电脑桌面
添加蜗牛文库到电脑桌面
安装后可以在桌面快捷访问

实验15 光的等厚干涉与应用.docVIP免费

实验15 光的等厚干涉与应用.doc_第1页
实验15 光的等厚干涉与应用.doc_第2页
实验15 光的等厚干涉与应用.doc_第3页
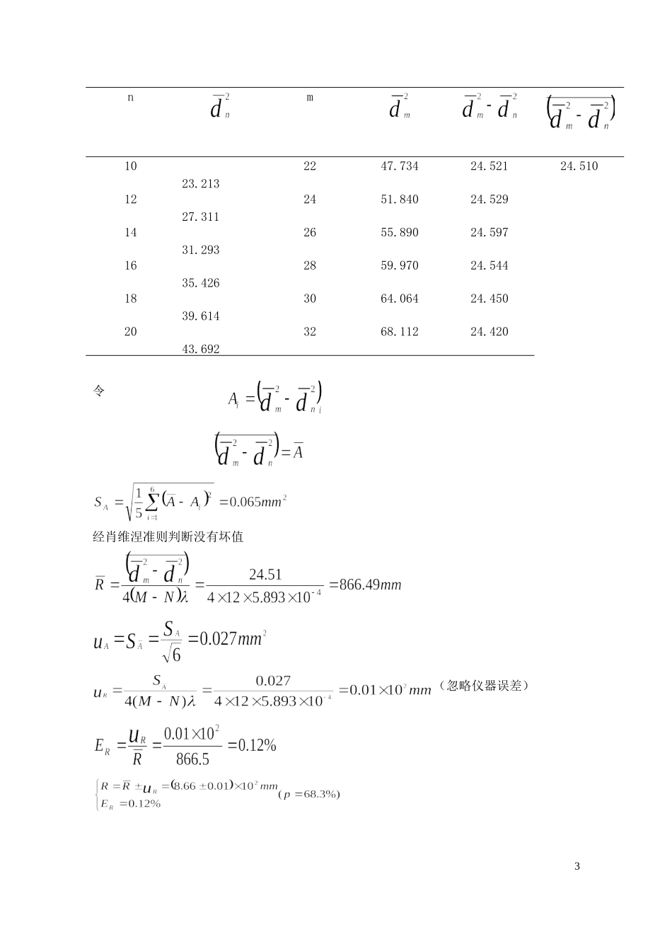
实验15光的等厚干涉与应用林一仙沈跃飞一目的1、观察光的等厚干涉现象,加深理解干涉原理2、学习牛顿环干涉现象测定该装置中平凸透镜的曲率半径3、掌握读数显微镜的使用方法4、掌握逐差法处理数据的方法二仪器读数显微镜,钠光灯,牛顿环装置三原理牛顿环装置是一个曲率半径相当大的平凸透镜放在一平板玻璃上,这样两玻璃间形成空气薄层厚度e与薄层位置到中央接触点的距离r,凸透镜曲率半径R的关系为:(a)(b)图20—1根据干涉相消条件易得第K级暗纹的半径与波长λ及牛顿环装置中平凸透镜的凸面曲率半径R存在下述关系:根据与K成正比的性质采取逐差法处理实验数据四实验内容及步骤1、打开钠光灯,调整牛顿环装置使干涉图样处于装置中心,之后将它放在显微镜的载物台上,调整显微镜的方向使显微镜下的半反射镜将光反射到牛顿环装置上,如图20-1(a)。2、调节显微镜的目镜直到看清“十”字叉丝,降低显微镜筒,使它靠近牛顿环装置的1表面,然后慢慢往上调节必要时调节下方的反光镜,直到看清牛顿环图样为止。3、转动鼓轮,使显微镜筒大约在主尺中间的位置。移动牛顿环装置,使“十”字叉丝的交点在牛顿环中心,同时转动目镜使横向叉线平行于主尺。4、顺时针转动鼓轮,使叉丝左移,同时读出叉丝越过暗纹的数目,读到34环停止移动,然后逆时针慢慢转动鼓轮,使叉丝右移,当叉丝在第32、30、26、24、22、20、18、16、14、12、10暗纹的中心时读数。再继续向右移使叉丝越过牛顿环中心,当叉丝在第10、12、14、16、18、20、22、24、26、28、30、32暗纹中心时读数计算各环的直径测量值。5、把牛顿环装置转90度后,重复第3、4步。并计算各环直径测量平均值。并用逐差法处理数据。五注意事项1、仪器轻拿轻放,避免碰撞。2、镜头不可用手触摸,有灰尘时用擦镜纸轻轻拂去不能用力擦拭。3、调焦及调鼓轮时不可超出可调范围。为防止产生螺距误差,测量过程中鼓轮只能往一个方向转动,不许中途回倒鼓轮。六数据记录及处理表1曲率半径较小的数据k(mm)1027.34522.5304.81527.22222.4004.8224.81823.2131227.54122.3225.21927.43522.2025.2335.22627.3111427.73522.1455.59027.60822.0105.5985.59431.2931627.90721.9625.94527.79521.8355.9605.95235.4261828.07921.7886.29127.96521.6686.2976.29439.6142028.23521.6326.60328.12521.5086.6176.61043.6922228.38521.4806.90528.26821.3556.9136.90947.7342428.53121.3557.19628.41521.2107.2057.20051.8402628.65521.19...

