电脑桌面
添加蜗牛文库到电脑桌面
安装后可以在桌面快捷访问

声速测量 (2).docVIP免费

声速测量 (2).doc_第1页
声速测量 (2).doc_第2页
声速测量 (2).doc_第3页
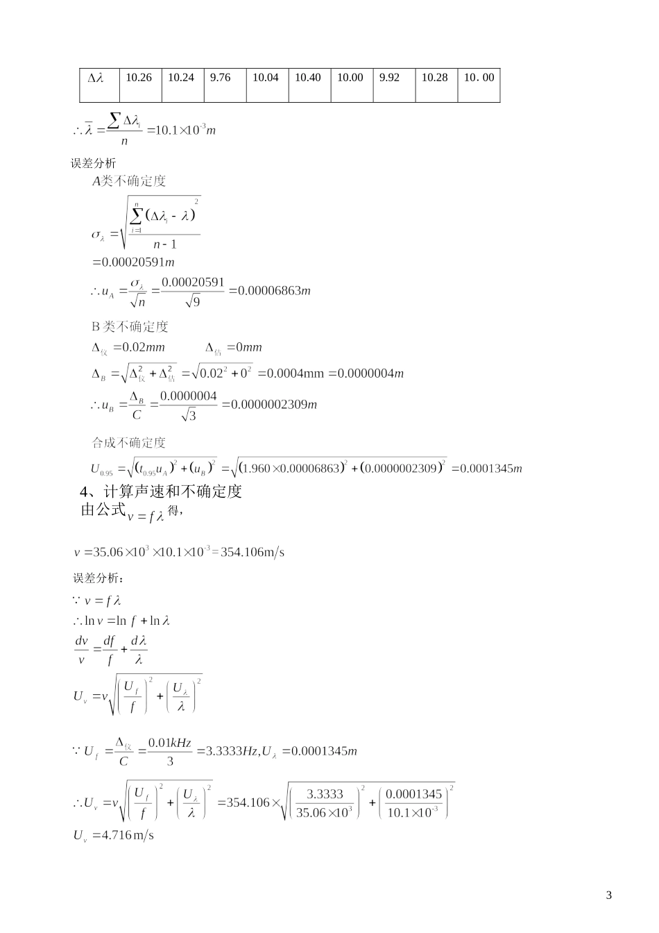
实验报告评分13系07级姓名龙林爽日期2008-12-12No.PB07013075实验题目:声速的测量实验目的:用压电陶瓷超声换能器来测定声波在空气中的传播速度。实验内容:一、通过温度测量声速由温度计读数得,,由公式得:二、驻波法测量声速1、调节信号发射器,使压电陶瓷换能器达到谐振,记下共振频率。2、记录下示波器上信号幅度最大时的游标卡尺的读数。3、由逐差法求得两波腹间的差值:mm12345678910114.985.044.984.984.985.044.944.965.024.984.90误差分析14、求出波长5、计算声速和不确定度由公式得,误差分析:三、相位法测量声速1、调节信号发射器,使压电陶瓷换能器达到谐振,记下共振频率。2、记录下示波器上李萨如图形变为直线时,斜率相同时的卡尺读数。3、由逐差法求得波长差的值:mm123456789210.2610.249.7610.0410.4010.009.9210.2810.00误差分析4、计算声速和不确定度由公式得,误差分析:3四、对三种方法测定的结果的比较讨论在以上三种方法测定的声速中,个人认为第一种通过温度测定的声速最不准确。因为,首先该公式是忽略了空气中的水蒸气和其他杂物的影响的,而实际情况中,这些影响不能忽略;然后对温度的测量也不太准确,本实验中是取实验开始和结束的温度平均值作为待测温度,这种处理不太准确。用驻波法测量声速,相对准确一些。首先原理可行,而且由于现象比较明显,所以测量也比较准确。用相位法声速,虽然原理可行,但是在测量过程中,调节李萨如图形成为一条直线误差比较大。所以结果也会由一定的偏差。思考题:1、固定两换能器的距离改变频率,以求声速,是否可行?答:不可行。频率改变后,即使求出了波长,也无法通过公式求出速度。4

1、当您付费下载文档后,您只拥有了使用权限,并不意味着购买了版权,文档只能用于自身使用,不得用于其他商业用途(如 [转卖]进行直接盈利或[编辑后售卖]进行间接盈利)。
2、本站所有内容均由合作方或网友上传,本站不对文档的完整性、权威性及其观点立场正确性做任何保证或承诺!文档内容仅供研究参考,付费前请自行鉴别。
3、如文档内容存在违规,或者侵犯商业秘密、侵犯著作权等,请点击“违规举报”。

碎片内容

蜗牛文库的最新文档

二年级数学下册其中检测卷二年级数学下册其中检测卷附答案#期中测试卷.pdf
10.00金币
0下载
二年级数学下册期末质检卷(苏教版)二年级数学下册期末质检卷(苏教版)#期末复习 #期末测试卷 #二年级数学 #二年级数学下册#关注我持续更新小学知识.pdf
10.00金币
0下载
二年级数学下册期末混合运算专项练习二年级数学下册期末混合运算专项练习#二年级#二年级数学下册#关注我持续更新小学知识 #知识分享 #家长收藏孩子受益.pdf
10.00金币
1下载
二年级数学下册年月日三类周期问题解题方法二年级数学下册年月日三类周期问题解题方法#二年级#二年级数学下册#知识分享 #关注我持续更新小学知识 #家长收藏孩子受益.pdf
10.00金币
0下载
二年级数学下册解决问题专项训练二年级数学下册解决问题专项训练#专项训练#解决问题#二年级#二年级数学下册#知识分享.pdf
10.00金币
1下载
二年级数学下册还原问题二年级数学下册还原问题#二年级#二年级数学#关注我持续更新小学知识 #知识分享 #家长收藏孩子受益.pdf
10.00金币
1下载
二年级数学下册第六单元考试卷家长打印出来给孩子测试测试争取拿到高分!#小学二年级试卷分享 #二年级第六单考试数学 #第六单考试#二年级数学下册.pdf
10.00金币
0下载
二年级数学下册必背顺口溜口诀汇总二年级数学下册必背顺口溜口诀汇总#二年级#二年级数学下册 #知识分享 #家长收藏孩子受益 #关注我持续更新小学知识.pdf
10.00金币
0下载
二年级数学下册《重点难点思维题》两大问题解决技巧和方法巧算星期几解决周期问题还原问题强化思维训练老师精心整理家长可以打印出来给孩子练习#家长收藏孩子受益 #学霸秘籍 #思维训练 #二年级 #知识点总结.pdf
10.00金币
0下载
二年级数学下册 必背公式大全寒假提前背一背开学更轻松#二年级 #二年级数学 #二年级数学下册 #寒假充电计划 #公式.pdf
10.00金币
0下载
蜗牛文库+ 关注
实名认证
内容提供者

提供各种专业文档内容

确认删除?
QQ
  • QQ点击这里给我发消息
微信客服
  • 微信客服
回到顶部