电脑桌面
添加蜗牛文库到电脑桌面
安装后可以在桌面快捷访问

2011-2020年高考数学真题分专题训练 专题26椭圆(教师版含解析).pdfVIP免费

2011-2020年高考数学真题分专题训练 专题26椭圆(教师版含解析).pdf_第1页
2011-2020年高考数学真题分专题训练 专题26椭圆(教师版含解析).pdf_第2页
2011-2020年高考数学真题分专题训练 专题26椭圆(教师版含解析).pdf_第3页
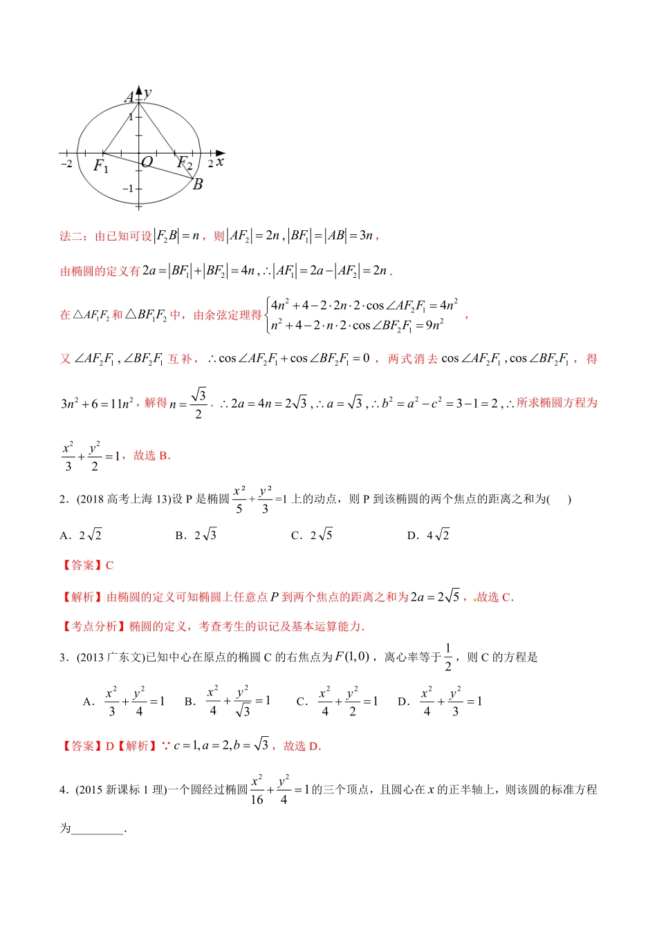
专题26椭圆十年大数据*全景展示年份题号考点考查内容2011[来源:Zxxk.Com]理14[来源:学&科&网][来源:学科网]椭圆方程椭圆的定义、标准方程及其几何性质[来源:学#科#网][来源:学+科+网Z+X+X+K]文4椭圆的几何性质椭圆离心率的计算2012文理4椭圆的几何性质椭圆离心率的计算2013卷1理10椭圆方程直线与椭圆的位置关系,椭圆方程的求法文理20椭圆定义、标准方程及其几何性质椭圆的定义、标准方程及其几何性质,直线与椭圆位置关系卷2理20直线与椭圆位置关系椭圆的方程求法,直线与椭圆位置关系,椭圆最值问题的解法文5椭圆定义、几何性质椭圆的定义,椭圆离心率的求法2014卷1理20椭圆方程及几何性质椭圆的标准方程及其几何性质,直线与椭圆位置关系卷2理20椭圆方程及几何性质椭圆的标准方程及其几何性质,直线与椭圆位置关系2015卷1理14圆与椭圆椭圆的标准方程及其几何性质,过三点圆的方程的求法卷2理20直线与椭圆直线和椭圆的位置关系,椭圆的存在型问题的解法文20直线与椭圆椭圆方程求法,直线和椭圆的位置关系,椭圆的定值问题的解法2016卷1理20圆、直线与椭圆椭圆定义、标准方程及其几何性质,直线与圆、椭圆的位置关系卷2理20直线与椭圆椭圆的几何性质,直线与椭圆的位置关系文21直线与椭圆椭圆的几何性质,直线与椭圆的位置关系2017卷1理20直线与椭圆椭圆标准方程的求法,直线与椭圆的位置关系,椭圆的定点问题文12直线与椭圆椭圆的标准方程及其几何性质卷3文11理10直线与圆,椭圆的几何性质直线与圆的位置关系,椭圆的几何性质2018卷1理19直线与椭圆椭圆的几何性质,直线与椭圆的位置关系文4椭圆椭圆的几何性质2019卷1理10文12椭圆椭圆的定义、标准方程及其几何性质,椭圆标准方程的求法卷2理8文9椭圆与抛物线抛物线与椭圆的几何性质理21椭圆椭圆的标准方程及其几何性质,直线与椭圆的位置关系,椭圆的最值问题的解法文20椭圆椭圆的定义、标准方程及其几何性质卷3文理15椭圆椭圆的定义、标准方程及其几何性质2020卷1理20文21椭圆椭圆的标准方程及其几何性质,椭圆定点问题卷2理19椭圆、抛物线椭圆、抛物线方程的求法,椭圆离心率的求法,抛物线的定义文19椭圆、抛物线椭圆、抛物线方程的求法,椭圆离心率的求法,抛物线的定义卷3理20文21椭圆椭圆的几何性质,直线与椭圆的位置关系,椭圆方程的求法大数据分析*预测高考考点出现频率2021年预测考点89椭圆的定义及标准方程37次考7次命题角度:(1)椭圆的定义及应用;(2)椭圆的标准方程;(3)椭圆的几何...

