#知识分享 #关注我持续更新小学知识 #家长收藏孩子受益.pdf
10.00金币
0下载
二年级数学下册解决问题专项训练二年级数学下册解决问题专项训练#专项训练#解决问题#二年级#二年级数学下册#知识分享.pdf
10.00金币
1下载
二年级数学下册还原问题二年级数学下册还原问题#二年级#二年级数学#关注我持续更新小学知识 #知识分享 #家长收藏孩子受益.pdf
10.00金币
1下载
二年级数学下册第六单元考试卷家长打印出来给孩子测试测试争取拿到高分!#小学二年级试卷分享 #二年级第六单考试数学 #第六单考试#二年级数学下册.pdf
10.00金币
0下载
二年级数学下册必背顺口溜口诀汇总二年级数学下册必背顺口溜口诀汇总#二年级#二年级数学下册 #知识分享 #家长收藏孩子受益 #关注我持续更新小学知识.pdf
10.00金币
0下载
二年级数学下册《重点难点思维题》两大问题解决技巧和方法巧算星期几解决周期问题还原问题强化思维训练老师精心整理家长可以打印出来给孩子练习#家长收藏孩子受益 #学霸秘籍 #思维训练 #二年级 #知识点总结.pdf
10.00金币
0下载
二年级数学下册 必背公式大全寒假提前背一背开学更轻松#二年级 #二年级数学 #二年级数学下册 #寒假充电计划 #公式.pdf
10.00金币
0下载
蜗牛文库+ 关注
实名认证
内容提供者

提供各种专业文档内容

确认删除?
QQ
  • QQ点击这里给我发消息
微信客服
  • 微信客服