电脑桌面
添加蜗牛文库到电脑桌面
安装后可以在桌面快捷访问

傅立叶光学实验报告 (2).docVIP免费

傅立叶光学实验报告 (2).doc_第1页
傅立叶光学实验报告 (2).doc_第2页
傅立叶光学实验报告 (2).doc_第3页
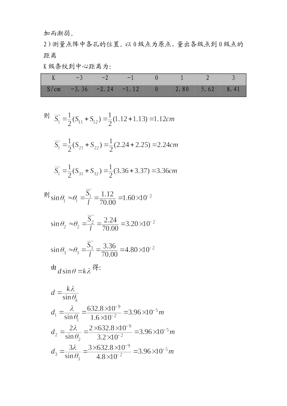
实验报告陈杨PB05210097物理二班实验题目:傅里叶光学实验实验目的:加深对傅里叶光学中的一些基本概念和理论的理解,验证阿贝成像理论,理解透镜成像过程,掌握光学信息处理的实质,进一步了解透镜孔径对分辨率的影响。实验原理:1.傅里叶光学变换二维傅里叶变换为:(1),复杂的二维傅里叶变换可以用透镜来实现,叫光学傅里叶变换。2.阿贝成像原理由于物面与透镜的前焦平面不重合,根据傅立叶光学的理论可以知换(频谱),不过只有一个位相因子的差别,对于一般情况的滤波处理可以不考虑。这个光路的优道在透镜的后焦平面上得到的不是物函数的严格的傅立叶变点是光路简单,是显微镜物镜成像的情况—可以得到很大的象以便于观察,这正是阿贝当时要改进显微镜的分辨本领时所用的光路。3.空间滤波根据以上讨论:透镜的成像过程可看作是两次傅里叶变换,即从空间函数变为频谱函数,再变回到空间函数,如果在频谱面上放一不同结构的光阑,以提取某些频段的信息,则必然使像上发生相应的变化,这样的图像处理称空间滤波。实验内容:(注意事项:不要动He-Ne激光器→反射镜→直角三棱镜的光路!(因此部分光路已经调好))测小透镜的焦距f1(付里叶透镜f2=45.0CM).光路:直角三棱镜→望远镜(倒置)(出射应是平行光)→小透镜→屏思考:如何测焦距?夫琅和费衍射:光路:直角三棱镜→光栅→墙上布屏(此光路满足远场近似)(1)利用夫琅和费衍射测一维光栅常数;光栅方程:dsinθ=kλ其中,k=0,±1,±2,±3,…请自己选择待测量的量和求光栅常数的方法。(卷尺可向老师索要)记录一维光栅的衍射图样、可看到哪些级?记录0级、±1级、±2级光斑的位置;(2)记录二维光栅的衍射图样.3.观察并记录下述傅立叶频谱面上不同滤波条件的图样或特征;光路:直角三棱镜→光栅→小透镜→滤波模板(位于空间频谱面上)→墙上屏思考:空间频谱面在距小透镜多远处?图样应是何样?(1)一维光栅:(滤波模板自制,一定要注意戴眼镜保护;可用一张纸,一根针扎空来制作,也可用其他方法).a.滤波模板只让0级通过;b.滤波模板只让0、±1级通过;c.滤波模板只让0、±2级通过;(2)二维光栅:a.滤波模板只让含0级的水平方向一排点阵通过;b.滤波模板只让含0级的竖直方向一排点阵通过;c.滤波模板只让含0级的与水平方向成45O一排点阵通过;d.滤波模板只让含0级的与水平方向成135O一排点阵通过.4.“光”字屏滤波物面上是规则的光栅和一个汉字“光”叠加而成,在实验中要求得到如下...

1、当您付费下载文档后,您只拥有了使用权限,并不意味着购买了版权,文档只能用于自身使用,不得用于其他商业用途(如 [转卖]进行直接盈利或[编辑后售卖]进行间接盈利)。
2、本站所有内容均由合作方或网友上传,本站不对文档的完整性、权威性及其观点立场正确性做任何保证或承诺!文档内容仅供研究参考,付费前请自行鉴别。
3、如文档内容存在违规,或者侵犯商业秘密、侵犯著作权等,请点击“违规举报”。

碎片内容

蜗牛文库的最新文档

二年级数学下册其中检测卷二年级数学下册其中检测卷附答案#期中测试卷.pdf
10.00金币
0下载
二年级数学下册期末质检卷(苏教版)二年级数学下册期末质检卷(苏教版)#期末复习 #期末测试卷 #二年级数学 #二年级数学下册#关注我持续更新小学知识.pdf
10.00金币
0下载
二年级数学下册期末混合运算专项练习二年级数学下册期末混合运算专项练习#二年级#二年级数学下册#关注我持续更新小学知识 #知识分享 #家长收藏孩子受益.pdf
10.00金币
1下载
二年级数学下册年月日三类周期问题解题方法二年级数学下册年月日三类周期问题解题方法#二年级#二年级数学下册#知识分享 #关注我持续更新小学知识 #家长收藏孩子受益.pdf
10.00金币
0下载
二年级数学下册解决问题专项训练二年级数学下册解决问题专项训练#专项训练#解决问题#二年级#二年级数学下册#知识分享.pdf
10.00金币
1下载
二年级数学下册还原问题二年级数学下册还原问题#二年级#二年级数学#关注我持续更新小学知识 #知识分享 #家长收藏孩子受益.pdf
10.00金币
1下载
二年级数学下册第六单元考试卷家长打印出来给孩子测试测试争取拿到高分!#小学二年级试卷分享 #二年级第六单考试数学 #第六单考试#二年级数学下册.pdf
10.00金币
0下载
二年级数学下册必背顺口溜口诀汇总二年级数学下册必背顺口溜口诀汇总#二年级#二年级数学下册 #知识分享 #家长收藏孩子受益 #关注我持续更新小学知识.pdf
10.00金币
0下载
二年级数学下册《重点难点思维题》两大问题解决技巧和方法巧算星期几解决周期问题还原问题强化思维训练老师精心整理家长可以打印出来给孩子练习#家长收藏孩子受益 #学霸秘籍 #思维训练 #二年级 #知识点总结.pdf
10.00金币
0下载
二年级数学下册 必背公式大全寒假提前背一背开学更轻松#二年级 #二年级数学 #二年级数学下册 #寒假充电计划 #公式.pdf
10.00金币
0下载
蜗牛文库+ 关注
实名认证
内容提供者

提供各种专业文档内容

确认删除?
QQ
  • QQ点击这里给我发消息
微信客服
  • 微信客服
回到顶部