电脑桌面
添加蜗牛文库到电脑桌面
安装后可以在桌面快捷访问

0519高二数学(选修-人教A版)-利用导数研究函数的零点问题-3学习任务单.docxVIP免费

0519高二数学(选修-人教A版)-利用导数研究函数的零点问题-3学习任务单.docx_第1页
0519高二数学(选修-人教A版)-利用导数研究函数的零点问题-3学习任务单.docx_第2页
0519高二数学(选修-人教A版)-利用导数研究函数的零点问题-3学习任务单.docx_第3页
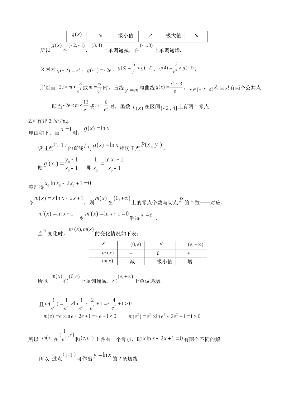
《利用导数研究函数的零点问题》学习任务单【学习目标】1.通过从不同角度分析,理解函数零点问题等价转化的实质,形成有效利用导数解决函数零点问题的方法,并能学以致用解决有关问题.2.体会、对比函数零点问题转化为方程的解的问题与转化为函数图象与轴的公共点问题,体会特殊与一般、转化与化归、分类讨论、数形结合等数学思想方法,提升归纳、类比、抽象和概括的能力.3.在探究和解决问题过程中,提升数学分析的能力,在严谨思维、努力钻研的过程中感受提出问题和解决问题的愉悦,提升数学学科素养.重点:理解函数零点问题的内在逻辑,准确运用导数解决函数的零点问题.难点:理解函数的零点问题与方程的解、曲线的交点三者之间等价转化的实质,构建恰当的函数解决函数零点问题.【课上任务】一、复习回顾:问题1:函数零点的定义是什么?问题2:函数的零点和方程的解有什么关系?问题3:函数零点存在定理是什么?二、问题探究【思考1】已知函数(1)判断函数零点的个数(2)若,判断函数零点的个数(3)若,判断函数零点的个数【思考2】已知函数(1)函数是否存在零点?若存在,有几个?(2)函数在区间内是否存在零点?(3)若函数,判断函数在区间内零点的个数三、典例分析例1:已知函数,,(1)若,求函数在上零点的个数.(2)若,求证:函数在上存在唯一的极大值.(3)证明:曲线总在曲线的上方.(备选例题)例2:已知函数,若函数有三个不同的零点,求的取值范围。变式1:设函数,若函数在上无极值,求的取值范围。变式2:设函数,若过点存在三条直线与曲线相切,求的取值范围.四、课堂小结1.通过两个问题的解决你能概括一下解决函数零点问题有哪些常用的方法吗?2.你能说说函数的零点、方程的解、曲线的交点三者之间是如何转化的吗?它们的本质含义是什么?3.本节课我们解决了什么样的问题?4.解决问题的方法是什么?关键是什么?5.在解决问题过程中,运用了哪些数学的思想和方法?【课后作业】1.设函数,其中.若函数在区间上有两个零点,求的取值范围.2.已知函数.当时,过上一点作的切线,判断:可以作出多少条切线,并说明理由.【课后作业参考答案】1.由,得.所以“在区间上有两个零点”等价于“直线与曲线,有且只有两个公共点”.对函数求导,得.由,解得,.当x变化时,与的变化情况如下表所示:00↘极小值↗极大值↘所以在,上单调递减,在上单调递增.又因为,,,,所以当或时,直线与曲线,有且只有两个公共点.即当或时,函数...

1、当您付费下载文档后,您只拥有了使用权限,并不意味着购买了版权,文档只能用于自身使用,不得用于其他商业用途(如 [转卖]进行直接盈利或[编辑后售卖]进行间接盈利)。
2、本站所有内容均由合作方或网友上传,本站不对文档的完整性、权威性及其观点立场正确性做任何保证或承诺!文档内容仅供研究参考,付费前请自行鉴别。
3、如文档内容存在违规,或者侵犯商业秘密、侵犯著作权等,请点击“违规举报”。

碎片内容

蜗牛文库的最新文档

二年级数学下册其中检测卷二年级数学下册其中检测卷附答案#期中测试卷.pdf
10.00金币
0下载
二年级数学下册期末质检卷(苏教版)二年级数学下册期末质检卷(苏教版)#期末复习 #期末测试卷 #二年级数学 #二年级数学下册#关注我持续更新小学知识.pdf
10.00金币
0下载
二年级数学下册期末混合运算专项练习二年级数学下册期末混合运算专项练习#二年级#二年级数学下册#关注我持续更新小学知识 #知识分享 #家长收藏孩子受益.pdf
10.00金币
1下载
二年级数学下册年月日三类周期问题解题方法二年级数学下册年月日三类周期问题解题方法#二年级#二年级数学下册#知识分享 #关注我持续更新小学知识 #家长收藏孩子受益.pdf
10.00金币
0下载
二年级数学下册解决问题专项训练二年级数学下册解决问题专项训练#专项训练#解决问题#二年级#二年级数学下册#知识分享.pdf
10.00金币
1下载
二年级数学下册还原问题二年级数学下册还原问题#二年级#二年级数学#关注我持续更新小学知识 #知识分享 #家长收藏孩子受益.pdf
10.00金币
1下载
二年级数学下册第六单元考试卷家长打印出来给孩子测试测试争取拿到高分!#小学二年级试卷分享 #二年级第六单考试数学 #第六单考试#二年级数学下册.pdf
10.00金币
0下载
二年级数学下册必背顺口溜口诀汇总二年级数学下册必背顺口溜口诀汇总#二年级#二年级数学下册 #知识分享 #家长收藏孩子受益 #关注我持续更新小学知识.pdf
10.00金币
0下载
二年级数学下册《重点难点思维题》两大问题解决技巧和方法巧算星期几解决周期问题还原问题强化思维训练老师精心整理家长可以打印出来给孩子练习#家长收藏孩子受益 #学霸秘籍 #思维训练 #二年级 #知识点总结.pdf
10.00金币
0下载
二年级数学下册 必背公式大全寒假提前背一背开学更轻松#二年级 #二年级数学 #二年级数学下册 #寒假充电计划 #公式.pdf
10.00金币
0下载
蜗牛文库+ 关注
实名认证
内容提供者

提供各种专业文档内容

确认删除?
QQ
  • QQ点击这里给我发消息
微信客服
  • 微信客服
回到顶部