电脑桌面
添加蜗牛文库到电脑桌面
安装后可以在桌面快捷访问

第4章 第3节 第1课时 两角和与差的正弦、余弦、正切公式及二倍角公式.pptVIP免费

第4章 第3节 第1课时 两角和与差的正弦、余弦、正切公式及二倍角公式.ppt第4章 第3节 第1课时 两角和与差的正弦、余弦、正切公式及二倍角公式.ppt第4章 第3节 第1课时 两角和与差的正弦、余弦、正切公式及二倍角公式.ppt第4章 第3节 第1课时 两角和与差的正弦、余弦、正切公式及二倍角公式.ppt
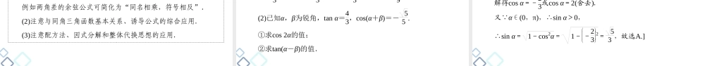
第四章三角函数、解三角形第三节三角恒等变换1走进教材·夯实基础细研考点·突破题型课后限时集训23第三节三角恒等变换第三节三角恒等变换1走进教材·夯实基础细研考点·突破题型课后限时集训23[考试要求]1.会用向量的数量积推导出两角差的余弦公式.2.会用两角差的余弦公式推导出两角差的正弦、正切公式.3.会用两角差的余弦公式推导出两角和的正弦、余弦、正切公式和二倍角的正弦、余弦、正切公式,了解它们的内在联系.4.能运用上述公式进行简单的三角恒等变换(包括导出积化和差、和差化积、半角公式,但不要求记忆).第三节三角恒等变换1走进教材·夯实基础细研考点·突破题型课后限时集训2301走进教材·夯实基础梳理·必备知识激活·必备技能第三节三角恒等变换1走进教材·夯实基础细研考点·突破题型课后限时集训231.两角和与差的正弦、余弦、正切公式(1)sin(α±β)=__________________;(2)cos(α±β)=__________________;(3)tan(α±β)=____________.sinαcosβ±cosαsinβcosαcosβ∓sinαsinβtanα±tanβ1∓tanαtanβ第三节三角恒等变换1走进教材·夯实基础细研考点·突破题型课后限时集训232.二倍角的正弦、余弦、正切公式(1)sin2α=2sinαcosα;(2)cos2α=cos2α-sin2α=______________=_______________;(3)tan2α=__________.提醒:(1)二倍角公式就是两角和的正弦、余弦、正切公式中α=β的特殊情况.(2)二倍角是相对的,如α2是α4的2倍,3α是3α2的2倍.2cos2α-11-2sin2α2tanα1-tan2α第三节三角恒等变换1走进教材·夯实基础细研考点·突破题型课后限时集训233.辅助角公式asinα+bcosα=a2+b2sin(α+φ)其中sinφ=ba2+b2,cosφ=aa2+b2.第三节三角恒等变换1走进教材·夯实基础细研考点·突破题型课后限时集训23[常用结论]1.公式的常用变式tanα±tanβ=tan(α±β)(1∓tanαtanβ);sin2α=2sinαcosαsin2α+cos2α=2tanα1+tan2α;cos2α=cos2α-sin2αcos2α+sin2α=1-tan2α1+tan2α.第三节三角恒等变换1走进教材·夯实基础细研考点·突破题型课后限时集训232.降幂公式sin2α=1-cos2α2;cos2α=1+cos2α2;sinαcosα=12sin2α.第三节三角恒等变换1走进教材·夯实基础细研考点·突破题型课后限时集训233.升幂公式1+cosα=2cos2α2;1-cosα=2sin2α2;1+sinα=sinα2+cosα22;1-sinα=sinα2-cosα22.第...

1、当您付费下载文档后,您只拥有了使用权限,并不意味着购买了版权,文档只能用于自身使用,不得用于其他商业用途(如 [转卖]进行直接盈利或[编辑后售卖]进行间接盈利)。
2、本站所有内容均由合作方或网友上传,本站不对文档的完整性、权威性及其观点立场正确性做任何保证或承诺!文档内容仅供研究参考,付费前请自行鉴别。
3、如文档内容存在违规,或者侵犯商业秘密、侵犯著作权等,请点击“违规举报”。

碎片内容

蜗牛文库的最新文档

二年级数学下册其中检测卷二年级数学下册其中检测卷附答案#期中测试卷.pdf
10.00金币
0下载
二年级数学下册期末质检卷(苏教版)二年级数学下册期末质检卷(苏教版)#期末复习 #期末测试卷 #二年级数学 #二年级数学下册#关注我持续更新小学知识.pdf
10.00金币
0下载
二年级数学下册期末混合运算专项练习二年级数学下册期末混合运算专项练习#二年级#二年级数学下册#关注我持续更新小学知识 #知识分享 #家长收藏孩子受益.pdf
10.00金币
1下载
二年级数学下册年月日三类周期问题解题方法二年级数学下册年月日三类周期问题解题方法#二年级#二年级数学下册#知识分享 #关注我持续更新小学知识 #家长收藏孩子受益.pdf
10.00金币
0下载
二年级数学下册解决问题专项训练二年级数学下册解决问题专项训练#专项训练#解决问题#二年级#二年级数学下册#知识分享.pdf
10.00金币
1下载
二年级数学下册还原问题二年级数学下册还原问题#二年级#二年级数学#关注我持续更新小学知识 #知识分享 #家长收藏孩子受益.pdf
10.00金币
1下载
二年级数学下册第六单元考试卷家长打印出来给孩子测试测试争取拿到高分!#小学二年级试卷分享 #二年级第六单考试数学 #第六单考试#二年级数学下册.pdf
10.00金币
0下载
二年级数学下册必背顺口溜口诀汇总二年级数学下册必背顺口溜口诀汇总#二年级#二年级数学下册 #知识分享 #家长收藏孩子受益 #关注我持续更新小学知识.pdf
10.00金币
0下载
二年级数学下册《重点难点思维题》两大问题解决技巧和方法巧算星期几解决周期问题还原问题强化思维训练老师精心整理家长可以打印出来给孩子练习#家长收藏孩子受益 #学霸秘籍 #思维训练 #二年级 #知识点总结.pdf
10.00金币
0下载
二年级数学下册 必背公式大全寒假提前背一背开学更轻松#二年级 #二年级数学 #二年级数学下册 #寒假充电计划 #公式.pdf
10.00金币
0下载
蜗牛文库+ 关注
实名认证
内容提供者

提供各种专业文档内容

确认删除?
QQ
  • QQ点击这里给我发消息
微信客服
  • 微信客服
回到顶部