电脑桌面
添加蜗牛文库到电脑桌面
安装后可以在桌面快捷访问

A 巩固练习1(2).docVIP免费

A 巩固练习1(2).doc_第1页
A 巩固练习1(2).doc_第2页
A 巩固练习1(2).doc_第3页
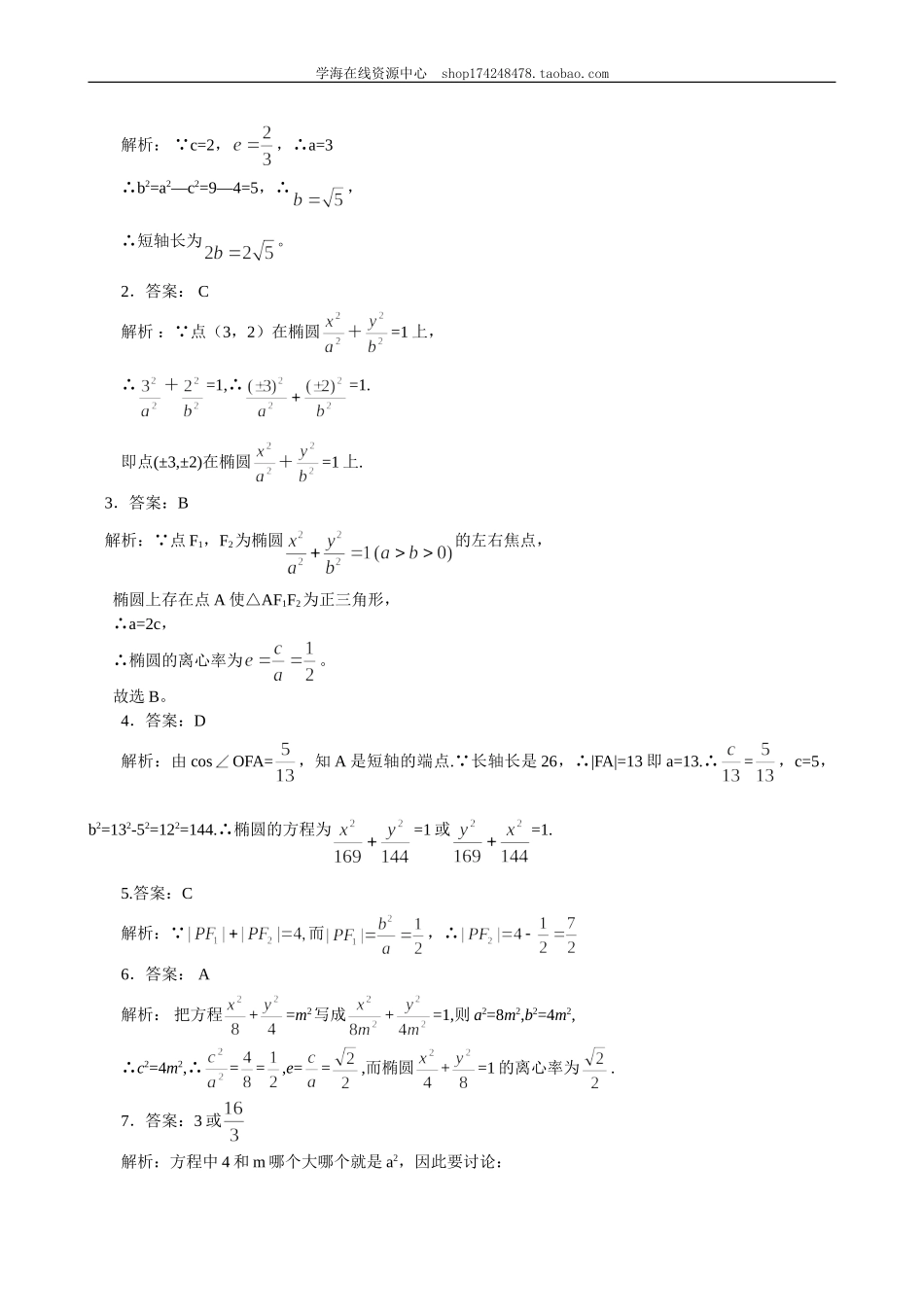
学海在线资源中心shop174248478.taobao.com【巩固练习】一、选择题1.一个椭圆的半焦距为2,离心率,那么它的短轴长是()A.3B.C.D.62.已知点(3,2)在椭圆+=1上,则()A.点(-3,-2)不在椭圆上B.点(3,-2)不在椭圆上C.点(-3,2)在椭圆上D.无法判断点(-3,-2)、(3,-2)、(-3,2)是否在椭圆上3.(2015青羊区校级模拟)点F1,F2为椭圆的左右焦点,若椭圆上存在点A使△AF1F2为正三角形,那么椭圆的离心率为()A.B.C.D.4.已知椭圆的对称轴是坐标轴,O为坐标原点,F是一个焦点,A是一个顶点,若椭圆的长轴长是26,cosOFA=,则椭圆的方程是()A.=1B.=1C.=1或=1D.=1或=15.椭圆的两个焦点为,过作垂直于x轴的直线与椭圆相交,一个交点为P,则为()A.B.C.D.46.已知椭圆C:+=1与椭圆+=1有相同离心率,则椭圆C的方程可能是()A.+=m2(m≠0)B.+=1学海在线资源中心shop174248478.taobao.comC.+=1D.以上都不可能填空题7.椭圆的离心率为,则m=________.8.若圆x2+y2=a2(a>0)与椭圆有公共点,则实数a的取值范围是________.9.(2014江西)过点M(1,1)作斜率为-的直线与椭圆C:=1(a>b>0)相交于A,B两点,若M是线段AB的中点,则椭圆C的离心率等于.10.已知椭圆C的焦点在x轴上,椭圆C上的点到焦点的距离的最大值为3,最小值为1,则椭圆C的标准方程为.三、解答题11.已知椭圆的长轴是短轴的3倍,且过点A(3,0),并且以坐标轴为对称轴,求椭圆的标准方程。12.椭圆(a>b>0)的两焦点为F1(0,-c),F2(0,c)(c>0),离心率e=,焦点到椭圆上点的最短距离为2-,求椭圆的方程.13.若椭圆的对称轴在坐标轴上,两焦点与两短轴的端点恰好是正方形的四个顶点,且焦点到同侧长轴端点距离为,(1)求椭圆的方程;(2)求椭圆的离心率14.已知长轴为12,短轴长为6,焦点在轴上的椭圆,过它对的左焦点作倾斜解为的直线交椭圆于,两点,求弦的长.15.(2014新课标Ⅰ)已知点A(0,-2),椭圆E:=1(a>b>0)的离心率为,F是椭圆E的右焦点,直线AF的斜率为,O为坐标原点.()Ⅰ求E的方程;()Ⅱ设过点A的动直线l与E相交于P,Q两点,当△OPQ的面积最大时,求l的方程.【答案与解析】1.答案:C学海在线资源中心shop174248478.taobao.com解析: c=2,,∴a=3∴b2=a2―c2=9―4=5,∴,∴短轴长为。2.答案:C解析: 点(3,2)在椭圆+=1上,∴+=1,∴=1.即点(±3,±2)在椭圆+=1上.3.答案:B解析: 点F1,F2为椭圆的左右焦点,椭圆上存在...

