电脑桌面
添加蜗牛文库到电脑桌面
安装后可以在桌面快捷访问

5.5.1 第1课时 两角差的余弦公式.pptxVIP免费

5.5.1 第1课时 两角差的余弦公式.pptx5.5.1 第1课时 两角差的余弦公式.pptx5.5.1 第1课时 两角差的余弦公式.pptx5.5.1 第1课时 两角差的余弦公式.pptx
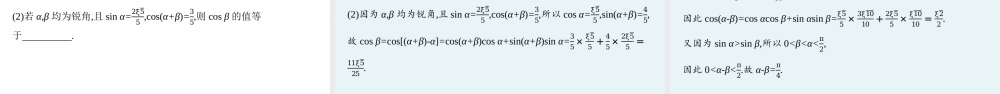
高中同步学案优化设计GAOZHONGTONGBUXUEANYOUHAUSHEJI第1课时两角差的余弦公式第五章2021内容索引0102课前篇自主预习课堂篇探究学习课标阐释思维脉络1.能通过任意角的三角函数的定义及平面上两点间的距离公式推导出两角差的余弦公式.(逻辑推理)2.理解两角差的余弦公式的结构形式,并能利用公式进行简单的化简、求值.(数学运算)课前篇自主预习[激趣诱思]彩虹是气象中的一种光学现象,当太阳光照射到半空中的水滴,光线被折射及反射,在天空中形成拱形的七彩光谱,由外圈至内圈呈红、橙、黄、绿、蓝、靛、紫七种颜色.事实上彩虹有无数种颜色,比如,在红色和橙色之间还有许多种细微差别的颜色,但为了简便起见,所以只用七种颜色作为区别.而在空气中各种不同光波的叠加让我们感觉到的光是没有色彩的.实际上光波的叠加就像是许多正弦函数、余弦函数图象的叠加.物理学中的干涉实验实际上就是将正弦波、余弦波相加减后形成新的波形,从而形成明暗相间的条纹.而要深入研究这些问题,则离不开两角和与差的三角函数等公式.[知识点拨]知识点:两角差的余弦公式公式:cos(α-β)=cosαcosβ+sinαsinβ.(1)简记符号:C(α-β).(2)适用条件:公式中的角α,β是任意角.名师点析1.公式可简记为:余余正正、符号反.2.公式中的α,β都是任意角,既可以是一个角,也可以是几个角的组合,公式右端展开式为角α,β的同名三角函数积的和,即差角余弦等于同名积之和.3.要注意公式的逆用和变形应用,如cos(α+β)cosβ+sin(α+β)sinβ=cos[(α+β)-β]=cosα.微判断(1)cos(60°-30°)=cos60°-cos30°.()(2)当α,β∈R时,cos(α-β)=cosαcosβ-sinαsinβ.()(3)对于任意实数α,β,cos(α-β)=cosα-cosβ都不成立.()(4)cos30°cos120°+sin30°sin120°=0.()答案(1)×(2)×(3)×(4)√微练习(1)cos15°=.(2)cos75°cos15°+sin75°sin15°=.答案(1)ξ6+ξ24(2)12解析(1)cos15°=cos(45°-30°)=cos45°cos30°+sin45°sin30°=ξ22×ξ32+ξ22×12=ξ6+ξ24.(2)cos75°cos15°+sin75°sin15°=cos(75°-15°)=cos60°=12.课堂篇探究学习探究一利用两角差的余弦公式解决给角求值问题例1求下列各式的值:(1)cos13π12;(2)cos5π12cosπ6+cosπ12sinπ6;(3)12cos105°+ξ32sin105°.解(1)cos13π12=cosπ+π12=-cosπ12=-cos3π12−2π12=-cosπ4−π6=-cosπ4cosπ6+sinπ4sinπ6=-ξ22×ξ32+ξ22×12=-ξ6+ξ24.(2)原式=cos5π12cosπ6+cosπ2−5π12sinπ6=cos5π12cosπ6+sin5π12sinπ6=cos...

1、当您付费下载文档后,您只拥有了使用权限,并不意味着购买了版权,文档只能用于自身使用,不得用于其他商业用途(如 [转卖]进行直接盈利或[编辑后售卖]进行间接盈利)。
2、本站所有内容均由合作方或网友上传,本站不对文档的完整性、权威性及其观点立场正确性做任何保证或承诺!文档内容仅供研究参考,付费前请自行鉴别。
3、如文档内容存在违规,或者侵犯商业秘密、侵犯著作权等,请点击“违规举报”。

碎片内容

蜗牛文库的最新文档

二年级数学下册其中检测卷二年级数学下册其中检测卷附答案#期中测试卷.pdf
10.00金币
0下载
二年级数学下册期末质检卷(苏教版)二年级数学下册期末质检卷(苏教版)#期末复习 #期末测试卷 #二年级数学 #二年级数学下册#关注我持续更新小学知识.pdf
10.00金币
0下载
二年级数学下册期末混合运算专项练习二年级数学下册期末混合运算专项练习#二年级#二年级数学下册#关注我持续更新小学知识 #知识分享 #家长收藏孩子受益.pdf
10.00金币
1下载
二年级数学下册年月日三类周期问题解题方法二年级数学下册年月日三类周期问题解题方法#二年级#二年级数学下册#知识分享 #关注我持续更新小学知识 #家长收藏孩子受益.pdf
10.00金币
0下载
二年级数学下册解决问题专项训练二年级数学下册解决问题专项训练#专项训练#解决问题#二年级#二年级数学下册#知识分享.pdf
10.00金币
1下载
二年级数学下册还原问题二年级数学下册还原问题#二年级#二年级数学#关注我持续更新小学知识 #知识分享 #家长收藏孩子受益.pdf
10.00金币
1下载
二年级数学下册第六单元考试卷家长打印出来给孩子测试测试争取拿到高分!#小学二年级试卷分享 #二年级第六单考试数学 #第六单考试#二年级数学下册.pdf
10.00金币
0下载
二年级数学下册必背顺口溜口诀汇总二年级数学下册必背顺口溜口诀汇总#二年级#二年级数学下册 #知识分享 #家长收藏孩子受益 #关注我持续更新小学知识.pdf
10.00金币
0下载
二年级数学下册《重点难点思维题》两大问题解决技巧和方法巧算星期几解决周期问题还原问题强化思维训练老师精心整理家长可以打印出来给孩子练习#家长收藏孩子受益 #学霸秘籍 #思维训练 #二年级 #知识点总结.pdf
10.00金币
0下载
二年级数学下册 必背公式大全寒假提前背一背开学更轻松#二年级 #二年级数学 #二年级数学下册 #寒假充电计划 #公式.pdf
10.00金币
0下载
蜗牛文库+ 关注
实名认证
内容提供者

提供各种专业文档内容

确认删除?
QQ
  • QQ点击这里给我发消息
微信客服
  • 微信客服
回到顶部