电脑桌面
添加蜗牛文库到电脑桌面
安装后可以在桌面快捷访问

第一章 6.1 探究ω对y=sin ωx的图象的影响 6.2 探究φ对y=sin(x+φ)的图象的影响 6.3 探究A对y=Asin(ωx+φ)的图象的影响.docxVIP免费

第一章 6.1 探究ω对y=sin ωx的图象的影响 6.2 探究φ对y=sin(x+φ)的图象的影响 6.3 探究A对y=Asin(ωx+φ)的图象的影响.docx_第1页
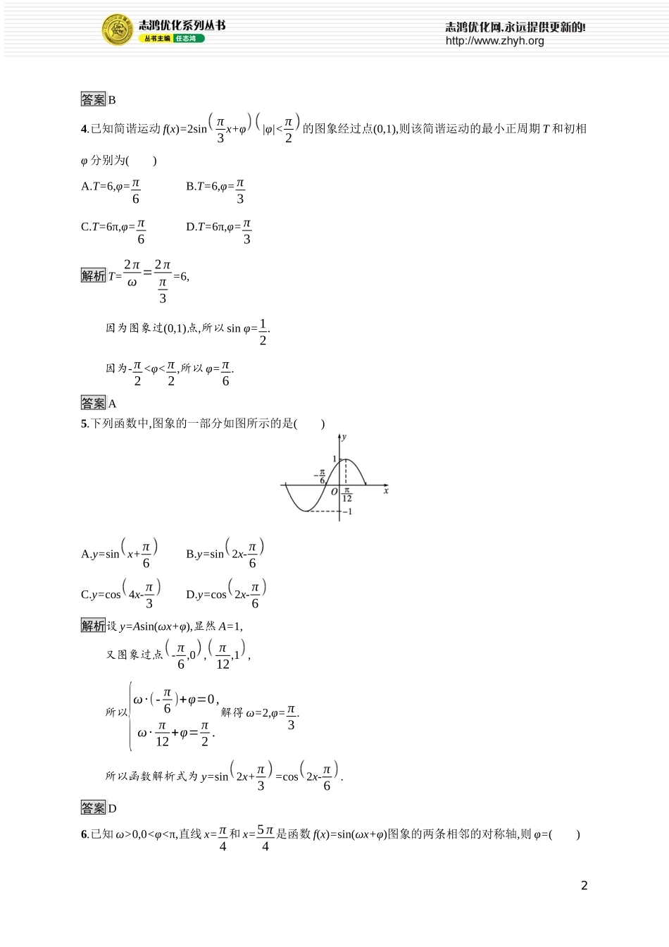
第一章 6.1 探究ω对y=sin ωx的图象的影响 6.2 探究φ对y=sin(x+φ)的图象的影响 6.3 探究A对y=Asin(ωx+φ)的图象的影响.docx_第2页
第一章 6.1 探究ω对y=sin ωx的图象的影响 6.2 探究φ对y=sin(x+φ)的图象的影响 6.3 探究A对y=Asin(ωx+φ)的图象的影响.docx_第3页
1§6函数y=Asin(ωx+φ)的性质与图象6.1探究ω对y=sinωx的图象的影响6.2探究φ对y=sin(x+φ)的图象的影响6.3探究A对y=Asin(ωx+φ)的图象的影响课后篇巩固提升基础达标练1.函数y=2sin(2x+π6)+1的最大值是()A.1B.2C.3D.4解析函数y=2sin(2x+π6)+1的最大值为2+1=3.答案C2.已知函数f(x)=sin(ωx+π3)(ω>0)的最小正周期为π,则f(π6)=()A.-√32B.√32C.12D.-12解析由2πω=π,得ω=2,此时f(x)=sin(2x+π3).所以f(π6)=sin(π3+π3)=√32.答案B3.函数y=3sin(π4-x)的一个单调递减区间为()A.[-π2,π2]B.[-π4,3π4]C.[3π4,7π4]D.[-3π4,π4]解析y=3sin(π4-x)=-3sin(x-π4),当x∈[-π4,3π4]时,x-π4∈[-π2,π2],此时y=sin(x-π4)在区间[-π4,3π4]上单调递增,而y=-3sin(x-π4)在区间[-π4,3π4]上单调递减,即单调递减区间是[-π4,3π4].2答案B4.已知简谐运动f(x)=2sinπ3x+φ|φ|<π2的图象经过点(0,1),则该简谐运动的最小正周期T和初相φ分别为()A.T=6,φ=π6B.T=6,φ=π3C.T=6π,φ=π6D.T=6π,φ=π3解析T=2πω=2ππ3=6,因为图象过(0,1)点,所以sinφ=12.因为-π2<φ<π2,所以φ=π6.答案A5.下列函数中,图象的一部分如图所示的是()A.y=sinx+π6B.y=sin2x-π6C.y=cos4x-π3D.y=cos2x-π6解析设y=Asin(ωx+φ),显然A=1,又图象过点-π6,0,π12,1,所以{ω·(-π6)+φ=0,ω·π12+φ=π2.解得ω=2,φ=π3.所以函数解析式为y=sin2x+π3=cos2x-π6.答案D6.已知ω>0,0<φ<π,直线x=π4和x=5π4是函数f(x)=sin(ωx+φ)图象的两条相邻的对称轴,则φ=()3A.π4B.π3C.π2D.3π4解析由题意可知,函数f(x)的周期T=2×5π4−π4=2π,故ω=1,所以f(x)=sin(x+φ).令x+φ=kπ+π2(k∈Z),将x=π4代入可得φ=kπ+π4(k∈Z).因为0<φ<π,所以φ=π4.答案A7.(多选)关于函数f(x)=4sin2x+π3(x∈R)的说法正确的是()A.y=f(x)的解析式可改写为y=4cos2x-π6B.y=f(x)是以2π为最小正周期的周期函数C.y=f(x)的图象关于点-π6,0对称D.y=f(x)的图象关于直线x=-π6对称解析4sin2x+π3=4cosπ6-2x=4cos2x-π6,A正确;f(x)的最小正周期为T=2πω=2π2=π,B不正确;而C中f-π6=0,-π6,0是对称中心,故C正确;f(x)的对称直线满足2x+π3=π2+kπ,即x=π12+kπ2,k∈Z,将x=-π6代入,k=12∉Z,D不正确.答案AC8.函数y=6sinx4−π6的振幅是,周期是,频率是,初相是,图象最高点的坐标是.解析由题意,得A=6,T=2π14=8π,1T=18π,φ=-π6.当x4−π6=2kπ+π2(k∈Z),即x=8kπ+8π3(k∈Z)时,函数取得最...

