电脑桌面
添加蜗牛文库到电脑桌面
安装后可以在桌面快捷访问

霍尔效应测量磁场0(1).docVIP免费

霍尔效应测量磁场0(1).doc_第1页
霍尔效应测量磁场0(1).doc_第2页
霍尔效应测量磁场0(1).doc_第3页
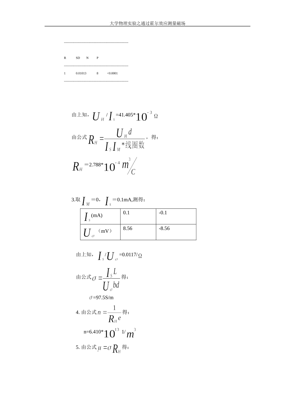
大学物理实验之通过霍尔效应测量磁场实验名称:通过霍尔效应测量磁场实验目的:见预习报告实验原理:见预习报告数据处理:具体数据见原始记录b=3.00mmd=0.2mmL=5.00mm6600GS/A1.取=0.45A(mA)11.522.533.544.5(mV)4.146.198.2610.3212.3814.4416.4718.55[2006-10-2317:21"/Graph1"(2454031)]LinearRegressionforData1_B:Y=A+B*XParameterValueError------------------------------------------------------------A0.024880.00931B4.115950.00313------------------------------------------------------------RSDNP------------------------------------------------------------大学物理实验之通过霍尔效应测量磁场10.010138<0.0001由上知,/=4.116由公式,得:=2.772*2.取=4.5mA(A)0.10.150.20.250.30.350.40.45(mV)4.096.048.1110.2112.3114.3816.4518.51[2006-10-2317:21"/Graph1"(2454031)]LinearRegressionforData1_B:Y=A+B*XParameterValueError------------------------------------------------------------A0.024880.00931B4.115950.00313大学物理实验之通过霍尔效应测量磁场------------------------------------------------------------RSDNP------------------------------------------------------------10.010138<0.0001------------------------------------------------------------由上知,/=41.405*由公式,得:=2.788*3.取=0,=0.1mA,测得:(mA)0.1-0.1(mV)8.56-8.56由上知,/=0.0117/由公式得:=97.5S/m4.由公式得:n=6.410*1/5.由公式得:大学物理实验之通过霍尔效应测量磁场=2.718*思考题:1.磁场不与霍尔元件片法线一致,会使实际磁场小于预计磁场,使得计算出偏大。2.不能测量,当霍尔元件片的尺寸与气隙差不多时,马蹄型磁铁产生的磁场不能再视为垂直与霍尔元件片。3.不能,交变的磁场产生交变的电压,很可能电压尚未达到峰值时就因为磁场反向而开始减弱,故不能测得电压。

1、当您付费下载文档后,您只拥有了使用权限,并不意味着购买了版权,文档只能用于自身使用,不得用于其他商业用途(如 [转卖]进行直接盈利或[编辑后售卖]进行间接盈利)。
2、本站所有内容均由合作方或网友上传,本站不对文档的完整性、权威性及其观点立场正确性做任何保证或承诺!文档内容仅供研究参考,付费前请自行鉴别。
3、如文档内容存在违规,或者侵犯商业秘密、侵犯著作权等,请点击“违规举报”。

碎片内容

蜗牛文库的最新文档

二年级数学下册其中检测卷二年级数学下册其中检测卷附答案#期中测试卷.pdf
10.00金币
0下载
二年级数学下册期末质检卷(苏教版)二年级数学下册期末质检卷(苏教版)#期末复习 #期末测试卷 #二年级数学 #二年级数学下册#关注我持续更新小学知识.pdf
10.00金币
0下载
二年级数学下册期末混合运算专项练习二年级数学下册期末混合运算专项练习#二年级#二年级数学下册#关注我持续更新小学知识 #知识分享 #家长收藏孩子受益.pdf
10.00金币
1下载
二年级数学下册年月日三类周期问题解题方法二年级数学下册年月日三类周期问题解题方法#二年级#二年级数学下册#知识分享 #关注我持续更新小学知识 #家长收藏孩子受益.pdf
10.00金币
0下载
二年级数学下册解决问题专项训练二年级数学下册解决问题专项训练#专项训练#解决问题#二年级#二年级数学下册#知识分享.pdf
10.00金币
1下载
二年级数学下册还原问题二年级数学下册还原问题#二年级#二年级数学#关注我持续更新小学知识 #知识分享 #家长收藏孩子受益.pdf
10.00金币
1下载
二年级数学下册第六单元考试卷家长打印出来给孩子测试测试争取拿到高分!#小学二年级试卷分享 #二年级第六单考试数学 #第六单考试#二年级数学下册.pdf
10.00金币
0下载
二年级数学下册必背顺口溜口诀汇总二年级数学下册必背顺口溜口诀汇总#二年级#二年级数学下册 #知识分享 #家长收藏孩子受益 #关注我持续更新小学知识.pdf
10.00金币
0下载
二年级数学下册《重点难点思维题》两大问题解决技巧和方法巧算星期几解决周期问题还原问题强化思维训练老师精心整理家长可以打印出来给孩子练习#家长收藏孩子受益 #学霸秘籍 #思维训练 #二年级 #知识点总结.pdf
10.00金币
0下载
二年级数学下册 必背公式大全寒假提前背一背开学更轻松#二年级 #二年级数学 #二年级数学下册 #寒假充电计划 #公式.pdf
10.00金币
0下载
蜗牛文库+ 关注
实名认证
内容提供者

提供各种专业文档内容

确认删除?
QQ
  • QQ点击这里给我发消息
微信客服
  • 微信客服
回到顶部