电脑桌面
添加蜗牛文库到电脑桌面
安装后可以在桌面快捷访问

2020数学三解析.pdfVIP免费

2020数学三解析.pdf_第1页
2020数学三解析.pdf_第2页
2020数学三解析.pdf_第3页
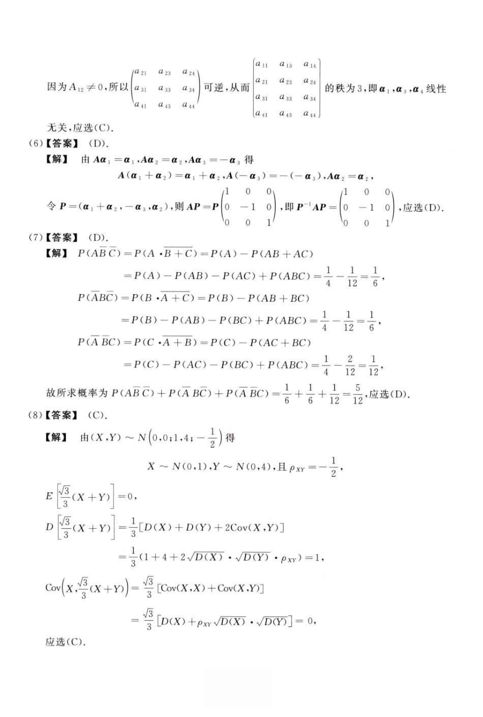
2020年数学(三)真题解析一、选择题(1)【答案】(B).【解】由lim----=b得lim/Crr)=<2,又工十aJCCL工〜asin)—sina—cosg•[/"(J—a],其中W介于f(x)与a之间,贝虹血si")—血a=皿遇$.心)一。=6cosa,应选(E).•r-*aXClx^aX,CL(2)【答案】(C).【解】显然工=—l,z=0,z=1,h=2为/(jt)的间断点,由limfa)=—00得z=—l为第二类间断点;X-*~1]]n(1+)]由lim/Xz)=lim-------•—;------=——得x=0为第一类间断点中的可去间断点;x—ox->ox一Ze一1Ze由/(I+0)=—OO得攵=1为第二类间断点;由Iim/(J?)=00得鼻=2为第二类间断点,应选(C).■Zf2(3)【答案】(A).【解】因为于(工)为奇函数,所以十(工)为偶函数,又因为cosy(/)+/'(/)为偶函数,所以[[cos/■(/)+y'(t)]d/为奇函数,应选(A).J0方法点评:关于函数、函数的导数、函数的原函数奇偶性之间的关系如下:(1)设/•©)可导且为奇函数(或偶函数),则_f'Q)为偶函数(或奇函数);(2)设yCr)为奇函数,则fd的任何一个原函数都是偶函数;(3)若/'(e)为偶函数,则fO的原函数不一定是奇函数,但F(z)=[f(t)dt一定为J0奇函数.(4)【答案】(B).【解】由工力”(工一2)"的收敛区间为(一2,6)得其收敛半径为R=4,n=1再由(工+1)"的收敛半径与—2)"相同得工a”Q+1)"的收敛半径为n=1n=1n=1R=4,从而工a”(z+l)2"的收敛半径为R。=2,故»”(工+1)2"的收敛区间为n=ln=l—2Vh+1V2,即(一3,1),应选(E).(5)【答案】(C).a11a12a13a14a21a22a23a24【解】令人=a31a32a33a34041a42a43a44,a11a13a14因为A】?HO,所以严21a3iSia23a33S3^24a34可逆,从而a21a23a24Q44a3ia33a34的秩为3,即«1?«3,«4线性041a43Q44无关,应选(C).(6)【答案】(D).【解】由Aa1=:u1,Aa2~~a2,Aa3a3得A(a!+a2)=a!+a2(—a3)=—(—a3),Aa2=a2,a\9Act2令P=(a!+a2,—a3,a2),则AP=PI100\I100\0-10,即pT"=0-10,应选(D)'001Z'00J(7)【答案】(D).【解】PCABC)=P(A・B+C)=P(A)-P(AB+AC)=P(A)—P(AE)-P(AC)+P(ABC)=丄411211_112__6P(ABC)-P(B・A+C)=P(B)—P(AB+BC)=P(B)—P(AB)—P(BC)+P(ABC)=—4PCABC)=P(C-A+B)=P(C)-P(AC4-BC)121=PCC)-P(AC)-P(BC)PCABC)-—-—=—,41212-----——------1i1r故所求概率为PCABO+PCABC)+PCABC)=士+士+為=爲,应选(D).661212(8)【答案】(C).【解】由(X,Y)N(0,0;l,4;—)得X〜N(0,l),Y〜N(0,4),且“丫=—E(X+Y)=0,D(X+Y)=y[D(X)+D(Y)+2Cov(X,Y)]=—(1+4+2(X)•VD(Y)•pxy)=19Cov(x,y(x+Y))=y[Cov(X,X)+Cov(X,Y)]=y[D(x)+0,应选(C).二、选择题(9)...

