电脑桌面
添加蜗牛文库到电脑桌面
安装后可以在桌面快捷访问

6.4.3 第1课时 余弦定理.pptxVIP免费

6.4.3 第1课时 余弦定理.pptx6.4.3 第1课时 余弦定理.pptx6.4.3 第1课时 余弦定理.pptx6.4.3 第1课时 余弦定理.pptx
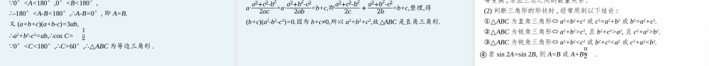
高中同步学案优化设计GAOZHONGTONGBUXUEANYOUHUASHEJI第1课时余弦定理第六章2022内容索引0102课前篇自主预习课堂篇探究学习课标阐释思维脉络1.掌握余弦定理及其推论.(数学抽象)2.借助向量的运算,探索余弦定理的证明过程.(逻辑推理)3.能够利用余弦定理解决有关问题.(数学运算)课前篇自主预习激趣诱思隧道工程的设计,经常要测算山脚的长度,工程技术人员先在地面上选一适当的位置A,量出A到山脚B,C的距离,再利用经纬仪测出A对山脚BC(即线段BC)的张角,那么如何求出山脚的长度BC呢(如图)?显然,用以前所学知识很难解决这个问题,为此我们来学习一种新的解决办法——余弦定理.知识点拨知识点一、余弦定理1.文字语言:三角形中任何一边的平方,等于其他两边平方的和减去这两边与它们夹角的余弦的积的两倍.2.符号语言:在△ABC中,a2=b2+c2-2bccosA,b2=c2+a2-2cacosB,c2=a2+b2-2abcosC.要点笔记应用余弦定理解三角形的类型(1)已知两边及其夹角求第三边及其他两角.(2)已知三边求三角.微练习(1)在△ABC中,若AB=1,AC=3,A=60°,则BC=.(2)已知△ABC是等腰三角形,且a=c=5,B=120°,则b=.答案(1)ξ7(2)5ξ3解析(1)由余弦定理,得BC2=AB2+AC2-2AB·AC·cosA=12+32-2×1×3cos60°=7,所以BC=ξ7.(2)由余弦定理,得b2=a2+c2-2accosB=52+52-2×5×5cos120°=75,所以b=5ξ3.知识点二、余弦定理的推论1.在△ABC中,cosA=b2+c2-a22bc,cosB=c2+a2-b22ca,cosC=a2+b2-c22ab.2.一般地,三角形的三个角A,B,C和它们的对边a,b,c叫做三角形的元素.已知三角形的几个元素求其他元素的过程叫做解三角形.微练习在△ABC中,角A,B,C所对的边分别为a,b,c,若a=1,b=ξ7,c=ξ3,则B=.答案5𝜋6解析由已知a=1,b=ξ7,c=ξ3,根据余弦定理的推论,得cosB=a2+c2-b22ac=1+3-72ξ3=-ξ32. 0

1、当您付费下载文档后,您只拥有了使用权限,并不意味着购买了版权,文档只能用于自身使用,不得用于其他商业用途(如 [转卖]进行直接盈利或[编辑后售卖]进行间接盈利)。
2、本站所有内容均由合作方或网友上传,本站不对文档的完整性、权威性及其观点立场正确性做任何保证或承诺!文档内容仅供研究参考,付费前请自行鉴别。
3、如文档内容存在违规,或者侵犯商业秘密、侵犯著作权等,请点击“违规举报”。

碎片内容

蜗牛文库的最新文档

二年级数学下册其中检测卷二年级数学下册其中检测卷附答案#期中测试卷.pdf
10.00金币
0下载
二年级数学下册期末质检卷(苏教版)二年级数学下册期末质检卷(苏教版)#期末复习 #期末测试卷 #二年级数学 #二年级数学下册#关注我持续更新小学知识.pdf
10.00金币
0下载
二年级数学下册期末混合运算专项练习二年级数学下册期末混合运算专项练习#二年级#二年级数学下册#关注我持续更新小学知识 #知识分享 #家长收藏孩子受益.pdf
10.00金币
1下载
二年级数学下册年月日三类周期问题解题方法二年级数学下册年月日三类周期问题解题方法#二年级#二年级数学下册#知识分享 #关注我持续更新小学知识 #家长收藏孩子受益.pdf
10.00金币
0下载
二年级数学下册解决问题专项训练二年级数学下册解决问题专项训练#专项训练#解决问题#二年级#二年级数学下册#知识分享.pdf
10.00金币
1下载
二年级数学下册还原问题二年级数学下册还原问题#二年级#二年级数学#关注我持续更新小学知识 #知识分享 #家长收藏孩子受益.pdf
10.00金币
1下载
二年级数学下册第六单元考试卷家长打印出来给孩子测试测试争取拿到高分!#小学二年级试卷分享 #二年级第六单考试数学 #第六单考试#二年级数学下册.pdf
10.00金币
0下载
二年级数学下册必背顺口溜口诀汇总二年级数学下册必背顺口溜口诀汇总#二年级#二年级数学下册 #知识分享 #家长收藏孩子受益 #关注我持续更新小学知识.pdf
10.00金币
0下载
二年级数学下册《重点难点思维题》两大问题解决技巧和方法巧算星期几解决周期问题还原问题强化思维训练老师精心整理家长可以打印出来给孩子练习#家长收藏孩子受益 #学霸秘籍 #思维训练 #二年级 #知识点总结.pdf
10.00金币
0下载
二年级数学下册 必背公式大全寒假提前背一背开学更轻松#二年级 #二年级数学 #二年级数学下册 #寒假充电计划 #公式.pdf
10.00金币
0下载
蜗牛文库+ 关注
实名认证
内容提供者

提供各种专业文档内容

确认删除?
QQ
  • QQ点击这里给我发消息
微信客服
  • 微信客服