电脑桌面
添加蜗牛文库到电脑桌面
安装后可以在桌面快捷访问

zyzsy_jc_qyw_jy0301.docVIP免费

zyzsy_jc_qyw_jy0301.doc_第1页
zyzsy_jc_qyw_jy0301.doc_第2页
zyzsy_jc_qyw_jy0301.doc_第3页
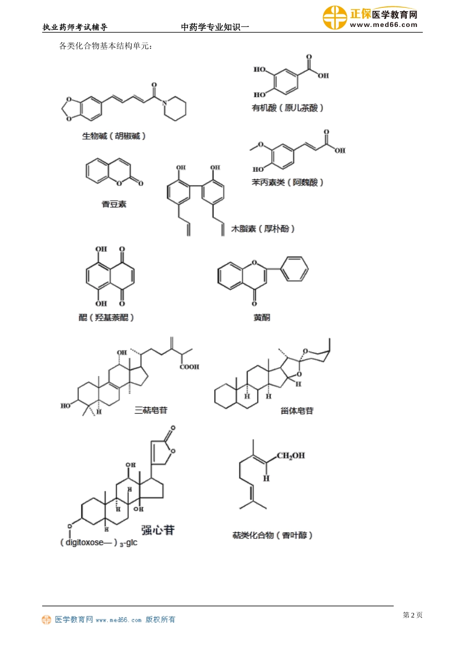
执业药师考试辅导中药学专业知识一第三章中药化学成分与药效物质基础第一节绪论中药化学研究什么?大纲要求:小单元细目要点(一)中药化学成分的分类与性质1.结构类型与理化性质(1)结构类型(2)理化性质与作用2.提取分离与结构鉴定(1)提取分离方法(2)结构鉴定方法3.化学成分与质量标准、药效物质基础(1)化学成分与药效物质基础(2)化学成分在质量控制中的作用一、中药化学成分的结构类型中药化学成分源于天然产物,结构复杂,化合物数量巨大。考试主要关注由二次代谢所产生的各类中药化学成分。各类化合物分值分布2015年2016年2017年2018年2015年2016年2017年2018年生物碱9795萜类与挥发油类3232糖与苷类1212皂苷类5442醌类5143强心苷类1113苯丙素类1352动物药1010黄酮类1642其他成分0113第1页执业药师考试辅导中药学专业知识一各类化合物基本结构单元:第2页执业药师考试辅导中药学专业知识一第3页执业药师考试辅导中药学专业知识一医学类更新QQ群:567024647购买各类资料咨询QQ:422561900二、中药化学成分的理化性质中药化学成分的理化性质研究包括:性状、挥发性、旋光性、水中溶解性、有机溶剂中溶解性、酸性、碱性、荧光性质、发泡性、溶血性、显色反应、沉淀反应、水解反应、酶解反应、氧化还原反应等。三、中药化学常用提取方法注意:提取方法中的超声、超临界流体萃取法属于溶剂法。但是因为比较特殊,单独列出。1.溶剂法(1)常见溶剂分类(了解)(2)常见溶剂极性顺序(了解)水>甲醇>乙醇>丙酮>正丁醇>乙酸乙酯>乙醚>氯仿>苯>四氯化碳>石油醚“水醇性大,氯苯醚小”(3)常用溶剂提取法1)浸渍法定义:在常温或温热(60℃~80℃)条件下用适当的溶剂浸渍药材以溶出其中有效成分的方法。第4页执业药师考试辅导中药学专业知识一2)渗漉法定义:不断向粉碎的中药材中添加新鲜浸出溶剂,使其渗过药材,从渗漉筒下端出口流出浸出液的一种方法。3)煎煮法定义:中药材加入水浸泡后加热煮沸,将有效成分提取出来的方法。4)回流法定义:用易挥发的有机溶剂加热回流提取中药成分的方法。5)连续回流法定义:采用索氏提取器进行回流。第5页执业药师考试辅导中药学专业知识一回流法与连续回流法不同溶剂提取法要点总结提取方法优点缺点浸渍法(1)不加热,适用于提取对热不稳定成分;(2)适用于提取含大量淀粉、树胶、果胶、黏液质的中药。(1)提取率低;(2)提取时间长;(3)以水为提取溶剂时,提取液容易发霉。渗漉...

1、当您付费下载文档后,您只拥有了使用权限,并不意味着购买了版权,文档只能用于自身使用,不得用于其他商业用途(如 [转卖]进行直接盈利或[编辑后售卖]进行间接盈利)。
2、本站所有内容均由合作方或网友上传,本站不对文档的完整性、权威性及其观点立场正确性做任何保证或承诺!文档内容仅供研究参考,付费前请自行鉴别。
3、如文档内容存在违规,或者侵犯商业秘密、侵犯著作权等,请点击“违规举报”。

碎片内容

蜗牛文库的最新文档

二年级数学下册其中检测卷二年级数学下册其中检测卷附答案#期中测试卷.pdf
10.00金币
0下载
二年级数学下册期末质检卷(苏教版)二年级数学下册期末质检卷(苏教版)#期末复习 #期末测试卷 #二年级数学 #二年级数学下册#关注我持续更新小学知识.pdf
10.00金币
0下载
二年级数学下册期末混合运算专项练习二年级数学下册期末混合运算专项练习#二年级#二年级数学下册#关注我持续更新小学知识 #知识分享 #家长收藏孩子受益.pdf
10.00金币
1下载
二年级数学下册年月日三类周期问题解题方法二年级数学下册年月日三类周期问题解题方法#二年级#二年级数学下册#知识分享 #关注我持续更新小学知识 #家长收藏孩子受益.pdf
10.00金币
0下载
二年级数学下册解决问题专项训练二年级数学下册解决问题专项训练#专项训练#解决问题#二年级#二年级数学下册#知识分享.pdf
10.00金币
1下载
二年级数学下册还原问题二年级数学下册还原问题#二年级#二年级数学#关注我持续更新小学知识 #知识分享 #家长收藏孩子受益.pdf
10.00金币
1下载
二年级数学下册第六单元考试卷家长打印出来给孩子测试测试争取拿到高分!#小学二年级试卷分享 #二年级第六单考试数学 #第六单考试#二年级数学下册.pdf
10.00金币
0下载
二年级数学下册必背顺口溜口诀汇总二年级数学下册必背顺口溜口诀汇总#二年级#二年级数学下册 #知识分享 #家长收藏孩子受益 #关注我持续更新小学知识.pdf
10.00金币
0下载
二年级数学下册《重点难点思维题》两大问题解决技巧和方法巧算星期几解决周期问题还原问题强化思维训练老师精心整理家长可以打印出来给孩子练习#家长收藏孩子受益 #学霸秘籍 #思维训练 #二年级 #知识点总结.pdf
10.00金币
0下载
二年级数学下册 必背公式大全寒假提前背一背开学更轻松#二年级 #二年级数学 #二年级数学下册 #寒假充电计划 #公式.pdf
10.00金币
0下载
蜗牛文库+ 关注
实名认证
内容提供者

提供各种专业文档内容

确认删除?
QQ
  • QQ点击这里给我发消息
微信客服
  • 微信客服
回到顶部