1、当您付费下载文档后,您只拥有了使用权限,并不意味着购买了版权,文档只能用于自身使用,不得用于其他商业用途(如 [转卖]进行直接盈利或[编辑后售卖]进行间接盈利)。
2、本站所有内容均由合作方或网友上传,本站不对文档的完整性、权威性及其观点立场正确性做任何保证或承诺!文档内容仅供研究参考,付费前请自行鉴别。
3、如文档内容存在违规,或者侵犯商业秘密、侵犯著作权等,请点击“违规举报”。

碎片内容

蜗牛文库的最新文档

二年级数学下册其中检测卷二年级数学下册其中检测卷附答案#期中测试卷.pdf
10.00金币
0下载
二年级数学下册期末质检卷(苏教版)二年级数学下册期末质检卷(苏教版)#期末复习 #期末测试卷 #二年级数学 #二年级数学下册#关注我持续更新小学知识.pdf
10.00金币
0下载
二年级数学下册期末混合运算专项练习二年级数学下册期末混合运算专项练习#二年级#二年级数学下册#关注我持续更新小学知识 #知识分享 #家长收藏孩子受益.pdf
10.00金币
1下载
二年级数学下册年月日三类周期问题解题方法二年级数学下册年月日三类周期问题解题方法#二年级#二年级数学下册#知识分享 #关注我持续更新小学知识 #家长收藏孩子受益.pdf
10.00金币
0下载
二年级数学下册解决问题专项训练二年级数学下册解决问题专项训练#专项训练#解决问题#二年级#二年级数学下册#知识分享.pdf
10.00金币
1下载
二年级数学下册还原问题二年级数学下册还原问题#二年级#二年级数学#关注我持续更新小学知识 #知识分享 #家长收藏孩子受益.pdf
10.00金币
1下载
二年级数学下册第六单元考试卷家长打印出来给孩子测试测试争取拿到高分!#小学二年级试卷分享 #二年级第六单考试数学 #第六单考试#二年级数学下册.pdf
10.00金币
0下载
二年级数学下册必背顺口溜口诀汇总二年级数学下册必背顺口溜口诀汇总#二年级#二年级数学下册 #知识分享 #家长收藏孩子受益 #关注我持续更新小学知识.pdf
10.00金币
0下载
二年级数学下册《重点难点思维题》两大问题解决技巧和方法巧算星期几解决周期问题还原问题强化思维训练老师精心整理家长可以打印出来给孩子练习#家长收藏孩子受益 #学霸秘籍 #思维训练 #二年级 #知识点总结.pdf
10.00金币
0下载
二年级数学下册 必背公式大全寒假提前背一背开学更轻松#二年级 #二年级数学 #二年级数学下册 #寒假充电计划 #公式.pdf
10.00金币
0下载
蜗牛文库+ 关注
实名认证
内容提供者

提供各种专业文档内容

确认删除?
QQ
  • QQ点击这里给我发消息
微信客服
  • 微信客服
回到顶部