电脑桌面
添加蜗牛文库到电脑桌面
安装后可以在桌面快捷访问

热导系数的测量#.docVIP免费

热导系数的测量#.doc_第1页
热导系数的测量#.doc_第2页
热导系数的测量#.doc_第3页
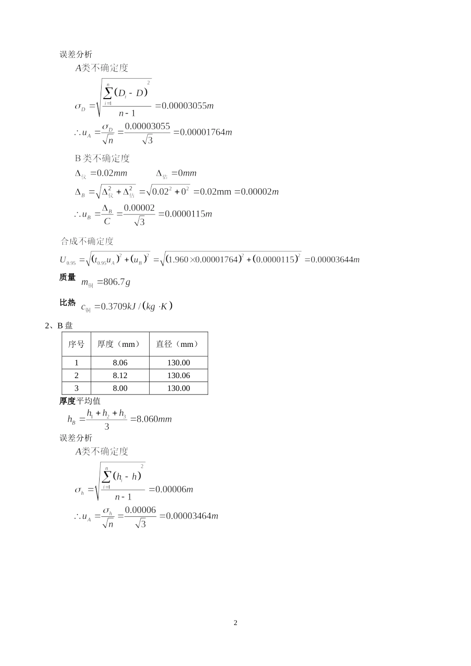
实验报告院系:工院13系07姓名:龙林爽日期:2008-10-10学号:PB07013075实验题目:热导系数的测量实验目的:了解热传导现象的物理过程,学习用稳态平板法测量不良导体的导热系数并用作图法求冷却速率。实验内容:一、用卡尺测量A、B盘的直径和厚度1、A盘序号厚度(mm)直径(mm)17.12130.0427.02129.9837.00130.00厚度平均值误差分析直径平均值1误差分析质量比热2、B盘序号厚度(mm)直径(mm)18.06130.0028.12130.0638.00130.00厚度平均值误差分析2直径平均值误差分析二、连接好仪器三、测量稳态值连通调压器,将红外灯缓慢升压至200V到=3.30mV。再将电压调到125V左右加热,来回切换,观察和的值。若10分钟两读数的差小于0.03mV,则认为达到稳态。达到稳态时3四、测量冷却速率移走样品盘,直接加热A盘,使之比高约0.4mV,调节变压器到零,再断电,移走加热灯和传热筒,使A自然冷却,每隔30s记录其温度,选择最接近的前后各6个数据。记录如下dt=30s五、用逐差法求冷却速率并求导热系数代入公式得六、用图象法求冷却速率并求导热系数绘出T-t关系图如下:4123456789101112T(mV)3.323.273.203.153.093.042.992.942.882.842.792.74由图象求出斜率得:代入公式得误差分析由不确定度传递公式得:56思考题:1、试分析实验中产生误差的主要因素答:实验中产生误差的主要因素有:a)测量A盘厚度和直径时,由于A盘是橡胶的,用力过大会使A盘产生较大形变,从而使厚度和直径偏小;b)读电表时,没有严格按照30s间隔读数;c)在移走传热筒后,没有及时读数造成无法读出稳定前6个数据;d)A、B、C三盘之间没有密切接触,有空隙;e)稳定值只是理想状况;2、傅立叶定律中的传热速率是不容易测准的量。本实验如何巧妙地避开了这一难题?答:由于,所以实验中假设盘的侧面近似绝热,得。将传热速率的测量转化为了温度差的测量。又根据温差产生电压,并且电压大小同温差成正比,从而又将对不易测量的温度的测量转换为了较容易测量的电压的测量。在最后代入求导热系数时,约去了电压单位,从而避开了对温度的直接测量。7

1、当您付费下载文档后,您只拥有了使用权限,并不意味着购买了版权,文档只能用于自身使用,不得用于其他商业用途(如 [转卖]进行直接盈利或[编辑后售卖]进行间接盈利)。
2、本站所有内容均由合作方或网友上传,本站不对文档的完整性、权威性及其观点立场正确性做任何保证或承诺!文档内容仅供研究参考,付费前请自行鉴别。
3、如文档内容存在违规,或者侵犯商业秘密、侵犯著作权等,请点击“违规举报”。

碎片内容

蜗牛文库的最新文档

二年级数学下册其中检测卷二年级数学下册其中检测卷附答案#期中测试卷.pdf
10.00金币
0下载
二年级数学下册期末质检卷(苏教版)二年级数学下册期末质检卷(苏教版)#期末复习 #期末测试卷 #二年级数学 #二年级数学下册#关注我持续更新小学知识.pdf
10.00金币
0下载
二年级数学下册期末混合运算专项练习二年级数学下册期末混合运算专项练习#二年级#二年级数学下册#关注我持续更新小学知识 #知识分享 #家长收藏孩子受益.pdf
10.00金币
1下载
二年级数学下册年月日三类周期问题解题方法二年级数学下册年月日三类周期问题解题方法#二年级#二年级数学下册#知识分享 #关注我持续更新小学知识 #家长收藏孩子受益.pdf
10.00金币
0下载
二年级数学下册解决问题专项训练二年级数学下册解决问题专项训练#专项训练#解决问题#二年级#二年级数学下册#知识分享.pdf
10.00金币
1下载
二年级数学下册还原问题二年级数学下册还原问题#二年级#二年级数学#关注我持续更新小学知识 #知识分享 #家长收藏孩子受益.pdf
10.00金币
1下载
二年级数学下册第六单元考试卷家长打印出来给孩子测试测试争取拿到高分!#小学二年级试卷分享 #二年级第六单考试数学 #第六单考试#二年级数学下册.pdf
10.00金币
0下载
二年级数学下册必背顺口溜口诀汇总二年级数学下册必背顺口溜口诀汇总#二年级#二年级数学下册 #知识分享 #家长收藏孩子受益 #关注我持续更新小学知识.pdf
10.00金币
0下载
二年级数学下册《重点难点思维题》两大问题解决技巧和方法巧算星期几解决周期问题还原问题强化思维训练老师精心整理家长可以打印出来给孩子练习#家长收藏孩子受益 #学霸秘籍 #思维训练 #二年级 #知识点总结.pdf
10.00金币
0下载
二年级数学下册 必背公式大全寒假提前背一背开学更轻松#二年级 #二年级数学 #二年级数学下册 #寒假充电计划 #公式.pdf
10.00金币
0下载
蜗牛文库+ 关注
实名认证
内容提供者

提供各种专业文档内容

确认删除?
QQ
  • QQ点击这里给我发消息
微信客服
  • 微信客服
回到顶部