电脑桌面
添加蜗牛文库到电脑桌面
安装后可以在桌面快捷访问

爱启航测试卷-积分模块【公众号:研料库料最全】.pdfVIP免费

爱启航测试卷-积分模块【公众号:研料库料最全】.pdf_第1页
爱启航测试卷-积分模块【公众号:研料库料最全】.pdf_第2页
爱启航测试卷-积分模块【公众号:研料库料最全】.pdf_第3页
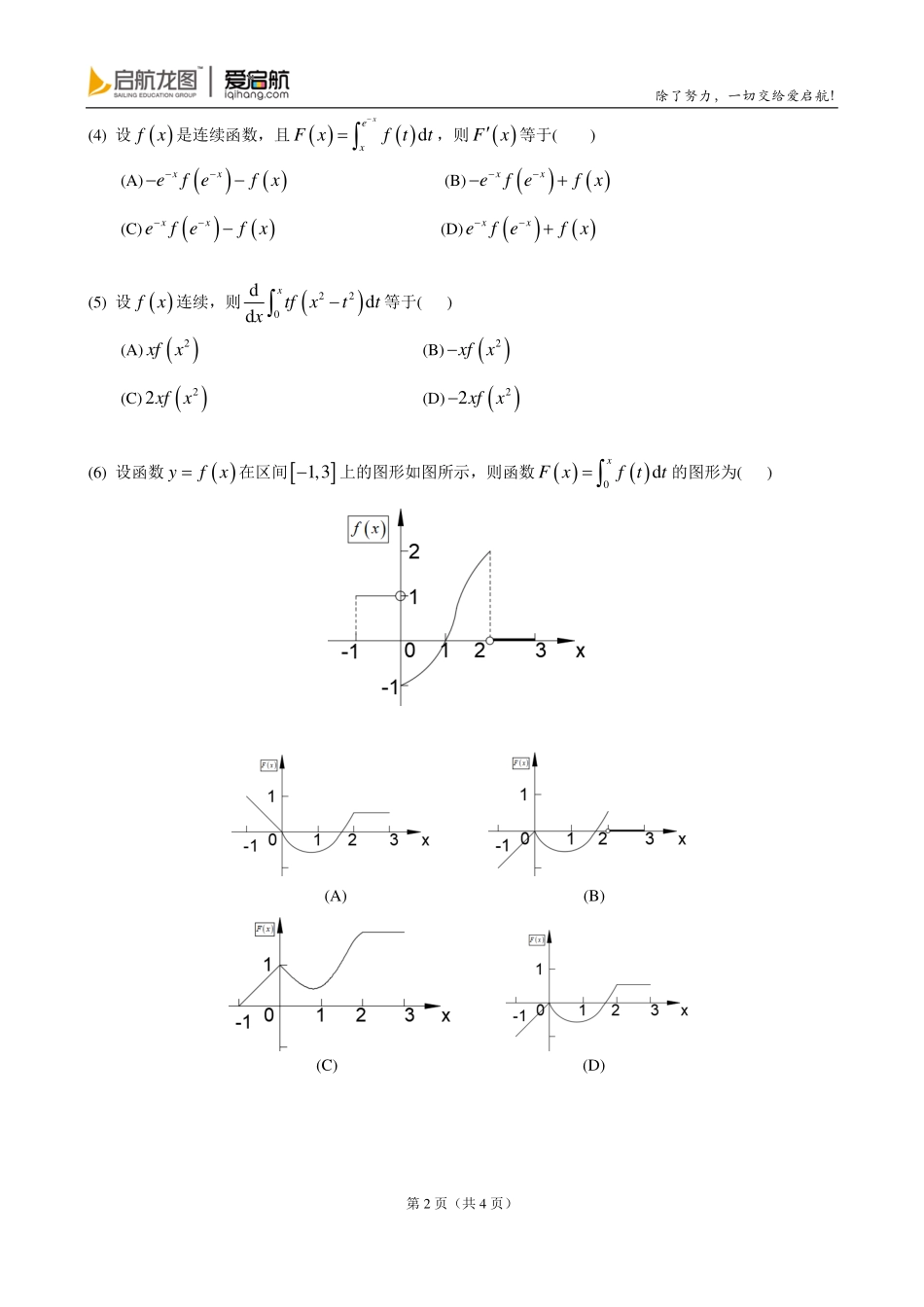
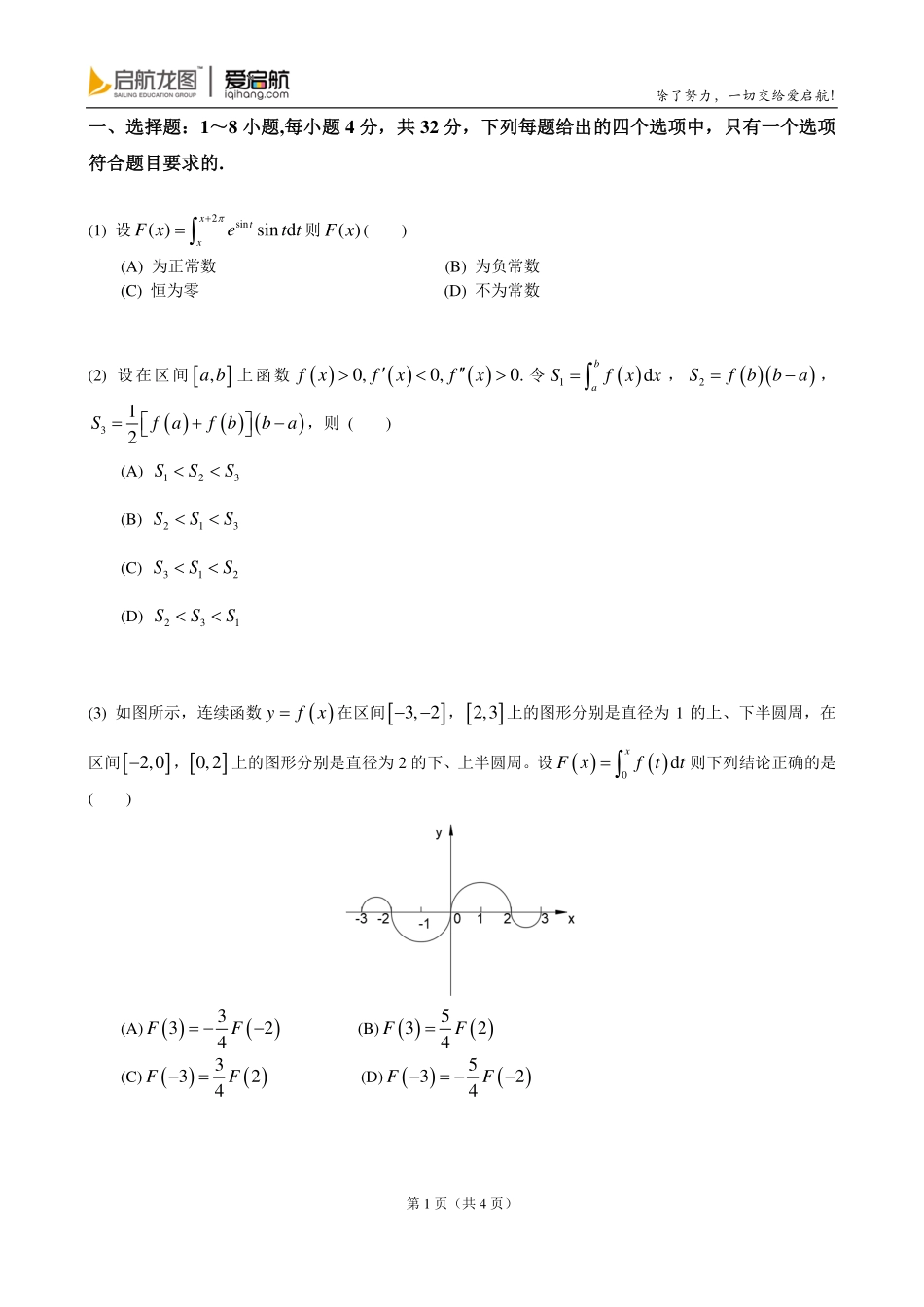
爱启航考研数学专题测试卷积分模块学员使用说明1.本测试卷严格按照考研的题量和难度编写,建议学员用完整的3个小时时间做模拟,训练考试感觉,直到走上考场;2.所有的答案请填写在对应的答题纸上,使用黑色字迹签字笔书写,字迹工整、笔迹清楚,旨在训练在方框内书写答案的能力;3.所有测试卷都会配发简明答案,供学员对照参考,并配课程视频讲解;4.每张测试卷都是按照章节模块出题,后期可以作为测试每章节水平的参考资料,如果前期觉得难度较大,可以放在后期做知识回顾使用。爱启航数学团队出品除了努力,一切交给爱启航!第1页(共4页)一、选择题:1~8小题,每小题4分,共32分,下列每题给出的四个选项中,只有一个选项符合题目要求的.(1)设2sin()sindxtxFxettπ+=∫则()Fx()(A)为正常数(B)为负常数(C)恒为零(D)不为常数(2)设在区间[],ab上函数()()()0,0,0.fxfxfx′′′><>令()1dbaSfxx=∫,()()2Sfbba=−,()()()312Sfafbba=+−,则()(A)123SSS<<(B)213SSS<<(C)312SSS<<(D)231SSS<<(3)如图所示,连续函数()yfx=在区间[]3,2−−,[]2,3上的图形分别是直径为1的上、下半圆周,在区间[]2,0−,[]0,2上的图形分别是直径为2的下、上半圆周。