1、当您付费下载文档后,您只拥有了使用权限,并不意味着购买了版权,文档只能用于自身使用,不得用于其他商业用途(如 [转卖]进行直接盈利或[编辑后售卖]进行间接盈利)。
2、本站所有内容均由合作方或网友上传,本站不对文档的完整性、权威性及其观点立场正确性做任何保证或承诺!文档内容仅供研究参考,付费前请自行鉴别。
3、如文档内容存在违规,或者侵犯商业秘密、侵犯著作权等,请点击“违规举报”。

碎片内容

蜗牛文库的最新文档

二年级数学下册其中检测卷二年级数学下册其中检测卷附答案#期中测试卷.pdf
10.00金币
0下载
二年级数学下册期末质检卷(苏教版)二年级数学下册期末质检卷(苏教版)#期末复习 #期末测试卷 #二年级数学 #二年级数学下册#关注我持续更新小学知识.pdf
10.00金币
0下载
二年级数学下册期末混合运算专项练习二年级数学下册期末混合运算专项练习#二年级#二年级数学下册#关注我持续更新小学知识 #知识分享 #家长收藏孩子受益.pdf
10.00金币
1下载
二年级数学下册年月日三类周期问题解题方法二年级数学下册年月日三类周期问题解题方法#二年级#二年级数学下册#知识分享 #关注我持续更新小学知识 #家长收藏孩子受益.pdf
10.00金币
0下载
二年级数学下册解决问题专项训练二年级数学下册解决问题专项训练#专项训练#解决问题#二年级#二年级数学下册#知识分享.pdf
10.00金币
1下载
二年级数学下册还原问题二年级数学下册还原问题#二年级#二年级数学#关注我持续更新小学知识 #知识分享 #家长收藏孩子受益.pdf
10.00金币
1下载
二年级数学下册第六单元考试卷家长打印出来给孩子测试测试争取拿到高分!#小学二年级试卷分享 #二年级第六单考试数学 #第六单考试#二年级数学下册.pdf
10.00金币
0下载
二年级数学下册必背顺口溜口诀汇总二年级数学下册必背顺口溜口诀汇总#二年级#二年级数学下册 #知识分享 #家长收藏孩子受益 #关注我持续更新小学知识.pdf
10.00金币
0下载
二年级数学下册《重点难点思维题》两大问题解决技巧和方法巧算星期几解决周期问题还原问题强化思维训练老师精心整理家长可以打印出来给孩子练习#家长收藏孩子受益 #学霸秘籍 #思维训练 #二年级 #知识点总结.pdf
10.00金币
0下载
二年级数学下册 必背公式大全寒假提前背一背开学更轻松#二年级 #二年级数学 #二年级数学下册 #寒假充电计划 #公式.pdf
10.00金币
0下载
蜗牛文库+ 关注
实名认证
内容提供者

提供各种专业文档内容

确认删除?
QQ
  • QQ点击这里给我发消息
微信客服
  • 微信客服
回到顶部