电脑桌面
添加蜗牛文库到电脑桌面
安装后可以在桌面快捷访问

2014工科数学分析测试试题及答案(级数解几).docVIP免费

2014工科数学分析测试试题及答案(级数解几).doc_第1页
2014工科数学分析测试试题及答案(级数解几).doc_第2页
2014工科数学分析测试试题及答案(级数解几).doc_第3页
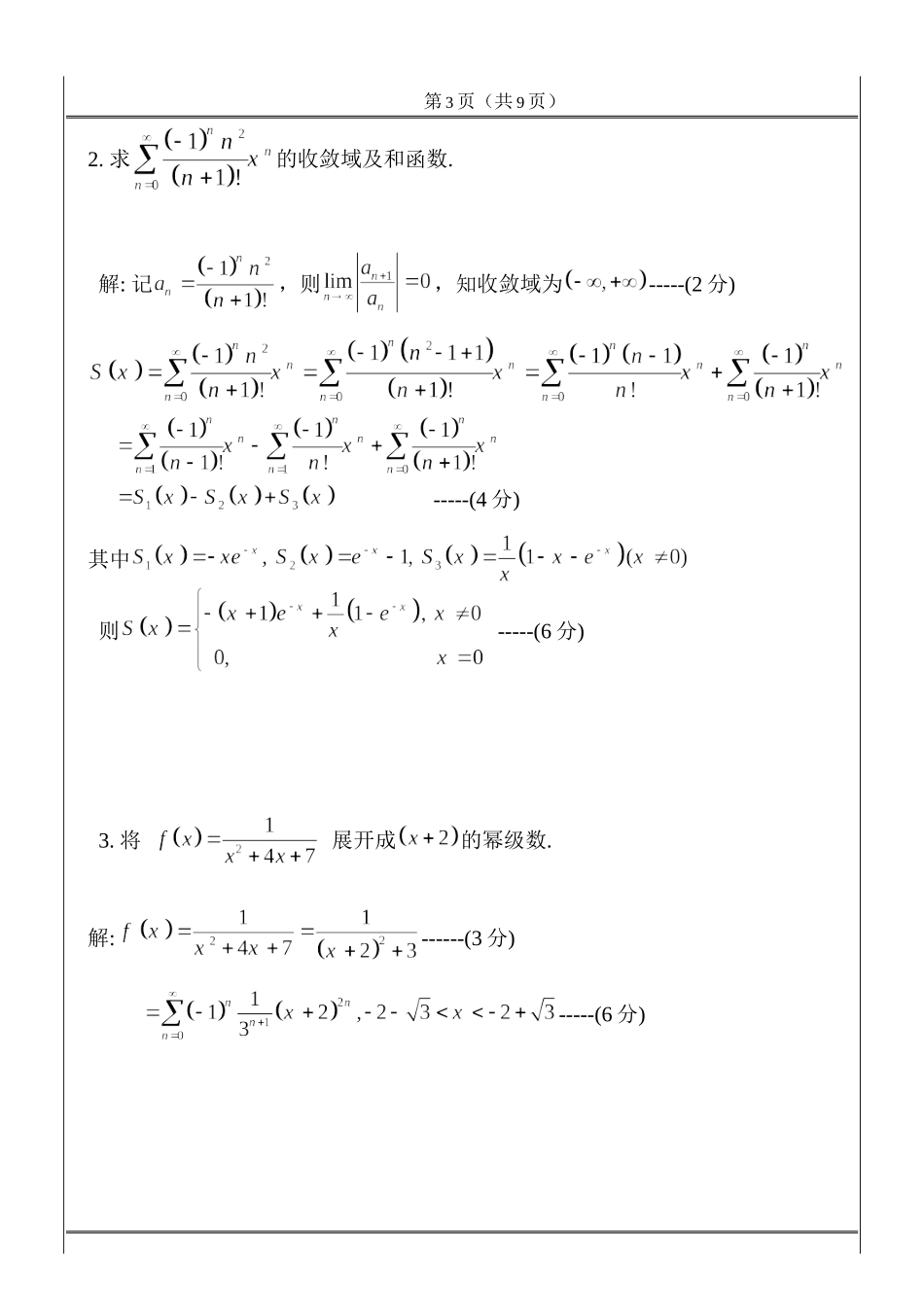
南京航空航天大学第1页(共4页)二○一三~二○一四学年第二学期《工科数学分析》研讨测试考试日期:2014年3月日内容:级数、解析几何班号学号姓名题号一二三四五总分得分专题一:数项级数的敛散性(测试题16分,每题8分)(1)正项级数的敛散性判定;(2)绝对收敛与条件收敛;(3)数项级数敛散性证明.1.讨论下列级数的敛散性,若为变号级数收敛请指出它是条件收敛还是绝对收敛:(1);(2)解:(1),级数发散----------(4分);(2)设,则,所以单调减则单调减,且,由莱布尼兹准则知级数收敛------(2分)而,这说明同敛散,则级数条件收敛------(4分)本题分数30得分第2页(共9页)2.设级数收敛,且.求证:级数收敛,且.证:记,由级数收敛知存在------(3分)因为级数的部分和-----(6分)于是由知----(8分)专题二:幂级数及其应用(测试题18分,每题6分).(1)阿贝尔(Abel)定理;(2)幂级数的收敛域与和函数;(3)幂级数展开.1.已知幂级数在处收敛,在处发散,求幂级数的收敛域.解:记,则由条件知在处收敛,在处发散------(3分)从而得的收敛域为------(6分)本题分数30得分第3页(共9页)2.求的收敛域及和函数.解:记,则,知收敛域为-----(2分)-----(4分)其中则-----(6分)3.将展开成的幂级数.解:------(3分)-----(6分)第4页(共9页)专题三:傅里叶级数展开及应用(测试题14分,每题7分)(1)狄里克雷(Dirichlet)定理;(2)正弦级数和余弦级数;(3)求数项级数的和.1.设函数在上展开为傅里叶级数,求该傅里叶级数的和函数.解:根据狄里克雷(Dirichlet)定理得和函数----------------------------(6分)2.将展开成余弦级数,并求数项级数的和.解:将偶延拓:-------------(2分)则从而-------------(4分)本题分数30得分第5页(共9页)当时,,从而..专题四:空间向量的知识(测试题20分,每题5分)(1)向量的坐标;(2)向量的运算;(3)向量的夹角;(4)向量法证明.1.已知两点和,求向量的三个方向角以及与同方向的单位向量.解:三个方向角为-----------(3分)单位向量.--------(5分)2.已知.解:-------(5分)3.求直线与平面的夹角.解:夹角为.--------(5分)本题分数20得分第6页(共9页)4.利用向量证明:三角形三中线长度的平方和等于三边长度平方和的.证:三边向量为,则三中线向量为又,则,由此得故…--------(5分)专题五:点、直线与平面(测试题20分,每题5分)(1)点到平面的距离公式;(2)点到直线的距离公式;(3)求平面方程;(4)求直线方程.1.求点到平面的距离.解:距离.-------(5分)2.求点到直线的距...

