电脑桌面
添加蜗牛文库到电脑桌面
安装后可以在桌面快捷访问

初中数学教学课件:15.2.1 分式的乘除(人教版八年级上册).pptVIP免费

初中数学教学课件:15.2.1 分式的乘除(人教版八年级上册).ppt初中数学教学课件:15.2.1 分式的乘除(人教版八年级上册).ppt初中数学教学课件:15.2.1 分式的乘除(人教版八年级上册).ppt初中数学教学课件:15.2.1 分式的乘除(人教版八年级上册).ppt初中数学教学课件:15.2.1 分式的乘除(人教版八年级上册).ppt
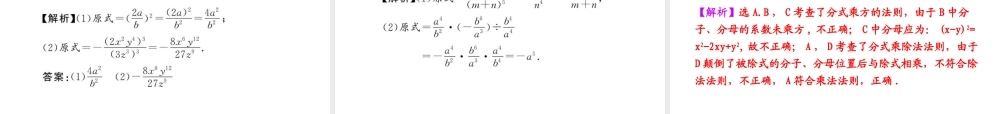
15.2分式的运算15.2.1分式的乘除2、掌握分式的乘方的运算法则,能进行分式的乘、除及乘方的混合运算.1、掌握分式的乘除运算法则,能应用分式的乘除法法则进行运算.问题1一个长方体容器的容积为V,底面的长为a,宽为b,当容器内的水占容积的时,水高多少?长方体容器的高为,nmVabVmabn·水高为问题2大拖拉机m天耕地a公顷,小拖拉机n天耕地b公顷,大拖拉机的工作效率是小拖拉机的工作效率的多少倍?大拖拉机的工作效率是公顷/天,小拖拉机的工作效率是公顷/天,大拖拉机的工作效率是小拖拉机的工作效率的()倍.manbnbma用符号语言表达:分式的乘法法则:分式乘分式,用分子的积作为积的分子,分母的积作为积的分母.一、分式的乘除法则ac?bdacacbdbd?dcba分式的除法法则:分式除以分式,把除式的分子、分母颠倒位置,再与被除式相乘.acadadbdbcbc用符号语言表达:【例1】计算:3234)1(xyyxcdbacab452)2(2223【解析】332442(1)=3263xyxyyxxyx32232222542(2)=24255abababcdbdccdcabac2224412:(1)214aaaaaa【例】计算2211(2)497mmm22222222222a4a4a-1(1)a2a1a4a2(a1)a(a2)(a2)a2aa-1a-2a+2a-2.(a-1)a+211(2)m7m1m(m7)(m7m)(m7)(m7)m.m7(-)(-1)-+(-)(-1)()()()()49-m-m-49解:2.原式=2(21)621“丰收1号”小麦的试验田是边长为a米的正方形去掉一个边长为1米的正方形蓄水池后余下的部分,“丰收2号”小麦的试验田是边长为(a-1)米的正方形,两块试验田的小麦都收获了500千克.(1)哪种小麦的单位面积产量高?(2)高的单位面积产量是低的单位面积产量的多少倍?【例3】 0<(a-1)2<a2-1解(1)“丰收1号”小麦的试验田面积是(a2-1)米,单²位面积产量是千克/米2;“丰收2号”小麦的试验田面积(a-1)2米2,单位面积产量是千克/米².25001a2500(1)a“丰收2号”小麦的单位面积产量高.115001)1(5001500)1(5002222aaaaaa∴“丰收2号”小麦的单位面积产量是“丰收1号”小麦的单位面积产量的倍.11aa2500(a1)∴2500a1一个长宽高分别为l,b,h的长方体纸箱装满了一层高为h,半径为r的圆柱形易拉罐,求纸箱空间的利用率(易拉罐总体积与纸箱容积的比,结果精确到1%)rbrhl解:可装易拉罐个.纸箱的体积为lbh,易拉罐的体积为所以纸箱空间的利用率为2bb×2r2r4rll22bbhrh,4r4ll...

1、当您付费下载文档后,您只拥有了使用权限,并不意味着购买了版权,文档只能用于自身使用,不得用于其他商业用途(如 [转卖]进行直接盈利或[编辑后售卖]进行间接盈利)。
2、本站所有内容均由合作方或网友上传,本站不对文档的完整性、权威性及其观点立场正确性做任何保证或承诺!文档内容仅供研究参考,付费前请自行鉴别。
3、如文档内容存在违规,或者侵犯商业秘密、侵犯著作权等,请点击“违规举报”。

碎片内容

蜗牛文库的最新文档

二年级数学下册其中检测卷二年级数学下册其中检测卷附答案#期中测试卷.pdf
10.00金币
0下载
二年级数学下册期末质检卷(苏教版)二年级数学下册期末质检卷(苏教版)#期末复习 #期末测试卷 #二年级数学 #二年级数学下册#关注我持续更新小学知识.pdf
10.00金币
0下载
二年级数学下册期末混合运算专项练习二年级数学下册期末混合运算专项练习#二年级#二年级数学下册#关注我持续更新小学知识 #知识分享 #家长收藏孩子受益.pdf
10.00金币
1下载
二年级数学下册年月日三类周期问题解题方法二年级数学下册年月日三类周期问题解题方法#二年级#二年级数学下册#知识分享 #关注我持续更新小学知识 #家长收藏孩子受益.pdf
10.00金币
0下载
二年级数学下册解决问题专项训练二年级数学下册解决问题专项训练#专项训练#解决问题#二年级#二年级数学下册#知识分享.pdf
10.00金币
1下载
二年级数学下册还原问题二年级数学下册还原问题#二年级#二年级数学#关注我持续更新小学知识 #知识分享 #家长收藏孩子受益.pdf
10.00金币
1下载
二年级数学下册第六单元考试卷家长打印出来给孩子测试测试争取拿到高分!#小学二年级试卷分享 #二年级第六单考试数学 #第六单考试#二年级数学下册.pdf
10.00金币
0下载
二年级数学下册必背顺口溜口诀汇总二年级数学下册必背顺口溜口诀汇总#二年级#二年级数学下册 #知识分享 #家长收藏孩子受益 #关注我持续更新小学知识.pdf
10.00金币
0下载
二年级数学下册《重点难点思维题》两大问题解决技巧和方法巧算星期几解决周期问题还原问题强化思维训练老师精心整理家长可以打印出来给孩子练习#家长收藏孩子受益 #学霸秘籍 #思维训练 #二年级 #知识点总结.pdf
10.00金币
0下载
二年级数学下册 必背公式大全寒假提前背一背开学更轻松#二年级 #二年级数学 #二年级数学下册 #寒假充电计划 #公式.pdf
10.00金币
0下载
蜗牛文库+ 关注
实名认证
内容提供者

提供各种专业文档内容

确认删除?
QQ
  • QQ点击这里给我发消息
微信客服
  • 微信客服
回到顶部