电脑桌面
添加蜗牛文库到电脑桌面
安装后可以在桌面快捷访问

5.6 函数y=Asin(wx+φ)(教师版).docxVIP免费

5.6 函数y=Asin(wx+φ)(教师版).docx_第1页
5.6 函数y=Asin(wx+φ)(教师版).docx_第2页
5.6 函数y=Asin(wx+φ)(教师版).docx_第3页
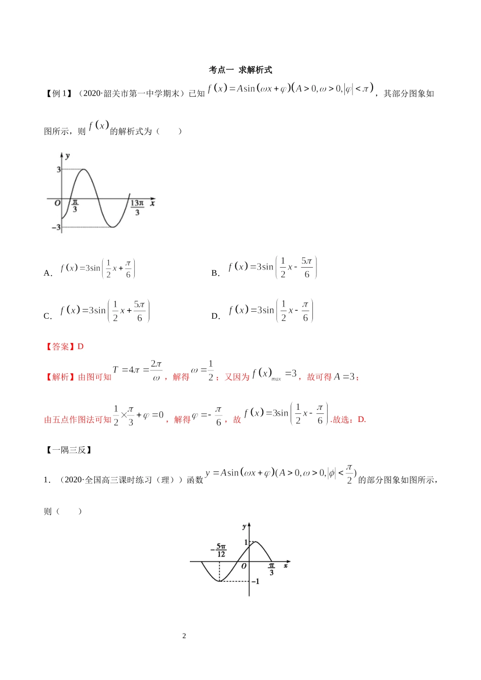
15.6函数思维导图常见考法2考点一求解析式【例1】(2020·韶关市第一中学期末)已知,其部分图象如图所示,则的解析式为()A.B.C.D.【答案】D【解析】由图可知,解得;又因为,故可得;由五点作图法可知,解得,故.故选:D.【一隅三反】1.(2020·全国高三课时练习(理))函数的部分图象如图所示,则()3A.B.C.D.【答案】D【解析】由题中图象知,,,所以,所以.又当时,,所以,所以.当时,=,所以.故选:D.2.(2020·梅河口市博文学校高一期末)函数的图象如图所示,则函数y的表达式是()A.B.C.D.【答案】A4【解析】函数的最大值为,最小值为,,,又函数的周期,,得.可得函数的表达式为,当时,函数有最大值,,得,可得,结合,取得,函数的表达式是.故选:.3.(2019·河南高三月考(理))函数的部分图象如图所示,且,,则函数的一个单调递减区间是()5A.B.C.D.【答案】D【解析】由图知,周期满足,所以,又,所以,则,因为,所以,即,所以,所以.因为,所以由,得,取得.故选:D.考点二伸缩平移【例2】(1)(2020·阜新市第二高级中学高一期末)为了得到函数的图象,可将的图象()A.向右平移个单位B.向右平移个单位C.向左平移个单位D.向左平移个单位(2)(2020·湖南娄星·娄底一中高一期末)将函数的图象向左平移个单位长度后得到曲线,再将上所有点的横坐标伸长到原来的2倍得到曲线,则的解析式为()6A.B.C.D.【答案】(1)A(2)A【解析】(1)由题意得:向右平移个单位即可得到的图象故选:A.(2)将函数的图像向左平移个单位长度后得到曲线,则的解析式为,再将上所有点的横坐标伸长到原来的2倍得到曲线,则的解析式为,故选:A【一隅三反】1.(2020·山东聊城·高一期末)为了得到函数的图象,可作如下变换()A.将y=cosx的图象上所有点向左平移个单位长度,然后将所得图象上所有点的横坐标变为原来的,纵坐标不变而得到B.将y=cosx的图象上所有点向右平移个单位长度,然后将所得图象上所有点的横坐变为原来的2倍,纵坐标不变而得到7C.将y=cosx的图象上所有点的横坐标变为原来的,纵坐标不变,然后将所得图象上所有点向左平移个单位长度而得到D.将y=cosx的图象上所有点的横坐标变为原来的,纵坐标不变,然后将所得图象上所有点向左平移个单位长度而得到【答案】A【解析】为得到的图象,可将的图象上所有点向左平移个单位长度,然后将所得图象上所有点的横坐标变为原来的,纵坐标不变而...

1、当您付费下载文档后,您只拥有了使用权限,并不意味着购买了版权,文档只能用于自身使用,不得用于其他商业用途(如 [转卖]进行直接盈利或[编辑后售卖]进行间接盈利)。
2、本站所有内容均由合作方或网友上传,本站不对文档的完整性、权威性及其观点立场正确性做任何保证或承诺!文档内容仅供研究参考,付费前请自行鉴别。
3、如文档内容存在违规,或者侵犯商业秘密、侵犯著作权等,请点击“违规举报”。

碎片内容

蜗牛文库的最新文档

二年级数学下册其中检测卷二年级数学下册其中检测卷附答案#期中测试卷.pdf
10.00金币
0下载
二年级数学下册期末质检卷(苏教版)二年级数学下册期末质检卷(苏教版)#期末复习 #期末测试卷 #二年级数学 #二年级数学下册#关注我持续更新小学知识.pdf
10.00金币
0下载
二年级数学下册期末混合运算专项练习二年级数学下册期末混合运算专项练习#二年级#二年级数学下册#关注我持续更新小学知识 #知识分享 #家长收藏孩子受益.pdf
10.00金币
1下载
二年级数学下册年月日三类周期问题解题方法二年级数学下册年月日三类周期问题解题方法#二年级#二年级数学下册#知识分享 #关注我持续更新小学知识 #家长收藏孩子受益.pdf
10.00金币
0下载
二年级数学下册解决问题专项训练二年级数学下册解决问题专项训练#专项训练#解决问题#二年级#二年级数学下册#知识分享.pdf
10.00金币
1下载
二年级数学下册还原问题二年级数学下册还原问题#二年级#二年级数学#关注我持续更新小学知识 #知识分享 #家长收藏孩子受益.pdf
10.00金币
1下载
二年级数学下册第六单元考试卷家长打印出来给孩子测试测试争取拿到高分!#小学二年级试卷分享 #二年级第六单考试数学 #第六单考试#二年级数学下册.pdf
10.00金币
0下载
二年级数学下册必背顺口溜口诀汇总二年级数学下册必背顺口溜口诀汇总#二年级#二年级数学下册 #知识分享 #家长收藏孩子受益 #关注我持续更新小学知识.pdf
10.00金币
0下载
二年级数学下册《重点难点思维题》两大问题解决技巧和方法巧算星期几解决周期问题还原问题强化思维训练老师精心整理家长可以打印出来给孩子练习#家长收藏孩子受益 #学霸秘籍 #思维训练 #二年级 #知识点总结.pdf
10.00金币
0下载
二年级数学下册 必背公式大全寒假提前背一背开学更轻松#二年级 #二年级数学 #二年级数学下册 #寒假充电计划 #公式.pdf
10.00金币
0下载
蜗牛文库+ 关注
实名认证
内容提供者

提供各种专业文档内容

确认删除?
QQ
  • QQ点击这里给我发消息
微信客服
  • 微信客服
回到顶部