电脑桌面
添加蜗牛文库到电脑桌面
安装后可以在桌面快捷访问

高等传热学知识点(导热部分).pdfVIP免费

高等传热学知识点(导热部分).pdf_第1页
高等传热学知识点(导热部分).pdf_第2页
高等传热学知识点(导热部分).pdf_第3页
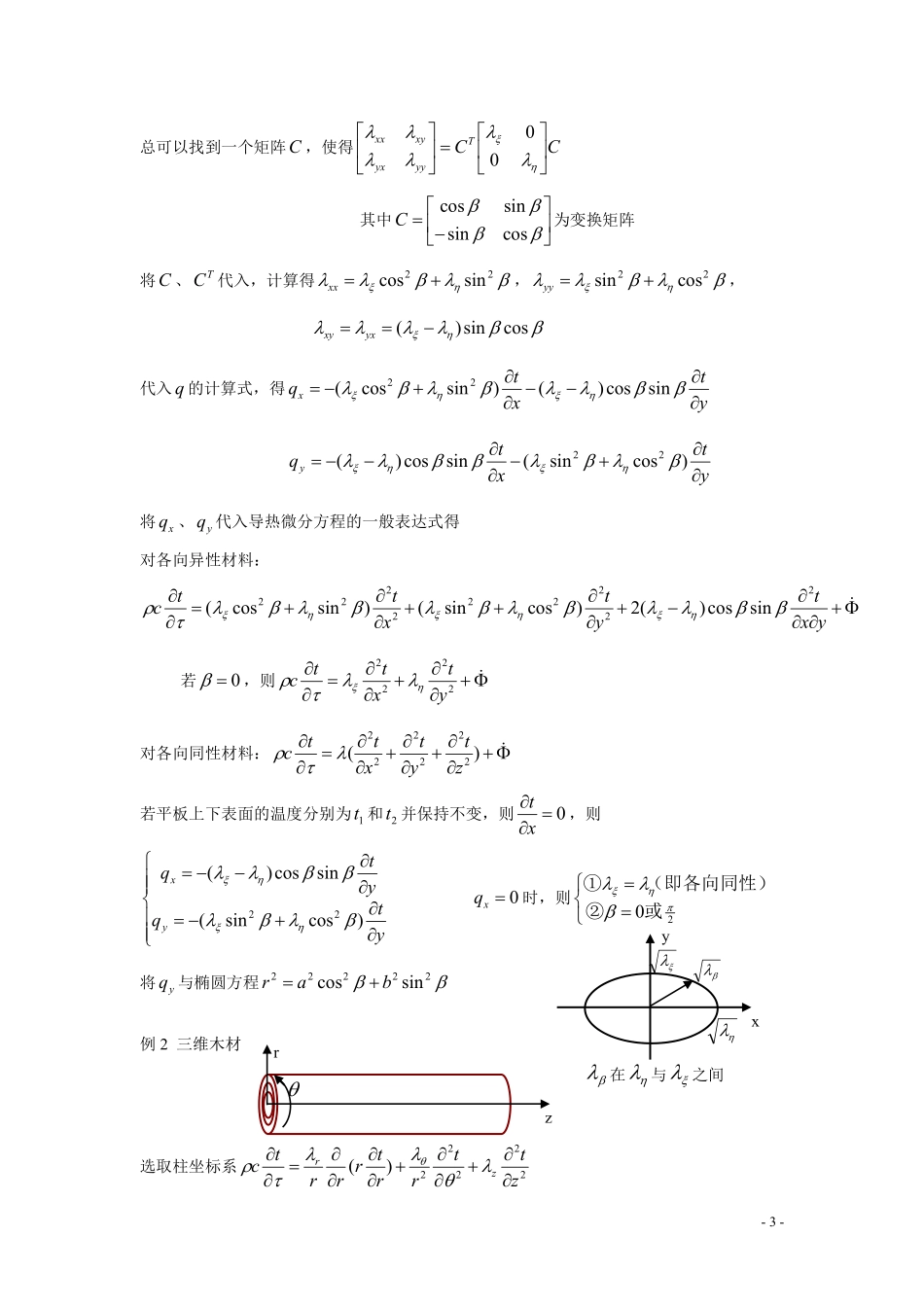
-1-第一章热传导理论基础本章基本为公式推导目的:确定固体的温度分布【除了固体,本章内容也适用于静止的流体】工程上研究导热的目的不是只为了求出温度分布,而是求出物体的热变形,热应力及导热量。温度分布是研究这些问题的基础。热传导:依靠微观粒子的热运动进行热量的传导【微观粒子包括原子、晶格等微粒】导热公式:①傅里叶定律ntq②导热微分方程式【对于常物性】cztytxtat)(222222其中ca第一节热流密度【傅里叶定律】1、),(),(rtrq性质:①温度梯度与热流密度共线,方向相反,且热流密度方向与等温线垂直;②若已知温度场,便可由傅里叶定律求出热流密度q(唯一被确定)【正问题】若已知热流密度q,求温度场的分布(很困难,不易求出)【反问题】直角坐标系中:kztjytixtzyxq),,,(x方向分量:xtqxy方向分量:ytqxz方向分量:ztqx合格的保温材料(1992年GB规定):满足C350以下时)/(12.0kmw。一般情况下:导热性气体液体金属工程中(导热性最好)铜400~,40~钢,6.0~水,02.0~空气2、各项异性材料热流密度导热系数温度梯度适用于:均匀连续介质中的t、/稳态及非稳态,有或无内热源均可/常物性或物性随着温度t变化/各向同性材料ntq若nt一样,则热流密度取决于导热系数-2-导热系数ztytxtqztytxtqztytxtqzzzyzxzyzyyyxyxzxyxxx对比tq,令zxzxzxyxyxyxxzxyxx][导热系数分量在不同坐标系中的变换新旧坐标间的关系zzzzyyzxxxyzzyyyyxxyxzzxyyxxxx,'cos','cos','cos','cos','cos','cos','cos','cos','cos'改写成'CXX,其中zyxX,''''zyxX,zzzyzxyzyyyxxzxyxxC,'cos,'cos,'cos,'cos,'cos,'cos,'cos,'cos,'cos.在新坐标系中'''''''''''''''ztytxtzxzxzxyxyxyxxzxyxxzyxqqq,其中zxzxzxyxyxyxxzxyxx''''''...

