电脑桌面
添加蜗牛文库到电脑桌面
安装后可以在桌面快捷访问

二需求分析ppt.pptVIP免费

二需求分析ppt.ppt二需求分析ppt.ppt二需求分析ppt.ppt二需求分析ppt.ppt二需求分析ppt.ppt
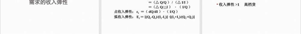
第2章需求分析•第1节需求的价格弹性•第2节需求的收入弹性•第3节需求的交叉弹性1第1节需求的价格弹性2价格弹性的计算需求的价格弹性反映需求量对价格变动的反应程度•点价格弹性:%/%/QQQPPPPQ需求量变动价格弹性价格变动0limpPQPQPPQPQdd...33图2—14•也可用几何方法求:图2—2=BC/ABPε∣∣5用几何方法比较a、b两点的εp:图2—36•弧价格弹性:即需求曲线上两点之间的平衡弹性图2—41221211212211221()()//2()/()/2pQQQQQQPPQQEPPPPPPQQPP.7[例2—1]•假定某企业的需求曲线方程为:Q=30-5P。求P=2,Q=20处的点价格弹性。解:dQ/dP=-5εP=dQ/dP·P/Q=-5×2/20=-0.5∴在P=2,Q=20处的点价格弹性为0.58[例2—2]假定在某企业的需求曲线上,当P=2时,Q=20;当P=5时,Q=5。求价格从2元到5元之间的弧价格弹性。解:已知Q1=20,Q2=5;P1=2,P2=5;即价格从2元到5元之间的弧价格弹性为1.4。21212121520521.452520PQQPPEPPQQ.+9需求曲线按价格弹性的不同分类图2—510价格弹性与销售收入之间的关系图2—611价格变化弹性需求﹥1单元弹性需求=1非弹性需求﹤1价格上升价格下降销售收入下降销售收入上升销售收入不变销售收入不变销售收入上升销售收入下降Pε∣∣Pε∣∣Pε∣∣表2—11212价格弹性与总收入(TR)、边际收入(MR)、平均收入(AR)之间的关系图2—713AR(P)、MR和之间的关系可用公式表示为:MR=P(1-1/)Pε∣∣Pε14影响价格弹性的因素1.是必需品,还是奢侈品2.可替代物品的多少3.购买商品的支出,占个人收入的比率4.时间因素15价格弹性应用举例1.用于对价格和销售量的分析与估计[例2—3]某国为了鼓励本国石油工业的发展,于2013年采取措施限制石油进口,估计这些措施将使可得到的石油数量减少20%,如果石油的需求价格弹性在0.8~1.4之间,问第二年该国石油价格预期会上涨多少?16解:需求的价格弹性=需求量变动%/价格变动%∴价格变动%=需求量变动%/需求的价格弹性当价格弹性为0.8时,价格变动%=20%/0.8=25%当价格弹性为1.4时,价格变动%=20%/1.4=14.3%所以,预期第二年该国石油价格上涨幅度在14.3%~25%之间。17例2—4某企业某产品的价格弹性在1.5~2.0之间,如果明年把价格降低10%,问销售量预期会增加多少?解:需求量变动%=价格变动%×价格弹性如价格弹性为1.5时,需求量变动%=10%×1.5=15%如价格弹性为2.0时,需求量变动%=10%×2.0=20%所以...

1、当您付费下载文档后,您只拥有了使用权限,并不意味着购买了版权,文档只能用于自身使用,不得用于其他商业用途(如 [转卖]进行直接盈利或[编辑后售卖]进行间接盈利)。
2、本站所有内容均由合作方或网友上传,本站不对文档的完整性、权威性及其观点立场正确性做任何保证或承诺!文档内容仅供研究参考,付费前请自行鉴别。
3、如文档内容存在违规,或者侵犯商业秘密、侵犯著作权等,请点击“违规举报”。

碎片内容

蜗牛文库的最新文档

二年级数学下册其中检测卷二年级数学下册其中检测卷附答案#期中测试卷.pdf
10.00金币
0下载
二年级数学下册期末质检卷(苏教版)二年级数学下册期末质检卷(苏教版)#期末复习 #期末测试卷 #二年级数学 #二年级数学下册#关注我持续更新小学知识.pdf
10.00金币
0下载
二年级数学下册期末混合运算专项练习二年级数学下册期末混合运算专项练习#二年级#二年级数学下册#关注我持续更新小学知识 #知识分享 #家长收藏孩子受益.pdf
10.00金币
1下载
二年级数学下册年月日三类周期问题解题方法二年级数学下册年月日三类周期问题解题方法#二年级#二年级数学下册#知识分享 #关注我持续更新小学知识 #家长收藏孩子受益.pdf
10.00金币
0下载
二年级数学下册解决问题专项训练二年级数学下册解决问题专项训练#专项训练#解决问题#二年级#二年级数学下册#知识分享.pdf
10.00金币
1下载
二年级数学下册还原问题二年级数学下册还原问题#二年级#二年级数学#关注我持续更新小学知识 #知识分享 #家长收藏孩子受益.pdf
10.00金币
1下载
二年级数学下册第六单元考试卷家长打印出来给孩子测试测试争取拿到高分!#小学二年级试卷分享 #二年级第六单考试数学 #第六单考试#二年级数学下册.pdf
10.00金币
0下载
二年级数学下册必背顺口溜口诀汇总二年级数学下册必背顺口溜口诀汇总#二年级#二年级数学下册 #知识分享 #家长收藏孩子受益 #关注我持续更新小学知识.pdf
10.00金币
0下载
二年级数学下册《重点难点思维题》两大问题解决技巧和方法巧算星期几解决周期问题还原问题强化思维训练老师精心整理家长可以打印出来给孩子练习#家长收藏孩子受益 #学霸秘籍 #思维训练 #二年级 #知识点总结.pdf
10.00金币
0下载
二年级数学下册 必背公式大全寒假提前背一背开学更轻松#二年级 #二年级数学 #二年级数学下册 #寒假充电计划 #公式.pdf
10.00金币
0下载
蜗牛文库+ 关注
实名认证
内容提供者

提供各种专业文档内容

确认删除?
QQ
  • QQ点击这里给我发消息
微信客服
  • 微信客服
回到顶部