电脑桌面
添加蜗牛文库到电脑桌面
安装后可以在桌面快捷访问

3.1.2 第一课时 函数的表示法.pptxVIP免费

3.1.2 第一课时 函数的表示法.pptx3.1.2 第一课时 函数的表示法.pptx3.1.2 第一课时 函数的表示法.pptx3.1.2 第一课时 函数的表示法.pptx
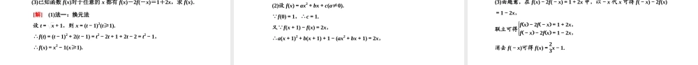
3.1.2函数的表示法明确目标发展素养1.掌握函数的三种表示方法:解析法、图象法、列表法.2.会根据不同的需要选择恰当的方法表示函数.理解函数图象的作用.3.通过具体实例,了解分段函数,并能简单应用.1.通过用图象法表示函数,培养直观想象素养.2.通过求函数解析式及分段函数求值,培养数学运算素养.3.利用分段函数解决实际问题,培养数学建模素养.第一课时函数的表示法(一)教材梳理填空解析法用表示两个变量之间的对应关系列表法列出来表示两个变量之间的对应关系图象法用表示两个变量之间的对应关系数学表达式表格图象[微思考]函数图象既可以是连续的曲线,也可以是直线、折线、离散的点等,那么判断一个图形是不是函数图象的依据是什么?提示:要检验一个图形是否为函数的图象,其方法为:在定义域内任取一个x值作垂直于x轴的直线,若此直线与图形有唯一交点,则图形为函数图象;若无交点或多于1个交点,则不是函数图象.(二)基本知能小试1.判断正误:(1)任何一个函数都可以用列表法表示.()(2)任何一个函数都可以用解析法表示.()(3)函数的图象一定是其定义区间上的一条连续不断的曲线.()答案:(1)×(2)×(3)×2.函数f(x)=3x-1,x[1,5]∈的图象是()A.直线B.射线C.线段D.离散的点解析: f(x)=3x-1为一次函数,图象为一条直线,而x[1,5]∈,则此时图象为线段.故选C.答案:C3.y与x成反比,且当x=2时,y=1,则y关于x的函数关系式为()A.y=1xB.y=-1xC.y=2xD.y=-2x答案:C4.已知函数f(x)的图象如图所示,其中点A,B的坐标分别为(0,3),(3,0),则f(f(0))=________.答案:0解析:结合题图可得f(0)=3,则f(f(0))=f(3)=0.5.已知下面表格表示的是函数w=g(u),则g(-1)=________,g(0)=________,g(2)=________.判断2________(填“是”或“不是”)这个函数值域中的元素.u-2-1012w34567答案:457不是题型一函数表示法【学透用活】[典例1]某商场新进了10台彩电,每台售价3000元,试求售出台数x(x为正整数)与收款数y之间的函数关系,分别用列表法、图象法、解析法表示出来.[解](1)列表法:x/台12345678910y/元30006000900012000150001800021000240002700030000(2)图象法:如图所示.(3)解析法:y=3000x,x∈{1,2,3,…,10}.[方法技巧]函数的三种表示法的选择和应用的注意点解析法、图象法和列表法分别从三个不同的角度刻画了自变量与函数值的对应关系.采用解析法的前提是变量间的对应关系明确,采用图象法的前...

1、当您付费下载文档后,您只拥有了使用权限,并不意味着购买了版权,文档只能用于自身使用,不得用于其他商业用途(如 [转卖]进行直接盈利或[编辑后售卖]进行间接盈利)。
2、本站所有内容均由合作方或网友上传,本站不对文档的完整性、权威性及其观点立场正确性做任何保证或承诺!文档内容仅供研究参考,付费前请自行鉴别。
3、如文档内容存在违规,或者侵犯商业秘密、侵犯著作权等,请点击“违规举报”。

碎片内容

蜗牛文库的最新文档

二年级数学下册其中检测卷二年级数学下册其中检测卷附答案#期中测试卷.pdf
10.00金币
0下载
二年级数学下册期末质检卷(苏教版)二年级数学下册期末质检卷(苏教版)#期末复习 #期末测试卷 #二年级数学 #二年级数学下册#关注我持续更新小学知识.pdf
10.00金币
0下载
二年级数学下册期末混合运算专项练习二年级数学下册期末混合运算专项练习#二年级#二年级数学下册#关注我持续更新小学知识 #知识分享 #家长收藏孩子受益.pdf
10.00金币
1下载
二年级数学下册年月日三类周期问题解题方法二年级数学下册年月日三类周期问题解题方法#二年级#二年级数学下册#知识分享 #关注我持续更新小学知识 #家长收藏孩子受益.pdf
10.00金币
0下载
二年级数学下册解决问题专项训练二年级数学下册解决问题专项训练#专项训练#解决问题#二年级#二年级数学下册#知识分享.pdf
10.00金币
1下载
二年级数学下册还原问题二年级数学下册还原问题#二年级#二年级数学#关注我持续更新小学知识 #知识分享 #家长收藏孩子受益.pdf
10.00金币
1下载
二年级数学下册第六单元考试卷家长打印出来给孩子测试测试争取拿到高分!#小学二年级试卷分享 #二年级第六单考试数学 #第六单考试#二年级数学下册.pdf
10.00金币
0下载
二年级数学下册必背顺口溜口诀汇总二年级数学下册必背顺口溜口诀汇总#二年级#二年级数学下册 #知识分享 #家长收藏孩子受益 #关注我持续更新小学知识.pdf
10.00金币
0下载
二年级数学下册《重点难点思维题》两大问题解决技巧和方法巧算星期几解决周期问题还原问题强化思维训练老师精心整理家长可以打印出来给孩子练习#家长收藏孩子受益 #学霸秘籍 #思维训练 #二年级 #知识点总结.pdf
10.00金币
0下载
二年级数学下册 必背公式大全寒假提前背一背开学更轻松#二年级 #二年级数学 #二年级数学下册 #寒假充电计划 #公式.pdf
10.00金币
0下载
蜗牛文库+ 关注
实名认证
内容提供者

提供各种专业文档内容

确认删除?
QQ
  • QQ点击这里给我发消息
微信客服
  • 微信客服
回到顶部