设()()0dxFxftt=∫则下列结论正确的是()(A)()()3324FF=−−(B)()()5324FF=(C)()()3324FF−=(D)()()5324FF−=−−除了努力,一切交给爱启航!第2页(共4页)(4)设()fx是连续函数,且()()dxexFxftt−=∫,则()Fx′等于()(A)()()xxefefx−−−−(B)()()xxefefx−−−+(C)()()xxefefx−−−(D)()()xxefefx−−+(5)设()fx连续,则()220dddxtfxttx−∫等于()(A)()2xfx(B)()2xfx−(C)()22xfx(D)()22xfx−(6)设函数()yfx=在区间[]1,3−上的图形如图所示,则函数()()0dxFxftt=∫的图形为()(A)(B)(C)(D)除了努力,一切交给爱启航!第3页(共4页)(7)设()fx为已知连续函数,()0dstItftxx=∫,其中0,0st>>,则I的值()(A)依赖于s和t(B)依赖于,,stx(C)依赖于t和x,不依赖于s(D)依赖于s,不依赖于t(8)设4222sincosd1xMxxxππ−=+∫,()3422sincosdNxxxππ−=+∫,()23422=sincosdPxxxxππ−−∫则有()(A)NPM<<(B)MPN<<(C)NMP<<(D)PMN<<二、填空题:9~14小题,每小题4分,共24分.(9)设()fx是连续函数,且()()102dfxxftt=+∫,则()fx=______.(10)已知()xxfexe−′=,且()10f=,则()fx=.(11)12311dxexx∫=.(12)202dcosddxxttx∫=.(13)设()fx是连续函数,且()310dxfttx−=∫,则()7f=.(14)由曲线lnyx=与两直...