1、当您付费下载文档后,您只拥有了使用权限,并不意味着购买了版权,文档只能用于自身使用,不得用于其他商业用途(如 [转卖]进行直接盈利或[编辑后售卖]进行间接盈利)。
2、本站所有内容均由合作方或网友上传,本站不对文档的完整性、权威性及其观点立场正确性做任何保证或承诺!文档内容仅供研究参考,付费前请自行鉴别。
3、如文档内容存在违规,或者侵犯商业秘密、侵犯著作权等,请点击“违规举报”。

碎片内容

蜗牛文库的最新文档

二年级数学下册其中检测卷二年级数学下册其中检测卷附答案#期中测试卷.pdf
10.00金币
0下载
二年级数学下册期末质检卷(苏教版)二年级数学下册期末质检卷(苏教版)#期末复习 #期末测试卷 #二年级数学 #二年级数学下册#关注我持续更新小学知识.pdf
10.00金币
0下载
二年级数学下册期末混合运算专项练习二年级数学下册期末混合运算专项练习#二年级#二年级数学下册#关注我持续更新小学知识 #知识分享 #家长收藏孩子受益.pdf
10.00金币
1下载
二年级数学下册年月日三类周期问题解题方法二年级数学下册年月日三类周期问题解题方法#二年级#二年级数学下册#知识分享 #关注我持续更新小学知识 #家长收藏孩子受益.pdf
10.00金币
0下载
二年级数学下册解决问题专项训练二年级数学下册解决问题专项训练#专项训练#解决问题#二年级#二年级数学下册#知识分享.pdf
10.00金币
1下载
二年级数学下册还原问题二年级数学下册还原问题#二年级#二年级数学#关注我持续更新小学知识 #知识分享 #家长收藏孩子受益.pdf
10.00金币
1下载
二年级数学下册第六单元考试卷家长打印出来给孩子测试测试争取拿到高分!#小学二年级试卷分享 #二年级第六单考试数学 #第六单考试#二年级数学下册.pdf
10.00金币
0下载
二年级数学下册必背顺口溜口诀汇总二年级数学下册必背顺口溜口诀汇总#二年级#二年级数学下册 #知识分享 #家长收藏孩子受益 #关注我持续更新小学知识.pdf
10.00金币
0下载
二年级数学下册《重点难点思维题》两大问题解决技巧和方法巧算星期几解决周期问题还原问题强化思维训练老师精心整理家长可以打印出来给孩子练习#家长收藏孩子受益 #学霸秘籍 #思维训练 #二年级 #知识点总结.pdf
10.00金币
0下载
二年级数学下册 必背公式大全寒假提前背一背开学更轻松#二年级 #二年级数学 #二年级数学下册 #寒假充电计划 #公式.pdf
10.00金币
0下载
蜗牛文库+ 关注
实名认证
内容提供者

提供各种专业文档内容

确认删除?
QQ
  • QQ点击这里给我发消息
微信客服
  • 微信客服
回到顶部