电脑桌面
添加蜗牛文库到电脑桌面
安装后可以在桌面快捷访问

万有引力理论的成就-学习任务.pdfVIP免费

万有引力理论的成就-学习任务.pdf_第1页
万有引力理论的成就-学习任务.pdf_第2页
万有引力理论的成就-学习任务.pdf_第3页
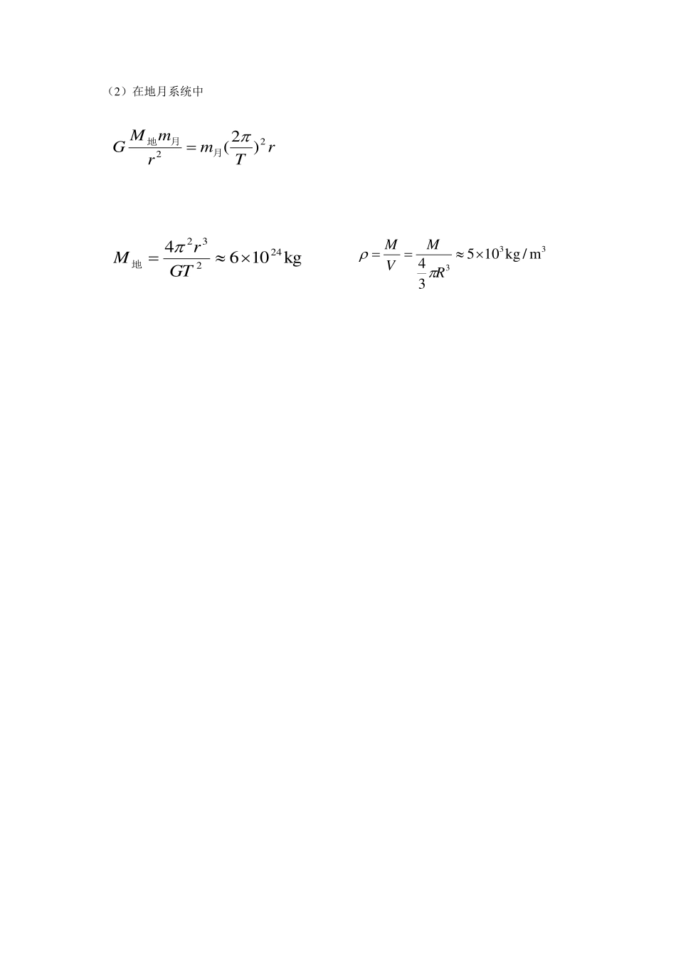
万有引力定律的成就导学案一、学习任务1.了解万有引力定律在天文学上的重要应用2.会用万有引力定律计算天体质量3.掌握运用万有引力定律处理天体问题的思路和方法二、学习准备准备好教材及纸笔三、教学环节1.万有引力定律的回顾如何称量地球的质量?2.计算中心天体的质量的思路及方法思路一(环绕法):将行星绕恒星的运动、卫星绕行星的运动均视为匀速圆周运动,所需向心力是由万有引力提供的。写公式:思路二(重力加速度法):中心天体表面上物体的重力与所受万有引力相等。写公式:求出了中心天体的质量,我们如何求中心天体的平均密度呢?写公式:3.发现未知天体海王星的发现:在18世纪,人们已经知道太阳系有7个行星,其中1781年发现的第七个行星──天王星的运动轨道,总是同根据万有引力定律计算出来的有比较大的偏离.当时有人推测,在天王星轨道外面还有一个未发现的行星,它对天王星的作用引起了上述偏离。英国剑桥大学的学生亚当斯和法国年轻的天文学家勒维耶根据天王星的观测资料,各自独立地利用万有引力定律计算出这颗新行星的轨道。1846年9月23日晚,德国的加勒在勒维列预言的位置附近发现了这颗新行星。后来,天文学家把这个行星叫做海王星.预言哈雷彗星回归:英国天文学家哈雷依据万有引力定律,用一年时间计算24颗彗星的轨道,并大胆猜测在1531年、1607年、1682年出现的三颗彗星是同一颗星,周期约为76年。4.运用万有引力定律处理天体问题的思路和方法分析问题例1:(1)开普勒第三定律指出:行星绕太阳运动椭圆轨道的半长轴a的三次方与它的公转周期T的二次方之比是定值,即kTa23,k是一个对所有行星都相同的常量。将行星绕太阳的运动简化成圆周运动处理,请你推导出太阳系中该常量k的表达式(已知引力常量为G,太阳的质量为M);(2)开普勒定律不仅适用于太阳系,它对一切具有中心天体的引力系统(如地月系统)都成立。经测定月地距离为3.84×108m,月球绕地球运动的周期为2.36×106s,地球半径取6400km,试估算地球的质量M和密度ρ。(G=6.67×10-11N•m2/kg2,计算结果均保留一位有效数字)(1)根据牛顿第二定律:(2)在地月系统中rTmrmMG22)2(月月地kg106424232GTrM地333m/kg10534RMVM