1、当您付费下载文档后,您只拥有了使用权限,并不意味着购买了版权,文档只能用于自身使用,不得用于其他商业用途(如 [转卖]进行直接盈利或[编辑后售卖]进行间接盈利)。
2、本站所有内容均由合作方或网友上传,本站不对文档的完整性、权威性及其观点立场正确性做任何保证或承诺!文档内容仅供研究参考,付费前请自行鉴别。
3、如文档内容存在违规,或者侵犯商业秘密、侵犯著作权等,请点击“违规举报”。

碎片内容

蜗牛文库的最新文档

二年级数学下册其中检测卷二年级数学下册其中检测卷附答案#期中测试卷.pdf
10.00金币
0下载
二年级数学下册期末质检卷(苏教版)二年级数学下册期末质检卷(苏教版)#期末复习 #期末测试卷 #二年级数学 #二年级数学下册#关注我持续更新小学知识.pdf
10.00金币
0下载
二年级数学下册期末混合运算专项练习二年级数学下册期末混合运算专项练习#二年级#二年级数学下册#关注我持续更新小学知识 #知识分享 #家长收藏孩子受益.pdf
10.00金币
1下载
二年级数学下册年月日三类周期问题解题方法二年级数学下册年月日三类周期问题解题方法#二年级#二年级数学下册#知识分享 #关注我持续更新小学知识 #家长收藏孩子受益.pdf
10.00金币
0下载
二年级数学下册解决问题专项训练二年级数学下册解决问题专项训练#专项训练#解决问题#二年级#二年级数学下册#知识分享.pdf
10.00金币
1下载
二年级数学下册还原问题二年级数学下册还原问题#二年级#二年级数学#关注我持续更新小学知识 #知识分享 #家长收藏孩子受益.pdf
10.00金币
1下载
二年级数学下册第六单元考试卷家长打印出来给孩子测试测试争取拿到高分!#小学二年级试卷分享 #二年级第六单考试数学 #第六单考试#二年级数学下册.pdf
10.00金币
0下载
二年级数学下册必背顺口溜口诀汇总二年级数学下册必背顺口溜口诀汇总#二年级#二年级数学下册 #知识分享 #家长收藏孩子受益 #关注我持续更新小学知识.pdf
10.00金币
0下载
二年级数学下册《重点难点思维题》两大问题解决技巧和方法巧算星期几解决周期问题还原问题强化思维训练老师精心整理家长可以打印出来给孩子练习#家长收藏孩子受益 #学霸秘籍 #思维训练 #二年级 #知识点总结.pdf
10.00金币
0下载
二年级数学下册 必背公式大全寒假提前背一背开学更轻松#二年级 #二年级数学 #二年级数学下册 #寒假充电计划 #公式.pdf
10.00金币
0下载
蜗牛文库+ 关注
实名认证
内容提供者

提供各种专业文档内容

确认删除?
QQ
  • QQ点击这里给我发消息
微信客服
  • 微信客服
回到顶部