1、当您付费下载文档后,您只拥有了使用权限,并不意味着购买了版权,文档只能用于自身使用,不得用于其他商业用途(如 [转卖]进行直接盈利或[编辑后售卖]进行间接盈利)。
2、本站所有内容均由合作方或网友上传,本站不对文档的完整性、权威性及其观点立场正确性做任何保证或承诺!文档内容仅供研究参考,付费前请自行鉴别。
3、如文档内容存在违规,或者侵犯商业秘密、侵犯著作权等,请点击“违规举报”。

碎片内容

蜗牛文库的最新文档

二年级数学下册其中检测卷二年级数学下册其中检测卷附答案#期中测试卷.pdf
10.00金币
0下载
二年级数学下册期末质检卷(苏教版)二年级数学下册期末质检卷(苏教版)#期末复习 #期末测试卷 #二年级数学 #二年级数学下册#关注我持续更新小学知识.pdf
10.00金币
0下载
二年级数学下册期末混合运算专项练习二年级数学下册期末混合运算专项练习#二年级#二年级数学下册#关注我持续更新小学知识 #知识分享 #家长收藏孩子受益.pdf
10.00金币
1下载
二年级数学下册年月日三类周期问题解题方法二年级数学下册年月日三类周期问题解题方法#二年级#二年级数学下册#知识分享 #关注我持续更新小学知识 #家长收藏孩子受益.pdf
10.00金币
0下载
二年级数学下册解决问题专项训练二年级数学下册解决问题专项训练#专项训练#解决问题#二年级#二年级数学下册#知识分享.pdf
10.00金币
1下载
二年级数学下册还原问题二年级数学下册还原问题#二年级#二年级数学#关注我持续更新小学知识 #知识分享 #家长收藏孩子受益.pdf
10.00金币
1下载
二年级数学下册第六单元考试卷家长打印出来给孩子测试测试争取拿到高分!#小学二年级试卷分享 #二年级第六单考试数学 #第六单考试#二年级数学下册.pdf
10.00金币
0下载
二年级数学下册必背顺口溜口诀汇总二年级数学下册必背顺口溜口诀汇总#二年级#二年级数学下册 #知识分享 #家长收藏孩子受益 #关注我持续更新小学知识.pdf
10.00金币
0下载
二年级数学下册《重点难点思维题》两大问题解决技巧和方法巧算星期几解决周期问题还原问题强化思维训练老师精心整理家长可以打印出来给孩子练习#家长收藏孩子受益 #学霸秘籍 #思维训练 #二年级 #知识点总结.pdf
10.00金币
0下载
二年级数学下册 必背公式大全寒假提前背一背开学更轻松#二年级 #二年级数学 #二年级数学下册 #寒假充电计划 #公式.pdf
10.00金币
0下载
蜗牛文库+ 关注
实名认证
内容提供者

提供各种专业文档内容

确认删除?
QQ
  • QQ点击这里给我发消息
微信客服
  • 微信客服
回到顶部