1、当您付费下载文档后,您只拥有了使用权限,并不意味着购买了版权,文档只能用于自身使用,不得用于其他商业用途(如 [转卖]进行直接盈利或[编辑后售卖]进行间接盈利)。
2、本站所有内容均由合作方或网友上传,本站不对文档的完整性、权威性及其观点立场正确性做任何保证或承诺!文档内容仅供研究参考,付费前请自行鉴别。
3、如文档内容存在违规,或者侵犯商业秘密、侵犯著作权等,请点击“违规举报”。

碎片内容

蜗牛文库的最新文档

二年级数学下册其中检测卷二年级数学下册其中检测卷附答案#期中测试卷.pdf
10.00金币
0下载
二年级数学下册期末质检卷(苏教版)二年级数学下册期末质检卷(苏教版)#期末复习 #期末测试卷 #二年级数学 #二年级数学下册#关注我持续更新小学知识.pdf
10.00金币
0下载
二年级数学下册期末混合运算专项练习二年级数学下册期末混合运算专项练习#二年级#二年级数学下册#关注我持续更新小学知识 #知识分享 #家长收藏孩子受益.pdf
10.00金币
1下载
二年级数学下册年月日三类周期问题解题方法二年级数学下册年月日三类周期问题解题方法#二年级#二年级数学下册#知识分享 #关注我持续更新小学知识 #家长收藏孩子受益.pdf
10.00金币
0下载
二年级数学下册解决问题专项训练二年级数学下册解决问题专项训练#专项训练#解决问题#二年级#二年级数学下册#知识分享.pdf
10.00金币
1下载
二年级数学下册还原问题二年级数学下册还原问题#二年级#二年级数学#关注我持续更新小学知识 #知识分享 #家长收藏孩子受益.pdf
10.00金币
1下载
二年级数学下册第六单元考试卷家长打印出来给孩子测试测试争取拿到高分!#小学二年级试卷分享 #二年级第六单考试数学 #第六单考试#二年级数学下册.pdf
10.00金币
0下载
二年级数学下册必背顺口溜口诀汇总二年级数学下册必背顺口溜口诀汇总#二年级#二年级数学下册 #知识分享 #家长收藏孩子受益 #关注我持续更新小学知识.pdf
10.00金币
0下载
二年级数学下册《重点难点思维题》两大问题解决技巧和方法巧算星期几解决周期问题还原问题强化思维训练老师精心整理家长可以打印出来给孩子练习#家长收藏孩子受益 #学霸秘籍 #思维训练 #二年级 #知识点总结.pdf
10.00金币
0下载
二年级数学下册 必背公式大全寒假提前背一背开学更轻松#二年级 #二年级数学 #二年级数学下册 #寒假充电计划 #公式.pdf
10.00金币
0下载
蜗牛文库+ 关注
实名认证
内容提供者

提供各种专业文档内容

确认删除?
QQ
  • QQ点击这里给我发消息
微信客服
  • 微信客服
回到顶部