1、当您付费下载文档后,您只拥有了使用权限,并不意味着购买了版权,文档只能用于自身使用,不得用于其他商业用途(如 [转卖]进行直接盈利或[编辑后售卖]进行间接盈利)。
2、本站所有内容均由合作方或网友上传,本站不对文档的完整性、权威性及其观点立场正确性做任何保证或承诺!文档内容仅供研究参考,付费前请自行鉴别。
3、如文档内容存在违规,或者侵犯商业秘密、侵犯著作权等,请点击“违规举报”。

碎片内容

蜗牛文库的最新文档

二年级数学下册其中检测卷二年级数学下册其中检测卷附答案#期中测试卷.pdf
10.00金币
0下载
二年级数学下册期末质检卷(苏教版)二年级数学下册期末质检卷(苏教版)#期末复习 #期末测试卷 #二年级数学 #二年级数学下册#关注我持续更新小学知识.pdf
10.00金币
0下载
二年级数学下册期末混合运算专项练习二年级数学下册期末混合运算专项练习#二年级#二年级数学下册#关注我持续更新小学知识 #知识分享 #家长收藏孩子受益.pdf
10.00金币
1下载
二年级数学下册年月日三类周期问题解题方法二年级数学下册年月日三类周期问题解题方法#二年级#二年级数学下册#知识分享 #关注我持续更新小学知识 #家长收藏孩子受益.pdf
10.00金币
0下载
二年级数学下册解决问题专项训练二年级数学下册解决问题专项训练#专项训练#解决问题#二年级#二年级数学下册#知识分享.pdf
10.00金币
1下载
二年级数学下册还原问题二年级数学下册还原问题#二年级#二年级数学#关注我持续更新小学知识 #知识分享 #家长收藏孩子受益.pdf
10.00金币
1下载
二年级数学下册第六单元考试卷家长打印出来给孩子测试测试争取拿到高分!#小学二年级试卷分享 #二年级第六单考试数学 #第六单考试#二年级数学下册.pdf
10.00金币
0下载
二年级数学下册必背顺口溜口诀汇总二年级数学下册必背顺口溜口诀汇总#二年级#二年级数学下册 #知识分享 #家长收藏孩子受益 #关注我持续更新小学知识.pdf
10.00金币
0下载
二年级数学下册《重点难点思维题》两大问题解决技巧和方法巧算星期几解决周期问题还原问题强化思维训练老师精心整理家长可以打印出来给孩子练习#家长收藏孩子受益 #学霸秘籍 #思维训练 #二年级 #知识点总结.pdf
10.00金币
0下载
二年级数学下册 必背公式大全寒假提前背一背开学更轻松#二年级 #二年级数学 #二年级数学下册 #寒假充电计划 #公式.pdf
10.00金币
0下载
蜗牛文库+ 关注
实名认证
内容提供者

提供各种专业文档内容

确认删除?
QQ
  • QQ点击这里给我发消息
微信客服
  • 微信客服
回到顶部