电脑桌面
添加蜗牛文库到电脑桌面
安装后可以在桌面快捷访问

第5章 第2节 平面向量基本定理及坐标表示.pptVIP免费

第5章 第2节 平面向量基本定理及坐标表示.ppt第5章 第2节 平面向量基本定理及坐标表示.ppt第5章 第2节 平面向量基本定理及坐标表示.ppt第5章 第2节 平面向量基本定理及坐标表示.ppt
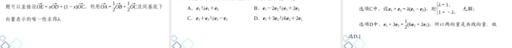
第五章平面向量、数系的扩充与复数的引入第二节平面向量基本定理及坐标表示1走进教材·夯实基础细研考点·突破题型课后限时集训243备考技法第二节平面向量基本定理及坐标表示第二节平面向量基本定理及坐标表示1走进教材·夯实基础细研考点·突破题型课后限时集训243备考技法[考试要求]1.了解平面向量的基本定理及其意义.2.掌握平面向量的正交分解及其坐标表示.3.会用坐标表示平面向量的加法、减法与数乘运算.4.理解用坐标表示的平面向量共线的条件.第二节平面向量基本定理及坐标表示1走进教材·夯实基础细研考点·突破题型课后限时集训243备考技法01走进教材·夯实基础梳理·必备知识激活·必备技能第二节平面向量基本定理及坐标表示1走进教材·夯实基础细研考点·突破题型课后限时集训243备考技法1.平面向量基本定理(1)定理:如果e1,e2是同一平面内的两个______向量,那么对于这一平面内的任意向量a,有且只有一对实数λ1,λ2,使a=_________.(2)基底:_______的向量e1,e2叫做表示这一平面内所有向量的一组基底.不共线λ1e1+λ2e2不共线第二节平面向量基本定理及坐标表示1走进教材·夯实基础细研考点·突破题型课后限时集训243备考技法2.平面向量的坐标运算(1)向量加法、减法、数乘及向量的模设a=(x1,y1),b=(x2,y2),则a+b=__________________,a-b=__________________,λa=___________,|a|=__________.(x1+x2,y1+y2)(x1-x2,y1-y2)(λx1,λy1)x21+y21第二节平面向量基本定理及坐标表示1走进教材·夯实基础细研考点·突破题型课后限时集训243备考技法(2)向量坐标的求法①若向量的起点是坐标原点,则终点坐标即为向量的坐标.②设A(x1,y1),B(x2,y2),则AB→=________________,|AB→|=__________________.3.平面向量共线的坐标表示设a=(x1,y1),b=(x2,y2),其中a≠0,b≠0,a,b共线⇔_______________.x2-x12+y2-y12x1y2-x2y1=0(x2-x1,y2-y1)第二节平面向量基本定理及坐标表示1走进教材·夯实基础细研考点·突破题型课后限时集训243备考技法[常用结论]1.若a与b不共线,且λa+μb=0,则λ=μ=0.2.已知P为线段AB的中点,若A(x1,y1),B(x2,y2),则P点坐标为.3.已知△ABC的重心为G,若A(x1,y1),B(x2,y2),C(x3,y3),则G.第二节平面向量基本定理及坐标表示1走进教材·夯实基础细研考点·突破题型课后限时集训243备考技法一、易错易误辨析(正确的打“√”,错误的打“×”)(1)平面...

1、当您付费下载文档后,您只拥有了使用权限,并不意味着购买了版权,文档只能用于自身使用,不得用于其他商业用途(如 [转卖]进行直接盈利或[编辑后售卖]进行间接盈利)。
2、本站所有内容均由合作方或网友上传,本站不对文档的完整性、权威性及其观点立场正确性做任何保证或承诺!文档内容仅供研究参考,付费前请自行鉴别。
3、如文档内容存在违规,或者侵犯商业秘密、侵犯著作权等,请点击“违规举报”。

碎片内容

蜗牛文库的最新文档

二年级数学下册其中检测卷二年级数学下册其中检测卷附答案#期中测试卷.pdf
10.00金币
0下载
二年级数学下册期末质检卷(苏教版)二年级数学下册期末质检卷(苏教版)#期末复习 #期末测试卷 #二年级数学 #二年级数学下册#关注我持续更新小学知识.pdf
10.00金币
0下载
二年级数学下册期末混合运算专项练习二年级数学下册期末混合运算专项练习#二年级#二年级数学下册#关注我持续更新小学知识 #知识分享 #家长收藏孩子受益.pdf
10.00金币
1下载
二年级数学下册年月日三类周期问题解题方法二年级数学下册年月日三类周期问题解题方法#二年级#二年级数学下册#知识分享 #关注我持续更新小学知识 #家长收藏孩子受益.pdf
10.00金币
0下载
二年级数学下册解决问题专项训练二年级数学下册解决问题专项训练#专项训练#解决问题#二年级#二年级数学下册#知识分享.pdf
10.00金币
1下载
二年级数学下册还原问题二年级数学下册还原问题#二年级#二年级数学#关注我持续更新小学知识 #知识分享 #家长收藏孩子受益.pdf
10.00金币
1下载
二年级数学下册第六单元考试卷家长打印出来给孩子测试测试争取拿到高分!#小学二年级试卷分享 #二年级第六单考试数学 #第六单考试#二年级数学下册.pdf
10.00金币
0下载
二年级数学下册必背顺口溜口诀汇总二年级数学下册必背顺口溜口诀汇总#二年级#二年级数学下册 #知识分享 #家长收藏孩子受益 #关注我持续更新小学知识.pdf
10.00金币
0下载
二年级数学下册《重点难点思维题》两大问题解决技巧和方法巧算星期几解决周期问题还原问题强化思维训练老师精心整理家长可以打印出来给孩子练习#家长收藏孩子受益 #学霸秘籍 #思维训练 #二年级 #知识点总结.pdf
10.00金币
0下载
二年级数学下册 必背公式大全寒假提前背一背开学更轻松#二年级 #二年级数学 #二年级数学下册 #寒假充电计划 #公式.pdf
10.00金币
0下载
蜗牛文库+ 关注
实名认证
内容提供者

提供各种专业文档内容

确认删除?
QQ
  • QQ点击这里给我发消息
微信客服
  • 微信客服
回到顶部