电脑桌面
添加蜗牛文库到电脑桌面
安装后可以在桌面快捷访问

6.2.1 简单随机抽样.pptxVIP免费

6.2.1 简单随机抽样.pptx6.2.1 简单随机抽样.pptx6.2.1 简单随机抽样.pptx6.2.1 简单随机抽样.pptx
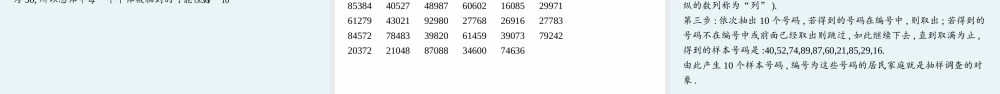
高中同步学案优化设计GAOZHONGTONGBUXUEANYOUHAUSHEJI6.2.1简单随机抽样第6章2021内容索引0102课前篇自主预习课堂篇探究学习课标阐释思维脉络1.了解简单随机抽样的概念,掌握抽签法、随机数法的一般步骤.(数学抽象)2.能用简单随机抽样方法抽取样本.(逻辑推理)课前篇自主预习情境导入在我国,食品安全问题越来越受到人们的关注,党中央、国务院和各级政府部门也高度重视,从制度建设和管理上都做了大量、卓有成效的工作,取得了良好的效果.问题:某报告称,食品质量检测人员对某品牌牛奶的抽检合格率为99.9%,你知道这一数据是怎么得到的吗?知识梳理知识点:简单随机抽样1.随机抽样:如果在抽样过程中,能使总体中的每个个体都有相同的可能性被选入样本,那么这样的抽样叫作随机抽样.2.简单随机抽样:一般地,设一个总体含有N个个体,从中无放回地抽取n(n≤N)个个体作为样本,如果总体内的每个个体都有相同的可能性被抽到,则把这样的抽样方法称为简单随机抽样.实质是逐个抽取3.简单随机样本:我们把简单随机抽样得到的样本称为简单随机样本.4.常见的简单随机抽样方法有抽签法和随机数法.名师点析1.简单随机抽样的特点(1)总体个数有限:简单随机抽样要求被抽取样本的总体个数有限,这样便于通过样本对总体进行分析.(2)逐个抽取:简单随机抽样是从总体中逐个进行抽取,这样便于实际操作.(3)无放回抽样:简单随机抽样是一种无放回抽样,这样便于样本的获取和一些相关的计算.(4)等可能抽样:每次从总体中抽取一个个体时各个个体被抽取的可能性相等,而且在整个抽样过程中,各个个体被抽取的可能性相等,从而保证了这种抽样方法的公平性.2.抽签法与随机数法的异同点方法抽签法随机数法不同点①抽签法比随机数法简单;②抽签法适用于总体中的个体数相对较少的情况随机数法适用于总体中的个体数相对较多的情况相同点都是简单随机抽样,并且要求被抽取样本的总体的个数有限微练习下列抽样试验中,用抽签法方便的是()A.从某厂生产的5000件产品中抽取600件进行质量检验B.从某厂生产的两箱(每箱15件)产品中抽取6件进行质量检验C.从甲、乙两厂生产的两箱(每箱15件)产品中各抽取6件进行质量检验D.从某厂生产的3000件产品中抽取10件进行质量检验答案B解析A总体容量较大,样本容量也较大不适宜用抽签法;B总体容量较小,样本容量也较小可用抽签法;C中甲、乙两厂生产的两箱产品有明显区别,不能用抽签法;D总体容量较大,不适宜用抽签法.故选B.课堂篇探究学习探究一简单随机抽样的概念例1下面的抽样方法是...

1、当您付费下载文档后,您只拥有了使用权限,并不意味着购买了版权,文档只能用于自身使用,不得用于其他商业用途(如 [转卖]进行直接盈利或[编辑后售卖]进行间接盈利)。
2、本站所有内容均由合作方或网友上传,本站不对文档的完整性、权威性及其观点立场正确性做任何保证或承诺!文档内容仅供研究参考,付费前请自行鉴别。
3、如文档内容存在违规,或者侵犯商业秘密、侵犯著作权等,请点击“违规举报”。

碎片内容

蜗牛文库的最新文档

二年级数学下册其中检测卷二年级数学下册其中检测卷附答案#期中测试卷.pdf
10.00金币
0下载
二年级数学下册期末质检卷(苏教版)二年级数学下册期末质检卷(苏教版)#期末复习 #期末测试卷 #二年级数学 #二年级数学下册#关注我持续更新小学知识.pdf
10.00金币
0下载
二年级数学下册期末混合运算专项练习二年级数学下册期末混合运算专项练习#二年级#二年级数学下册#关注我持续更新小学知识 #知识分享 #家长收藏孩子受益.pdf
10.00金币
1下载
二年级数学下册年月日三类周期问题解题方法二年级数学下册年月日三类周期问题解题方法#二年级#二年级数学下册#知识分享 #关注我持续更新小学知识 #家长收藏孩子受益.pdf
10.00金币
0下载
二年级数学下册解决问题专项训练二年级数学下册解决问题专项训练#专项训练#解决问题#二年级#二年级数学下册#知识分享.pdf
10.00金币
1下载
二年级数学下册还原问题二年级数学下册还原问题#二年级#二年级数学#关注我持续更新小学知识 #知识分享 #家长收藏孩子受益.pdf
10.00金币
1下载
二年级数学下册第六单元考试卷家长打印出来给孩子测试测试争取拿到高分!#小学二年级试卷分享 #二年级第六单考试数学 #第六单考试#二年级数学下册.pdf
10.00金币
0下载
二年级数学下册必背顺口溜口诀汇总二年级数学下册必背顺口溜口诀汇总#二年级#二年级数学下册 #知识分享 #家长收藏孩子受益 #关注我持续更新小学知识.pdf
10.00金币
0下载
二年级数学下册《重点难点思维题》两大问题解决技巧和方法巧算星期几解决周期问题还原问题强化思维训练老师精心整理家长可以打印出来给孩子练习#家长收藏孩子受益 #学霸秘籍 #思维训练 #二年级 #知识点总结.pdf
10.00金币
0下载
二年级数学下册 必背公式大全寒假提前背一背开学更轻松#二年级 #二年级数学 #二年级数学下册 #寒假充电计划 #公式.pdf
10.00金币
0下载
蜗牛文库+ 关注
实名认证
内容提供者

提供各种专业文档内容

确认删除?
QQ
  • QQ点击这里给我发消息
微信客服
  • 微信客服
回到顶部