电脑桌面
添加蜗牛文库到电脑桌面
安装后可以在桌面快捷访问

第九章第八节 第3课时 题型上——全析高考常考的6大题型.pptVIP免费

第九章第八节 第3课时 题型上——全析高考常考的6大题型.ppt第九章第八节 第3课时 题型上——全析高考常考的6大题型.ppt第九章第八节 第3课时 题型上——全析高考常考的6大题型.ppt第九章第八节 第3课时 题型上——全析高考常考的6大题型.ppt第九章第八节 第3课时 题型上——全析高考常考的6大题型.ppt
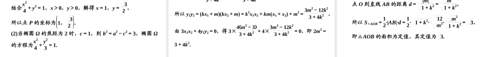
第3课时题型上——全析高考常考的6大题型题型一圆锥曲线中的定点问题圆锥曲线中的定点问题一般是指与解析几何有关的直线或圆过定点的问题(其他曲线过定点太复杂,高中阶段一般不涉及),其实质是:当动直线或动圆变化时,这些直线或圆相交于一点,即这些直线或圆绕着定点在转动.这类问题的求解一般可分为以下三步:一选:选择变量,定点问题中的定点,随某一个量的变化而固定,可选择这个量为变量(有时可选择两个变量,如点的坐标、斜率、截距等,然后利用其他辅助条件消去其中之一).二求:求出定点所满足的方程,即把需要证明为定点的问题表示成关于上述变量的方程.三定点:对上述方程进行必要的化简,即可得到定点坐标.[典例](2019·成都一诊)已知椭圆C:x2a2+y2b2=1(a>b>0)的右焦点F(3,0),长半轴的长与短半轴的长的比值为2.(1)求椭圆C的标准方程;(2)设不经过点B(0,1)的直线l与椭圆C相交于不同的两点M,N,若点B在以线段MN为直径的圆上,证明直线l过定点,并求出该定点的坐标.[解](1)由题意得,c=3,ab=2,a2=b2+c2,∴a=2,b=1,∴椭圆C的标准方程为x24+y2=1.(2)当直线l的斜率存在时,设直线l的方程为y=kx+m(m≠1),M(x1,y1),N(x2,y2).联立,得y=kx+m,x2+4y2=4,消去y可得(4k2+1)x2+8kmx+4m2-4=0.∴Δ=16(4k2+1-m2)>0,x1+x2=-8km4k2+1,x1x2=4m2-44k2+1. 点B在以线段MN为直径的圆上,∴BM―→·BN―→=0. BM―→·BN―→=(x1,kx1+m-1)·(x2,kx2+m-1)=(k2+1)x1x2+k(m-1)(x1+x2)+(m-1)2=0,∴(k2+1)4m2-44k2+1+k(m-1)-8km4k2+1+(m-1)2=0,整理,得5m2-2m-3=0,解得m=-35或m=1(舍去).∴直线l的方程为y=kx-35.易知当直线l的斜率不存在时,不符合题意.故直线l过定点,且该定点的坐标为0,-35.[方法技巧]求解圆锥曲线中定点问题的2种方法(1)特殊推理法:先从特殊情况入手,求出定点,再证明定点与变量无关.(2)直接推理法:①选择一个参数建立方程,一般将题目中给出的曲线方程(包含直线方程)中的常数k当成变量,将变量x,y当成常数,将原方程转化为kf(x,y)+g(x,y)=0的形式;②根据曲线(包含直线)过定点时与参数没有关系(即方程对参数的任意值都成立),得到方程组fx,y=0,gx,y=0;③以②中方程组的解为坐标的点就是曲线所过的定点,若定点具备一定的限制条件,可以特殊解决.[针对训练]如图,已知直线l:y=...

1、当您付费下载文档后,您只拥有了使用权限,并不意味着购买了版权,文档只能用于自身使用,不得用于其他商业用途(如 [转卖]进行直接盈利或[编辑后售卖]进行间接盈利)。
2、本站所有内容均由合作方或网友上传,本站不对文档的完整性、权威性及其观点立场正确性做任何保证或承诺!文档内容仅供研究参考,付费前请自行鉴别。
3、如文档内容存在违规,或者侵犯商业秘密、侵犯著作权等,请点击“违规举报”。

碎片内容

蜗牛文库的最新文档

二年级数学下册其中检测卷二年级数学下册其中检测卷附答案#期中测试卷.pdf
10.00金币
0下载
二年级数学下册期末质检卷(苏教版)二年级数学下册期末质检卷(苏教版)#期末复习 #期末测试卷 #二年级数学 #二年级数学下册#关注我持续更新小学知识.pdf
10.00金币
0下载
二年级数学下册期末混合运算专项练习二年级数学下册期末混合运算专项练习#二年级#二年级数学下册#关注我持续更新小学知识 #知识分享 #家长收藏孩子受益.pdf
10.00金币
1下载
二年级数学下册年月日三类周期问题解题方法二年级数学下册年月日三类周期问题解题方法#二年级#二年级数学下册#知识分享 #关注我持续更新小学知识 #家长收藏孩子受益.pdf
10.00金币
0下载
二年级数学下册解决问题专项训练二年级数学下册解决问题专项训练#专项训练#解决问题#二年级#二年级数学下册#知识分享.pdf
10.00金币
1下载
二年级数学下册还原问题二年级数学下册还原问题#二年级#二年级数学#关注我持续更新小学知识 #知识分享 #家长收藏孩子受益.pdf
10.00金币
1下载
二年级数学下册第六单元考试卷家长打印出来给孩子测试测试争取拿到高分!#小学二年级试卷分享 #二年级第六单考试数学 #第六单考试#二年级数学下册.pdf
10.00金币
0下载
二年级数学下册必背顺口溜口诀汇总二年级数学下册必背顺口溜口诀汇总#二年级#二年级数学下册 #知识分享 #家长收藏孩子受益 #关注我持续更新小学知识.pdf
10.00金币
0下载
二年级数学下册《重点难点思维题》两大问题解决技巧和方法巧算星期几解决周期问题还原问题强化思维训练老师精心整理家长可以打印出来给孩子练习#家长收藏孩子受益 #学霸秘籍 #思维训练 #二年级 #知识点总结.pdf
10.00金币
0下载
二年级数学下册 必背公式大全寒假提前背一背开学更轻松#二年级 #二年级数学 #二年级数学下册 #寒假充电计划 #公式.pdf
10.00金币
0下载
蜗牛文库+ 关注
实名认证
内容提供者

提供各种专业文档内容

确认删除?
QQ
  • QQ点击这里给我发消息
微信客服
  • 微信客服
回到顶部