电脑桌面
添加蜗牛文库到电脑桌面
安装后可以在桌面快捷访问

Ch15市场风险-模型构建法.pptVIP免费

Ch15市场风险-模型构建法.pptCh15市场风险-模型构建法.pptCh15市场风险-模型构建法.pptCh15市场风险-模型构建法.pptCh15市场风险-模型构建法.ppt
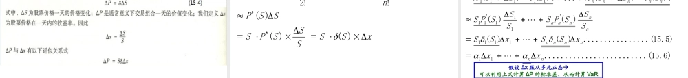
金融风险管理第15章市场风险:模型构建法本章主要内容市场风险度量基本方法(方差协方差方法)两个资产的情形风险分散的收益组合资产的情形相关矩阵和协方差矩阵几何加权移动平均方法(EWMA)主成分分析方法利现金流映射率变化的处理线性模型与期权产品二次模型蒙特卡罗模拟模型构建法与历史模拟法的比较基本方法除历史模拟法外,另一种计算市场风险的方法:对市场变量的联合分布做出一定的假设,并用历史数据估计模型参数。称这种方法为模型构建法或者方差-协方差法。以微软为例子的分析假定我们拥有微软公司$1000万的股份,其每天的波动率是2%(相应的年数据是32%)我们令N=10,X=99,该组合价值每天变化的标准差是$200,000,那么相应的10天的该数据是:我们假定该组合价值变化的期望值是0(这在短期内通常是成立的),并假定其符合正态分布。456,632$10000,200那么因为N(–2.33)=0.01,所以展望期为10天99%置信度下的VaR是以AT&T(美国电信公司)为例子的分析:假定我们拥有该公司$500万的股票,其日波动率是1%(相应的年波动率是16%),那么对于10天该数据是相应的在险价值是:13.1.1两个资产的情形考虑这样一个包含1000万元微软股票和500万AT&T公司的组合,并设定其收益的相关系数是0.3。那么其标准差可以有下式给出:15.4.对利率变量的处理上。到以上列出的标准期限金流都要被映射时,任意一种产品的现在计算年。年及年、年、年、年、月、月、月、场的初始变量。零息债券的价格作为市我们往往将以下期限的是收益率变化量是组合的修正久期,其中债券组合价格变化:VaR30107521631(y)D)(P(y)-DP(y)-y)P(yP**yyyxSSSSSPSSSPSnSPSSPSSPSPSSPSPnn)()(')('....)(!)(...)(!2)()(')()(是该股票的期权价格)(表示某股票的价格,S线性模型与期权产品15.6)(2'')6.15.....(....................)5.15......(..........)()()()()]()([...)]()([])(...)([])(...)([),,(),,()(...)(),(某交易组合总价格:是该股票的期权价格)(种股票的价格,是第S是该股票的期权价格)(种股票价格,1是第S线性模型与期权产品15.6111111'111'11111111111111111111111nnnnnnnnnnnnnnnnnnnnnnnnnnnnxxxSSxSSSSSPSSSSPSSPSSPSPSSPSPSPSSPSSPSSPSSSSPPSPSPSSPSPnSP假设Δx服...

1、当您付费下载文档后,您只拥有了使用权限,并不意味着购买了版权,文档只能用于自身使用,不得用于其他商业用途(如 [转卖]进行直接盈利或[编辑后售卖]进行间接盈利)。
2、本站所有内容均由合作方或网友上传,本站不对文档的完整性、权威性及其观点立场正确性做任何保证或承诺!文档内容仅供研究参考,付费前请自行鉴别。
3、如文档内容存在违规,或者侵犯商业秘密、侵犯著作权等,请点击“违规举报”。

碎片内容

蜗牛文库的最新文档

二年级数学下册其中检测卷二年级数学下册其中检测卷附答案#期中测试卷.pdf
10.00金币
0下载
二年级数学下册期末质检卷(苏教版)二年级数学下册期末质检卷(苏教版)#期末复习 #期末测试卷 #二年级数学 #二年级数学下册#关注我持续更新小学知识.pdf
10.00金币
0下载
二年级数学下册期末混合运算专项练习二年级数学下册期末混合运算专项练习#二年级#二年级数学下册#关注我持续更新小学知识 #知识分享 #家长收藏孩子受益.pdf
10.00金币
1下载
二年级数学下册年月日三类周期问题解题方法二年级数学下册年月日三类周期问题解题方法#二年级#二年级数学下册#知识分享 #关注我持续更新小学知识 #家长收藏孩子受益.pdf
10.00金币
0下载
二年级数学下册解决问题专项训练二年级数学下册解决问题专项训练#专项训练#解决问题#二年级#二年级数学下册#知识分享.pdf
10.00金币
1下载
二年级数学下册还原问题二年级数学下册还原问题#二年级#二年级数学#关注我持续更新小学知识 #知识分享 #家长收藏孩子受益.pdf
10.00金币
1下载
二年级数学下册第六单元考试卷家长打印出来给孩子测试测试争取拿到高分!#小学二年级试卷分享 #二年级第六单考试数学 #第六单考试#二年级数学下册.pdf
10.00金币
0下载
二年级数学下册必背顺口溜口诀汇总二年级数学下册必背顺口溜口诀汇总#二年级#二年级数学下册 #知识分享 #家长收藏孩子受益 #关注我持续更新小学知识.pdf
10.00金币
0下载
二年级数学下册《重点难点思维题》两大问题解决技巧和方法巧算星期几解决周期问题还原问题强化思维训练老师精心整理家长可以打印出来给孩子练习#家长收藏孩子受益 #学霸秘籍 #思维训练 #二年级 #知识点总结.pdf
10.00金币
0下载
二年级数学下册 必背公式大全寒假提前背一背开学更轻松#二年级 #二年级数学 #二年级数学下册 #寒假充电计划 #公式.pdf
10.00金币
0下载
蜗牛文库+ 关注
实名认证
内容提供者

提供各种专业文档内容

确认删除?
QQ
  • QQ点击这里给我发消息
微信客服
  • 微信客服
回到顶部