电脑桌面
添加蜗牛文库到电脑桌面
安装后可以在桌面快捷访问

第八章 杂种优势利用.pptVIP免费

第八章 杂种优势利用.ppt第八章 杂种优势利用.ppt第八章 杂种优势利用.ppt第八章 杂种优势利用.ppt第八章 杂种优势利用.ppt
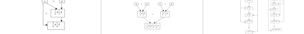
第八章杂种优势利用杂种优势概念:不同种群(品种、品系或其它种用种群)的家畜杂交产生的杂种,往往在生活力、生长势和生产性能等方面,表现在一定程度上优于其亲本纯繁群体。原理:由于优良显性基因的互补和群体中杂合子频率的增加,从而抑止或减弱了更多不良基因的作用,提高了整个群体的平均显性效应和上位效应。有机体:生活力、耐受力、抗病力和繁殖力提高,饲料利用能力加强和生长速度加快;质量性状:畸形、缺损、致死、半致死现象减少;数量性状:群体均值提高。杂种优势学说显性学说(1)显性基因多为有利基因,有害、致病以及致死基因大多是隐性基因;(2)显性基因对隐性基因有抑制和掩盖作用,从而使隐性基因的不利作用难以表现;(3)显性基因在杂种群中产生累加效应;(4)非等位基因间的互作会使一个性状受到抑制或者增强。超显性学说(1)等位基因间相互作用的结果。具有不同作用的一对等位基因在生理上相互剌激,使杂合子比任何一种纯合子在生活力和适应性上都更优越。(2)每一基因座上有一系列的等位基因,每一等位基因又具有独特的作用,杂合子比纯合子具有更强的生活力;(3)基因在杂合状态时可提供更多的发育途径和更多的生理生化多样性,因此杂合子在发育上即使不比纯合子更好,也会更稳定一些。杂种优势度量杂种优势的计算设群体A、B之间杂交,A为父本、B为母本,产生杂种AB。对任一数量性状而言杂种优势即为AB杂种群体均值超过A、B两个亲本群体均值平均的部分,即:杂种优势率正交与反交影响把用正交所求的杂种优势记为HAB,而把用反交所求的杂种优势记为HBA,则二者分别与用正交和反交平均所求的杂种优势的差异为:杂种优势的实质任意一个数量性状的表型值可以剖分为两个部分,即:进一步可以剖分为:各亲本群及杂种群的群体均值为:根据正交、反交以及正反交所估计的杂种优势分别为:杂种优势主要同显性效应和上位效应有关。配合力的概念F1(A)为A种群与B、C、D、E、F等各种群杂交产生的各种一代杂种某一性状的平均值;F1(AB)为A、B两种群杂交产生的一代杂种该性状的平均值。F1(A)即A种群的一般配合力F1(AB)-(F1(A)+F1(B))/2即A、B两种群的特殊配合力一般配合力一个种群与其它种群杂交所能获得的平均效果。它的基础是基因的加性效应。特殊配合力两个特定种群之间杂交所能获得超过一般配合力的杂种优势。它的基础是基因的非加性效应,即显性效应和上位效应。一般配合力反映的是杂交亲...

1、当您付费下载文档后,您只拥有了使用权限,并不意味着购买了版权,文档只能用于自身使用,不得用于其他商业用途(如 [转卖]进行直接盈利或[编辑后售卖]进行间接盈利)。
2、本站所有内容均由合作方或网友上传,本站不对文档的完整性、权威性及其观点立场正确性做任何保证或承诺!文档内容仅供研究参考,付费前请自行鉴别。
3、如文档内容存在违规,或者侵犯商业秘密、侵犯著作权等,请点击“违规举报”。

碎片内容

蜗牛文库的最新文档

二年级数学下册其中检测卷二年级数学下册其中检测卷附答案#期中测试卷.pdf
10.00金币
0下载
二年级数学下册期末质检卷(苏教版)二年级数学下册期末质检卷(苏教版)#期末复习 #期末测试卷 #二年级数学 #二年级数学下册#关注我持续更新小学知识.pdf
10.00金币
0下载
二年级数学下册期末混合运算专项练习二年级数学下册期末混合运算专项练习#二年级#二年级数学下册#关注我持续更新小学知识 #知识分享 #家长收藏孩子受益.pdf
10.00金币
1下载
二年级数学下册年月日三类周期问题解题方法二年级数学下册年月日三类周期问题解题方法#二年级#二年级数学下册#知识分享 #关注我持续更新小学知识 #家长收藏孩子受益.pdf
10.00金币
0下载
二年级数学下册解决问题专项训练二年级数学下册解决问题专项训练#专项训练#解决问题#二年级#二年级数学下册#知识分享.pdf
10.00金币
1下载
二年级数学下册还原问题二年级数学下册还原问题#二年级#二年级数学#关注我持续更新小学知识 #知识分享 #家长收藏孩子受益.pdf
10.00金币
1下载
二年级数学下册第六单元考试卷家长打印出来给孩子测试测试争取拿到高分!#小学二年级试卷分享 #二年级第六单考试数学 #第六单考试#二年级数学下册.pdf
10.00金币
0下载
二年级数学下册必背顺口溜口诀汇总二年级数学下册必背顺口溜口诀汇总#二年级#二年级数学下册 #知识分享 #家长收藏孩子受益 #关注我持续更新小学知识.pdf
10.00金币
0下载
二年级数学下册《重点难点思维题》两大问题解决技巧和方法巧算星期几解决周期问题还原问题强化思维训练老师精心整理家长可以打印出来给孩子练习#家长收藏孩子受益 #学霸秘籍 #思维训练 #二年级 #知识点总结.pdf
10.00金币
0下载
二年级数学下册 必背公式大全寒假提前背一背开学更轻松#二年级 #二年级数学 #二年级数学下册 #寒假充电计划 #公式.pdf
10.00金币
0下载
蜗牛文库+ 关注
实名认证
内容提供者

提供各种专业文档内容

确认删除?
QQ
  • QQ点击这里给我发消息
微信客服
  • 微信客服
回到顶部