电脑桌面
添加蜗牛文库到电脑桌面
安装后可以在桌面快捷访问

2017-2018学年湘教版数学选修2-2配套课件:6-3(1)数学归纳法(一) -数学备课大师【全免费】.pptVIP免费

2017-2018学年湘教版数学选修2-2配套课件:6-3(1)数学归纳法(一) -数学备课大师【全免费】.ppt2017-2018学年湘教版数学选修2-2配套课件:6-3(1)数学归纳法(一) -数学备课大师【全免费】.ppt2017-2018学年湘教版数学选修2-2配套课件:6-3(1)数学归纳法(一) -数学备课大师【全免费】.ppt2017-2018学年湘教版数学选修2-2配套课件:6-3(1)数学归纳法(一) -数学备课大师【全免费】.ppt2017-2018学年湘教版数学选修2-2配套课件:6-3(1)数学归纳法(一) -数学备课大师【全免费】.ppt
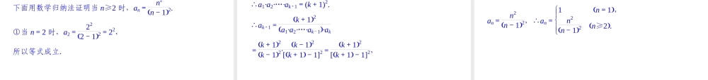
高中数学·选修2-2·湘教版6.3数学归纳法(一)[[学习目标学习目标]]11..了了解数学归纳法的原理、证明的步骤及解数学归纳法的原理、证明的步骤及变形的特点.变形的特点.22.会用数学归纳法证明有关几何问题,整.会用数学归纳法证明有关几何问题,整除问题和归纳猜想的问题.除问题和归纳猜想的问题.[[知识链接知识链接]]问问题题1.1.什么是不完全归纳法和完全归纳法?什么是不完全归纳法和完全归纳法?答答(1)(1)不不完全归纳法:如果我们考察了完全归纳法:如果我们考察了某类对象中的一部分,由这一部分具有某某类对象中的一部分,由这一部分具有某种特征而得出该对象中的全体具有这种特种特征而得出该对象中的全体具有这种特征的结论为不完全归纳法.由不完全归纳征的结论为不完全归纳法.由不完全归纳法得出的结论不一定都是正确的,其正确法得出的结论不一定都是正确的,其正确性还需进一步证明.性还需进一步证明.(2)(2)完全归纳法:如果我们考察了某一类对完全归纳法:如果我们考察了某一类对象中的所有对象而得出了该类对象全体具象中的所有对象而得出了该类对象全体具有某种特征的结论为完全归纳法.由完全有某种特征的结论为完全归纳法.由完全归纳法得到的结论一定是正确的.数学归归纳法得到的结论一定是正确的.数学归问题问题2.2.多米诺骨牌都一一倒下只需满足哪几多米诺骨牌都一一倒下只需满足哪几个条件?个条件?答答(1)(1)第第一块骨牌倒下;一块骨牌倒下;(2)(2)任意相邻的任意相邻的两块骨牌,前一块倒下一定导致后一块倒下.两块骨牌,前一块倒下一定导致后一块倒下.条件条件(2)(2)事实上给出了一个递推关系,换言事实上给出了一个递推关系,换言之就是假设第之就是假设第kk块倒下,则相邻的第块倒下,则相邻的第kk++11块也倒下.块也倒下.问题问题3.3.类比问题类比问题22中的多米诺骨牌游戏的原中的多米诺骨牌游戏的原理,想一想如何证明问题理,想一想如何证明问题11中的猜想?中的猜想?答答(1)(1)当当nn==11时,猜想成立;时,猜想成立;(2)(2)若当若当nn==kk时猜想成立,证明当时猜想成立,证明当nn==kk++11时猜时猜想也成立.想也成立.[[预习导引预习导引]]11..用用数学归纳法证明的步骤数学归纳法证明的步骤(1)(1)证明当证明当nn取第一个值取第一个值nn00时结论正确;时结论正确;(2)(2)假设当假设当nn==kk((kk∈∈NN++,且,且kk≥≥nn00))时结时结论正确,证明当论正确,证明当nn==kk+...

1、当您付费下载文档后,您只拥有了使用权限,并不意味着购买了版权,文档只能用于自身使用,不得用于其他商业用途(如 [转卖]进行直接盈利或[编辑后售卖]进行间接盈利)。
2、本站所有内容均由合作方或网友上传,本站不对文档的完整性、权威性及其观点立场正确性做任何保证或承诺!文档内容仅供研究参考,付费前请自行鉴别。
3、如文档内容存在违规,或者侵犯商业秘密、侵犯著作权等,请点击“违规举报”。

碎片内容

蜗牛文库的最新文档

二年级数学下册其中检测卷二年级数学下册其中检测卷附答案#期中测试卷.pdf
10.00金币
0下载
二年级数学下册期末质检卷(苏教版)二年级数学下册期末质检卷(苏教版)#期末复习 #期末测试卷 #二年级数学 #二年级数学下册#关注我持续更新小学知识.pdf
10.00金币
0下载
二年级数学下册期末混合运算专项练习二年级数学下册期末混合运算专项练习#二年级#二年级数学下册#关注我持续更新小学知识 #知识分享 #家长收藏孩子受益.pdf
10.00金币
1下载
二年级数学下册年月日三类周期问题解题方法二年级数学下册年月日三类周期问题解题方法#二年级#二年级数学下册#知识分享 #关注我持续更新小学知识 #家长收藏孩子受益.pdf
10.00金币
0下载
二年级数学下册解决问题专项训练二年级数学下册解决问题专项训练#专项训练#解决问题#二年级#二年级数学下册#知识分享.pdf
10.00金币
1下载
二年级数学下册还原问题二年级数学下册还原问题#二年级#二年级数学#关注我持续更新小学知识 #知识分享 #家长收藏孩子受益.pdf
10.00金币
1下载
二年级数学下册第六单元考试卷家长打印出来给孩子测试测试争取拿到高分!#小学二年级试卷分享 #二年级第六单考试数学 #第六单考试#二年级数学下册.pdf
10.00金币
0下载
二年级数学下册必背顺口溜口诀汇总二年级数学下册必背顺口溜口诀汇总#二年级#二年级数学下册 #知识分享 #家长收藏孩子受益 #关注我持续更新小学知识.pdf
10.00金币
0下载
二年级数学下册《重点难点思维题》两大问题解决技巧和方法巧算星期几解决周期问题还原问题强化思维训练老师精心整理家长可以打印出来给孩子练习#家长收藏孩子受益 #学霸秘籍 #思维训练 #二年级 #知识点总结.pdf
10.00金币
0下载
二年级数学下册 必背公式大全寒假提前背一背开学更轻松#二年级 #二年级数学 #二年级数学下册 #寒假充电计划 #公式.pdf
10.00金币
0下载
蜗牛文库+ 关注
实名认证
内容提供者

提供各种专业文档内容

确认删除?
QQ
  • QQ点击这里给我发消息
微信客服
  • 微信客服
回到顶部