电脑桌面
添加蜗牛文库到电脑桌面
安装后可以在桌面快捷访问

直线运动速度测量(1).docVIP免费

直线运动速度测量(1).doc_第1页
直线运动速度测量(1).doc_第2页
直线运动速度测量(1).doc_第3页
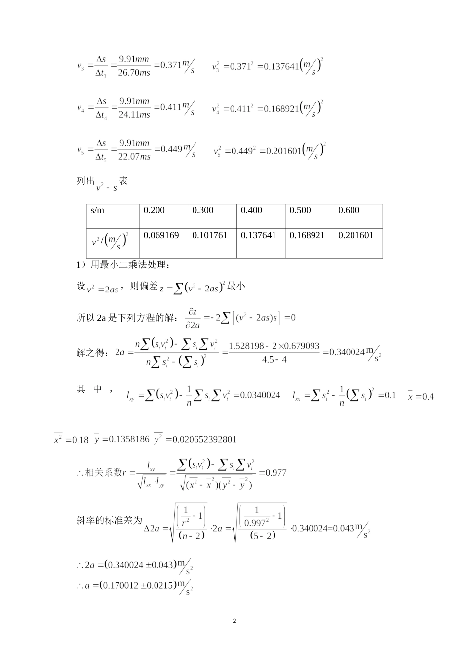
实验报告院系:工院13系07级姓名:龙林爽日期:2008-6-11学号:PB07013075实验题目:直线运动中速度的测量实验目的:利用气垫技术精确地测定物体的平均速度、瞬时速度、加速度以及当地的重力加速度,通过物体沿斜面自由下滑运动来研究匀变速运动的规律和验证牛顿第二定律。实验内容:一、匀变速运动中速度与加速度的测量(1)从横向和纵向两个方向对气垫导轨进行调平(2)测量挡光片的有效挡光距离,(3)测量垫块的厚度:(4)测量斜面长,L=86.20cm(5)使滑块从距光门s处自然下滑,作初速度为零的匀加速运动,记下挡光时间,处理数据如下:时,时,时,时,时,求出相应速度:1列出表s/m0.2000.3000.4000.5000.600/0.0691690.1017610.1376410.1689210.2016011)用最小二乘法处理:设,则偏差最小所以2a是下列方程的解:解之得:其中,斜率的标准差为22)作图并拟合求斜率3)求g二、验证牛顿第二定律已知,重力加速度g=9.7947,每个砝码质量为5.00g,砝码盘质量1.00g,滑轮等效质量30.30g,滑动距离改变砝码盘中砝码的个数,测量通过光门的时间,处理数据如下:盘中没有砝码时:盘中一个砝码时:盘中两个砝码时:盘中三个砝码时:4盘中四个砝码时:盘中五个砝码时:作出曲线:5求得斜率称得滑块总质量m’=321.0g所以理论值m=5*0.005+0.001+0.0003+0.3210=0.3473kg相对误差2.9%思考题:1、气垫导轨调平的标准是什么?答:横向调平的标准是:当滑块放在通气的导轨上时,沿导轨方向看,滑块两侧与导轨的间隙大小相等;纵向调平的标准是:当滑块轻轻静止放到通气的导轨上时,不左右滑动或者作左右振幅相等的简谐运动。3、气垫未调平对a、v的测量结果有何影响?答:若横向未调平,则可能产生较大的摩擦力,使实验一中的a比实际偏小;若纵向未调平,则会使v、a偏大(沿倾斜方向)或偏小(逆倾斜方向)。6

1、当您付费下载文档后,您只拥有了使用权限,并不意味着购买了版权,文档只能用于自身使用,不得用于其他商业用途(如 [转卖]进行直接盈利或[编辑后售卖]进行间接盈利)。
2、本站所有内容均由合作方或网友上传,本站不对文档的完整性、权威性及其观点立场正确性做任何保证或承诺!文档内容仅供研究参考,付费前请自行鉴别。
3、如文档内容存在违规,或者侵犯商业秘密、侵犯著作权等,请点击“违规举报”。

碎片内容

蜗牛文库的最新文档

二年级数学下册其中检测卷二年级数学下册其中检测卷附答案#期中测试卷.pdf
10.00金币
0下载
二年级数学下册期末质检卷(苏教版)二年级数学下册期末质检卷(苏教版)#期末复习 #期末测试卷 #二年级数学 #二年级数学下册#关注我持续更新小学知识.pdf
10.00金币
0下载
二年级数学下册期末混合运算专项练习二年级数学下册期末混合运算专项练习#二年级#二年级数学下册#关注我持续更新小学知识 #知识分享 #家长收藏孩子受益.pdf
10.00金币
1下载
二年级数学下册年月日三类周期问题解题方法二年级数学下册年月日三类周期问题解题方法#二年级#二年级数学下册#知识分享 #关注我持续更新小学知识 #家长收藏孩子受益.pdf
10.00金币
0下载
二年级数学下册解决问题专项训练二年级数学下册解决问题专项训练#专项训练#解决问题#二年级#二年级数学下册#知识分享.pdf
10.00金币
1下载
二年级数学下册还原问题二年级数学下册还原问题#二年级#二年级数学#关注我持续更新小学知识 #知识分享 #家长收藏孩子受益.pdf
10.00金币
1下载
二年级数学下册第六单元考试卷家长打印出来给孩子测试测试争取拿到高分!#小学二年级试卷分享 #二年级第六单考试数学 #第六单考试#二年级数学下册.pdf
10.00金币
0下载
二年级数学下册必背顺口溜口诀汇总二年级数学下册必背顺口溜口诀汇总#二年级#二年级数学下册 #知识分享 #家长收藏孩子受益 #关注我持续更新小学知识.pdf
10.00金币
0下载
二年级数学下册《重点难点思维题》两大问题解决技巧和方法巧算星期几解决周期问题还原问题强化思维训练老师精心整理家长可以打印出来给孩子练习#家长收藏孩子受益 #学霸秘籍 #思维训练 #二年级 #知识点总结.pdf
10.00金币
0下载
二年级数学下册 必背公式大全寒假提前背一背开学更轻松#二年级 #二年级数学 #二年级数学下册 #寒假充电计划 #公式.pdf
10.00金币
0下载
蜗牛文库+ 关注
实名认证
内容提供者

提供各种专业文档内容

确认删除?
QQ
  • QQ点击这里给我发消息
微信客服
  • 微信客服
回到顶部