电脑桌面
添加蜗牛文库到电脑桌面
安装后可以在桌面快捷访问

2013级导师双选结果.xlsVIP免费

2013级导师双选结果.xls_第1页
2013级导师双选结果.xls_第2页
2013级导师双选结果.xls_第3页
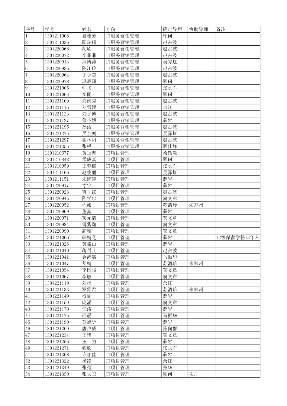
序号学号姓名方向确定导师协助导师备注11301211008夏桂芳顾问21301211036阳瑞琦赵占波31301220068胡欣赵占波41301220072李菲菲赵占波51301220913拜博涛吴霁虹61301220936陈江玲赵占波71301220964丁少慧赵占波81301220978冯辰翔顾问91301221005韩飞张永军101301221063李丽顾问111301221109刘娟秀赵占波121301221116刘雪媛余江131301221123刘子博赵占波141301221127鲁小娇薛岩151301221195孙洁赵占波161301221275吴金庭吴霁虹171301221297谢林阳赵占波181301221355张根顾佳峰191301210677黄玉海桑钧晟201301210848孟成真顾问211301210959王梦楠张永军221301211106赵俊丽吴霁虹231301211151朱婉婷薛岩241301220917才宇薛岩251301220923曹丁红赵占波261301220945陈学忠窦文章271301220952程彧苏渭珍朱郑州281301220969董鑫薛岩291301220971窦元清窦文章301301220984傅紫翔窦文章311301220990高雅窦文章321301221006韩婧芝薛岩331301221026黄盛山薛岩341301221040蒋哲凡赵占波351301221041金鸿浩马振华361301221047黎婧苏渭珍朱郑州371301221054李国强窦文章381301221067李敏窦文章391301221119刘杨余江401301221133罗雅君苏渭珍朱郑州411301221149梅愉薛岩421301221159庞涵窦文章431301221170任涛薛岩441301221175邵晨马振华451301221190苏旭昕薛岩461301221209唐声威陈向群471301221234王瑨窦文章481301221256王一力薛岩491301221271魏欣张永军511301221308许加佳薛岩521301221322杨凌余江531301221349张弛张华541301221350张大卫顾问宋丹IT服务营销管理IT服务营销管理IT服务营销管理IT服务营销管理IT服务营销管理IT服务营销管理IT服务营销管理IT服务营销管理IT服务营销管理IT服务营销管理IT服务营销管理IT服务营销管理IT服务营销管理IT服务营销管理IT服务营销管理IT服务营销管理IT服务营销管理IT服务营销管理IT项目管理IT项目管理IT项目管理IT项目管理IT项目管理IT项目管理IT项目管理IT项目管理IT项目管理IT项目管理IT项目管理IT项目管理IT项目管理IT项目管理12级保留学籍13年入学IT项目管理IT项目管理IT项目管理IT项目管理IT项目管理IT项目管理IT项目管理IT项目管理IT项目管理IT项目管理IT项目管理IT项目管理IT项目管理IT项目管理IT项目管理IT项目管理IT项目管理IT项目管理IT项目管理IT项目管理IT项目管理561301221360张晋熙张永军571301221367张蒙窦文章581301221371张茜姜家齐宋丹591301221375张思齐赵占波601301221383张晓腾赵占波611301221391张...

1、当您付费下载文档后,您只拥有了使用权限,并不意味着购买了版权,文档只能用于自身使用,不得用于其他商业用途(如 [转卖]进行直接盈利或[编辑后售卖]进行间接盈利)。
2、本站所有内容均由合作方或网友上传,本站不对文档的完整性、权威性及其观点立场正确性做任何保证或承诺!文档内容仅供研究参考,付费前请自行鉴别。
3、如文档内容存在违规,或者侵犯商业秘密、侵犯著作权等,请点击“违规举报”。

碎片内容

蜗牛文库的最新文档

二年级数学下册其中检测卷二年级数学下册其中检测卷附答案#期中测试卷.pdf
10.00金币
0下载
二年级数学下册期末质检卷(苏教版)二年级数学下册期末质检卷(苏教版)#期末复习 #期末测试卷 #二年级数学 #二年级数学下册#关注我持续更新小学知识.pdf
10.00金币
0下载
二年级数学下册期末混合运算专项练习二年级数学下册期末混合运算专项练习#二年级#二年级数学下册#关注我持续更新小学知识 #知识分享 #家长收藏孩子受益.pdf
10.00金币
1下载
二年级数学下册年月日三类周期问题解题方法二年级数学下册年月日三类周期问题解题方法#二年级#二年级数学下册#知识分享 #关注我持续更新小学知识 #家长收藏孩子受益.pdf
10.00金币
0下载
二年级数学下册解决问题专项训练二年级数学下册解决问题专项训练#专项训练#解决问题#二年级#二年级数学下册#知识分享.pdf
10.00金币
1下载
二年级数学下册还原问题二年级数学下册还原问题#二年级#二年级数学#关注我持续更新小学知识 #知识分享 #家长收藏孩子受益.pdf
10.00金币
1下载
二年级数学下册第六单元考试卷家长打印出来给孩子测试测试争取拿到高分!#小学二年级试卷分享 #二年级第六单考试数学 #第六单考试#二年级数学下册.pdf
10.00金币
0下载
二年级数学下册必背顺口溜口诀汇总二年级数学下册必背顺口溜口诀汇总#二年级#二年级数学下册 #知识分享 #家长收藏孩子受益 #关注我持续更新小学知识.pdf
10.00金币
0下载
二年级数学下册《重点难点思维题》两大问题解决技巧和方法巧算星期几解决周期问题还原问题强化思维训练老师精心整理家长可以打印出来给孩子练习#家长收藏孩子受益 #学霸秘籍 #思维训练 #二年级 #知识点总结.pdf
10.00金币
0下载
二年级数学下册 必背公式大全寒假提前背一背开学更轻松#二年级 #二年级数学 #二年级数学下册 #寒假充电计划 #公式.pdf
10.00金币
0下载
蜗牛文库+ 关注
实名认证
内容提供者

提供各种专业文档内容

确认删除?
QQ
  • QQ点击这里给我发消息
微信客服
  • 微信客服
回到顶部