1、当您付费下载文档后,您只拥有了使用权限,并不意味着购买了版权,文档只能用于自身使用,不得用于其他商业用途(如 [转卖]进行直接盈利或[编辑后售卖]进行间接盈利)。
2、本站所有内容均由合作方或网友上传,本站不对文档的完整性、权威性及其观点立场正确性做任何保证或承诺!文档内容仅供研究参考,付费前请自行鉴别。
3、如文档内容存在违规,或者侵犯商业秘密、侵犯著作权等,请点击“违规举报”。

碎片内容

蜗牛文库的最新文档

二年级数学下册其中检测卷二年级数学下册其中检测卷附答案#期中测试卷.pdf
10.00金币
0下载
二年级数学下册期末质检卷(苏教版)二年级数学下册期末质检卷(苏教版)#期末复习 #期末测试卷 #二年级数学 #二年级数学下册#关注我持续更新小学知识.pdf
10.00金币
0下载
二年级数学下册期末混合运算专项练习二年级数学下册期末混合运算专项练习#二年级#二年级数学下册#关注我持续更新小学知识 #知识分享 #家长收藏孩子受益.pdf
10.00金币
1下载
二年级数学下册年月日三类周期问题解题方法二年级数学下册年月日三类周期问题解题方法#二年级#二年级数学下册#知识分享 #关注我持续更新小学知识 #家长收藏孩子受益.pdf
10.00金币
0下载
二年级数学下册解决问题专项训练二年级数学下册解决问题专项训练#专项训练#解决问题#二年级#二年级数学下册#知识分享.pdf
10.00金币
1下载
二年级数学下册还原问题二年级数学下册还原问题#二年级#二年级数学#关注我持续更新小学知识 #知识分享 #家长收藏孩子受益.pdf
10.00金币
1下载
二年级数学下册第六单元考试卷家长打印出来给孩子测试测试争取拿到高分!#小学二年级试卷分享 #二年级第六单考试数学 #第六单考试#二年级数学下册.pdf
10.00金币
0下载
二年级数学下册必背顺口溜口诀汇总二年级数学下册必背顺口溜口诀汇总#二年级#二年级数学下册 #知识分享 #家长收藏孩子受益 #关注我持续更新小学知识.pdf
10.00金币
0下载
二年级数学下册《重点难点思维题》两大问题解决技巧和方法巧算星期几解决周期问题还原问题强化思维训练老师精心整理家长可以打印出来给孩子练习#家长收藏孩子受益 #学霸秘籍 #思维训练 #二年级 #知识点总结.pdf
10.00金币
0下载
二年级数学下册 必背公式大全寒假提前背一背开学更轻松#二年级 #二年级数学 #二年级数学下册 #寒假充电计划 #公式.pdf
10.00金币
0下载
蜗牛文库+ 关注
实名认证
内容提供者

提供各种专业文档内容

确认删除?
QQ
  • QQ点击这里给我发消息
微信客服
  • 微信客服
回到顶部