电脑桌面
添加蜗牛文库到电脑桌面
安装后可以在桌面快捷访问

热学习题课.pptVIP免费

热学习题课.ppt热学习题课.ppt热学习题课.ppt热学习题课.ppt热学习题课.ppt
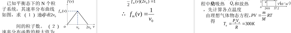
热学习题课一、基本要求1、理解理想气体的压强公式和温度公式,并能从宏观和统计意义上理解压强、温度和内能等概念。2、理解麦克斯韦速率分布定律和分布函数,了解分布曲线的物理意义,理解三种统计速率。3、理解气体分子能量均分定理,理解气体分子内能的计算。4、了解波尔兹曼能量分布律。5、掌握功、热量和内能的概念,理解平衡过程。7、理解循环过程和卡诺循环8、理解热力学第二定律的两种叙述,理解可逆过程和不可逆过程。6、熟练分析、计算理想气体等值过程中功、热量和内能。4、计算简单的熵变。二、基本内容1、理想气体压强公式knvnmp32312nkTp或2、理想气体温度公式kTk233、能量按自由度均分定理)(212TTRiMmERTiERTiE2Mm2理想气体内能任一自由度平均动能kT21(一)气体动理论4、麦克斯韦速率分布(1)分布函数()dNfvNdv(2)分布函数物理意义及分布曲线的物理意义。(3)三种统计速率MRTmkTvMRTmkTvMRTmkTvp3388222(二)热力学1、功、热量、内能2、热力学第一定律及其应用(过程量)PdVW(过程量)12TTmcQ(状态量)12TTCMmTEVm等值过程和的计算EQ,W见附表等温过程等压过程等体过程绝热过程附表:QEWTCMmmP,TCMmmV,VPTCMmmV,TCMmmV,012lnVVRTMm12lnVVRTMm0TCMmmV,TCMmmV,03、热循环4、热力学第二定律的两种表述(1)正循环2111QWQQ卡诺循环121TT(2)逆循环2212QQWQQ卡诺逆循环212TTT克劳修斯“热量不能自动的从低温物体传向高温物体”开尔文“其唯一效果是热全部转变为功的过程是不可能的”5、可逆过程和不可逆过程★6、熵的计算与熵增加原理可逆TdQSS12在孤立系统中0S三、讨论1、某刚性双原子理想气体,温度为T,在平衡状态下,下列各式的意义.(1)kT23kT22(2)kT25(3)RT25(4)—分子的平均平动动能—分子的平均转动动能—分子的平均总动能—一摩尔气体分子的内能—m千克气体的内能5(5)2MRT2、容器中装有理想气体,容器以速率运动,当容器突然停止,则容器温度将升高。v若有两个容器,一个装有He,另一装有H2气,如果它们以相同速率运动,当它们突然停止时,哪一个容器的温度上升较高。讨论:当容器突然停止时,气体分子的定向运动转化为分子无规则热运动,使其内能增加,从而温度升高.设容器中气体质量为M,有∴2122MiMRT2TiR由于,且2HHeHeii...

1、当您付费下载文档后,您只拥有了使用权限,并不意味着购买了版权,文档只能用于自身使用,不得用于其他商业用途(如 [转卖]进行直接盈利或[编辑后售卖]进行间接盈利)。
2、本站所有内容均由合作方或网友上传,本站不对文档的完整性、权威性及其观点立场正确性做任何保证或承诺!文档内容仅供研究参考,付费前请自行鉴别。
3、如文档内容存在违规,或者侵犯商业秘密、侵犯著作权等,请点击“违规举报”。

碎片内容

蜗牛文库的最新文档

二年级数学下册其中检测卷二年级数学下册其中检测卷附答案#期中测试卷.pdf
10.00金币
0下载
二年级数学下册期末质检卷(苏教版)二年级数学下册期末质检卷(苏教版)#期末复习 #期末测试卷 #二年级数学 #二年级数学下册#关注我持续更新小学知识.pdf
10.00金币
0下载
二年级数学下册期末混合运算专项练习二年级数学下册期末混合运算专项练习#二年级#二年级数学下册#关注我持续更新小学知识 #知识分享 #家长收藏孩子受益.pdf
10.00金币
1下载
二年级数学下册年月日三类周期问题解题方法二年级数学下册年月日三类周期问题解题方法#二年级#二年级数学下册#知识分享 #关注我持续更新小学知识 #家长收藏孩子受益.pdf
10.00金币
0下载
二年级数学下册解决问题专项训练二年级数学下册解决问题专项训练#专项训练#解决问题#二年级#二年级数学下册#知识分享.pdf
10.00金币
1下载
二年级数学下册还原问题二年级数学下册还原问题#二年级#二年级数学#关注我持续更新小学知识 #知识分享 #家长收藏孩子受益.pdf
10.00金币
1下载
二年级数学下册第六单元考试卷家长打印出来给孩子测试测试争取拿到高分!#小学二年级试卷分享 #二年级第六单考试数学 #第六单考试#二年级数学下册.pdf
10.00金币
0下载
二年级数学下册必背顺口溜口诀汇总二年级数学下册必背顺口溜口诀汇总#二年级#二年级数学下册 #知识分享 #家长收藏孩子受益 #关注我持续更新小学知识.pdf
10.00金币
0下载
二年级数学下册《重点难点思维题》两大问题解决技巧和方法巧算星期几解决周期问题还原问题强化思维训练老师精心整理家长可以打印出来给孩子练习#家长收藏孩子受益 #学霸秘籍 #思维训练 #二年级 #知识点总结.pdf
10.00金币
0下载
二年级数学下册 必背公式大全寒假提前背一背开学更轻松#二年级 #二年级数学 #二年级数学下册 #寒假充电计划 #公式.pdf
10.00金币
0下载
蜗牛文库+ 关注
实名认证
内容提供者

提供各种专业文档内容

确认删除?
QQ
  • QQ点击这里给我发消息
微信客服
  • 微信客服
回到顶部