1、当您付费下载文档后,您只拥有了使用权限,并不意味着购买了版权,文档只能用于自身使用,不得用于其他商业用途(如 [转卖]进行直接盈利或[编辑后售卖]进行间接盈利)。
2、本站所有内容均由合作方或网友上传,本站不对文档的完整性、权威性及其观点立场正确性做任何保证或承诺!文档内容仅供研究参考,付费前请自行鉴别。
3、如文档内容存在违规,或者侵犯商业秘密、侵犯著作权等,请点击“违规举报”。

碎片内容

蜗牛文库的最新文档

二年级数学下册其中检测卷二年级数学下册其中检测卷附答案#期中测试卷.pdf
10.00金币
0下载
二年级数学下册期末质检卷(苏教版)二年级数学下册期末质检卷(苏教版)#期末复习 #期末测试卷 #二年级数学 #二年级数学下册#关注我持续更新小学知识.pdf
10.00金币
0下载
二年级数学下册期末混合运算专项练习二年级数学下册期末混合运算专项练习#二年级#二年级数学下册#关注我持续更新小学知识 #知识分享 #家长收藏孩子受益.pdf
10.00金币
1下载
二年级数学下册年月日三类周期问题解题方法二年级数学下册年月日三类周期问题解题方法#二年级#二年级数学下册#知识分享 #关注我持续更新小学知识 #家长收藏孩子受益.pdf
10.00金币
0下载
二年级数学下册解决问题专项训练二年级数学下册解决问题专项训练#专项训练#解决问题#二年级#二年级数学下册#知识分享.pdf
10.00金币
1下载
二年级数学下册还原问题二年级数学下册还原问题#二年级#二年级数学#关注我持续更新小学知识 #知识分享 #家长收藏孩子受益.pdf
10.00金币
1下载
二年级数学下册第六单元考试卷家长打印出来给孩子测试测试争取拿到高分!#小学二年级试卷分享 #二年级第六单考试数学 #第六单考试#二年级数学下册.pdf
10.00金币
0下载
二年级数学下册必背顺口溜口诀汇总二年级数学下册必背顺口溜口诀汇总#二年级#二年级数学下册 #知识分享 #家长收藏孩子受益 #关注我持续更新小学知识.pdf
10.00金币
0下载
二年级数学下册《重点难点思维题》两大问题解决技巧和方法巧算星期几解决周期问题还原问题强化思维训练老师精心整理家长可以打印出来给孩子练习#家长收藏孩子受益 #学霸秘籍 #思维训练 #二年级 #知识点总结.pdf
10.00金币
0下载
二年级数学下册 必背公式大全寒假提前背一背开学更轻松#二年级 #二年级数学 #二年级数学下册 #寒假充电计划 #公式.pdf
10.00金币
0下载
蜗牛文库+ 关注
实名认证
内容提供者

提供各种专业文档内容

确认删除?
QQ
  • QQ点击这里给我发消息
微信客服
  • 微信客服
回到顶部