电脑桌面
添加蜗牛文库到电脑桌面
安装后可以在桌面快捷访问

一元一次不等式组及其m.pptVIP免费

一元一次不等式组及其m.ppt一元一次不等式组及其m.ppt一元一次不等式组及其m.ppt一元一次不等式组及其m.ppt一元一次不等式组及其m.ppt
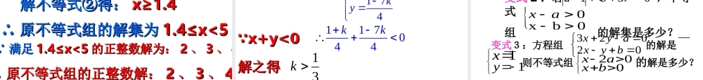
某校今年冬季烧煤取暖时间为某校今年冬季烧煤取暖时间为44个月。如果每个月。如果每月比计划多烧月比计划多烧55吨煤吨煤,,那么取暖用煤量将超过那么取暖用煤量将超过100100吨吨;;如果每月比计划少烧如果每月比计划少烧55吨煤吨煤,,那么取暖用煤总量不足那么取暖用煤总量不足6688吨吨..已知条件已知条件::取暖时间为取暖时间为______个月,个月,未知量是未知量是。。44计划每月烧煤的数量计划每月烧煤的数量((xx吨吨))当每月比原计划多烧当每月比原计划多烧55吨煤时吨煤时,,每月实际烧煤每月实际烧煤吨吨..这时总量这时总量____________.____________.((xx++5)5)4(4(xx+5)+5)(x-(x-5)5)4(4(xx--5)<65)<688你能根据上面的分析列出关系式吗你能根据上面的分析列出关系式吗??当每月比原计划少烧当每月比原计划少烧55吨煤时吨煤时,,实际每月烧实际每月烧____________吨煤吨煤,,有有__________.__________.将超过将超过100100吨吨>100>100计划少烧计划少烧55吨煤吨煤,,那么取暖用煤总量不足那么取暖用煤总量不足6868吨吨该校计划每月烧煤多少吨该校计划每月烧煤多少吨??满足题意的关系式有几个满足题意的关系式有几个??4(x+5)>100,①4(x+5)>100,①4(x-5)<68.②4(x-5)<68.②某校今年冬季烧煤取暖时间为某校今年冬季烧煤取暖时间为44个月。如果每个月。如果每月比计划多烧月比计划多烧55吨煤吨煤,,那么取暖用煤量将超过那么取暖用煤量将超过100100吨吨;;如果每月比计划少烧如果每月比计划少烧55吨煤吨煤,,呢么取暖用煤总量不足呢么取暖用煤总量不足6688吨吨..解解::设计划每月烧煤的数量为设计划每月烧煤的数量为xx吨吨..该校计划每月烧煤多少吨该校计划每月烧煤多少吨??4(4(xx+5)>100,①+5)>100,①4(4(xx--5)<68.②5)<68.②”一元一次不等式组”的定义依题意依题意,,未知数未知数xx同时满足同时满足①②两个条件①②两个条件((不等式不等式).).把把①②两个不等式合在一起①②两个不等式合在一起,,并用大括号联立起来并用大括号联立起来..就组成一个就组成一个一元一次不等式组一元一次不等式组..一般地一般地,,【一元一次不等式组】【一元一次不等式组】同一个未知数的几个一同一个未知数的几个一次不等式合在一起次不等式合在一起,,就组成一个一元一次就组成一个一元一次不等式组不等式组..ystemoflinearinequalitieswithoneunknoystemoflinearinequalitieswithoneunkno将两个解集表示在同一个数轴上将两个解集表示在同一个数轴上::①①的解集的解集::x...

1、当您付费下载文档后,您只拥有了使用权限,并不意味着购买了版权,文档只能用于自身使用,不得用于其他商业用途(如 [转卖]进行直接盈利或[编辑后售卖]进行间接盈利)。
2、本站所有内容均由合作方或网友上传,本站不对文档的完整性、权威性及其观点立场正确性做任何保证或承诺!文档内容仅供研究参考,付费前请自行鉴别。
3、如文档内容存在违规,或者侵犯商业秘密、侵犯著作权等,请点击“违规举报”。

碎片内容

蜗牛文库的最新文档

二年级数学下册其中检测卷二年级数学下册其中检测卷附答案#期中测试卷.pdf
10.00金币
0下载
二年级数学下册期末质检卷(苏教版)二年级数学下册期末质检卷(苏教版)#期末复习 #期末测试卷 #二年级数学 #二年级数学下册#关注我持续更新小学知识.pdf
10.00金币
0下载
二年级数学下册期末混合运算专项练习二年级数学下册期末混合运算专项练习#二年级#二年级数学下册#关注我持续更新小学知识 #知识分享 #家长收藏孩子受益.pdf
10.00金币
1下载
二年级数学下册年月日三类周期问题解题方法二年级数学下册年月日三类周期问题解题方法#二年级#二年级数学下册#知识分享 #关注我持续更新小学知识 #家长收藏孩子受益.pdf
10.00金币
0下载
二年级数学下册解决问题专项训练二年级数学下册解决问题专项训练#专项训练#解决问题#二年级#二年级数学下册#知识分享.pdf
10.00金币
1下载
二年级数学下册还原问题二年级数学下册还原问题#二年级#二年级数学#关注我持续更新小学知识 #知识分享 #家长收藏孩子受益.pdf
10.00金币
1下载
二年级数学下册第六单元考试卷家长打印出来给孩子测试测试争取拿到高分!#小学二年级试卷分享 #二年级第六单考试数学 #第六单考试#二年级数学下册.pdf
10.00金币
0下载
二年级数学下册必背顺口溜口诀汇总二年级数学下册必背顺口溜口诀汇总#二年级#二年级数学下册 #知识分享 #家长收藏孩子受益 #关注我持续更新小学知识.pdf
10.00金币
0下载
二年级数学下册《重点难点思维题》两大问题解决技巧和方法巧算星期几解决周期问题还原问题强化思维训练老师精心整理家长可以打印出来给孩子练习#家长收藏孩子受益 #学霸秘籍 #思维训练 #二年级 #知识点总结.pdf
10.00金币
0下载
二年级数学下册 必背公式大全寒假提前背一背开学更轻松#二年级 #二年级数学 #二年级数学下册 #寒假充电计划 #公式.pdf
10.00金币
0下载
蜗牛文库+ 关注
实名认证
内容提供者

提供各种专业文档内容

确认删除?
QQ
  • QQ点击这里给我发消息
微信客服
  • 微信客服
回到顶部