电脑桌面
添加蜗牛文库到电脑桌面
安装后可以在桌面快捷访问

投资学第8章(1).pptVIP免费

投资学第8章(1).ppt投资学第8章(1).ppt投资学第8章(1).ppt投资学第8章(1).ppt投资学第8章(1).ppt
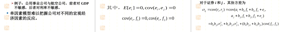
投资学第8章投资理论(4):套利定价理论(APT)8.1概述在上一章,为了得到投资者的最优投资组合,要求知道:回报率均值向量回报率方差-协方差矩阵无风险利率估计量和计算量随着证券种类的增加以指数级增加引入因子模型可以大大简化计算量由于因子模型的引入,使得估计Markowitz有效集的艰巨而烦琐的任务得到大大的简化。因子模型还给我们提供关于证券回报率生成过程的一种新视点一元或者多元统计分析,以一个或者多个变量来解释证券的收益,从而比仅仅以市场来解释证券的收益更准确。CAPM与APT建立在均值-方差分析基础上的CAPM是一种理论上相当完美的模型,但实际上只有理论意义,因为假设条件太多、太严格!除CAPM理论外,另一种重要的定价理论是由StephenRoss在1976年建立的套利定价理论(Arbitragepricingtheory,APT),从另一个角度探讨了资产的定价问题。市场均衡条件下的最优投资组合理论=CAPM无套利假定下因子模型=APTCAPM是建立在一系列假设之上的非常理想化的模型,这些假设包括HarryMarkowitz建立均值-方差模型时所作的假设。这其中最关键的假设是同质性假设。相反,APT所作的假设少得多。APT的基本假设之一是:个体是非满足,而不需要风险规避的假设!每个人都会利用套利机会:在不增加风险的前提下提高回报率。只要一个人套利,市场就会出现均衡!8.2因子模型(Factormodel)定义:因子模型是一种假设证券的回报率只与不同的因子波动(相对数)或者指标的运动有关的经济模型。因子模型是APT的基础,其目的是找出这些因素并确认证券收益率对这些因素变动的敏感度。依据因子的数量,可以分为单因子模型和多因子模型。8.2.1单因子模型引子若把经济系统中的所有相关因素作为一个总的宏观经济指数。假设:(1)证券的回报率仅仅取决于该指数的变化;(2)除此以外的因素是公司特有风险——残余风险则可以建立以宏观经济指数变化为自变量,以证券回报率为因变量的单因子模型。例如,GDP的预期增长率是影响证券回报率的主要因素。例1:设证券回报仅仅与市场因子回报有关其中=在给定的时间t,证券i的回报率=在同一时间区间,市场因子m的相对数=截距项=证券i对因素m的敏感度=随机误差项,itiimmtitrabreitrmtriaimbite[]0,cov(,)0,cov(,)0ititmtitjtEer因子模型回归年份IGDPt(%)股票A收益率(%)15.714.326.419.238.923.448.015.655.19.262.913.04%tr...

1、当您付费下载文档后,您只拥有了使用权限,并不意味着购买了版权,文档只能用于自身使用,不得用于其他商业用途(如 [转卖]进行直接盈利或[编辑后售卖]进行间接盈利)。
2、本站所有内容均由合作方或网友上传,本站不对文档的完整性、权威性及其观点立场正确性做任何保证或承诺!文档内容仅供研究参考,付费前请自行鉴别。
3、如文档内容存在违规,或者侵犯商业秘密、侵犯著作权等,请点击“违规举报”。

碎片内容

蜗牛文库的最新文档

二年级数学下册其中检测卷二年级数学下册其中检测卷附答案#期中测试卷.pdf
10.00金币
0下载
二年级数学下册期末质检卷(苏教版)二年级数学下册期末质检卷(苏教版)#期末复习 #期末测试卷 #二年级数学 #二年级数学下册#关注我持续更新小学知识.pdf
10.00金币
0下载
二年级数学下册期末混合运算专项练习二年级数学下册期末混合运算专项练习#二年级#二年级数学下册#关注我持续更新小学知识 #知识分享 #家长收藏孩子受益.pdf
10.00金币
1下载
二年级数学下册年月日三类周期问题解题方法二年级数学下册年月日三类周期问题解题方法#二年级#二年级数学下册#知识分享 #关注我持续更新小学知识 #家长收藏孩子受益.pdf
10.00金币
0下载
二年级数学下册解决问题专项训练二年级数学下册解决问题专项训练#专项训练#解决问题#二年级#二年级数学下册#知识分享.pdf
10.00金币
1下载
二年级数学下册还原问题二年级数学下册还原问题#二年级#二年级数学#关注我持续更新小学知识 #知识分享 #家长收藏孩子受益.pdf
10.00金币
1下载
二年级数学下册第六单元考试卷家长打印出来给孩子测试测试争取拿到高分!#小学二年级试卷分享 #二年级第六单考试数学 #第六单考试#二年级数学下册.pdf
10.00金币
0下载
二年级数学下册必背顺口溜口诀汇总二年级数学下册必背顺口溜口诀汇总#二年级#二年级数学下册 #知识分享 #家长收藏孩子受益 #关注我持续更新小学知识.pdf
10.00金币
0下载
二年级数学下册《重点难点思维题》两大问题解决技巧和方法巧算星期几解决周期问题还原问题强化思维训练老师精心整理家长可以打印出来给孩子练习#家长收藏孩子受益 #学霸秘籍 #思维训练 #二年级 #知识点总结.pdf
10.00金币
0下载
二年级数学下册 必背公式大全寒假提前背一背开学更轻松#二年级 #二年级数学 #二年级数学下册 #寒假充电计划 #公式.pdf
10.00金币
0下载
蜗牛文库+ 关注
实名认证
内容提供者

提供各种专业文档内容

确认删除?
QQ
  • QQ点击这里给我发消息
微信客服
  • 微信客服
回到顶部