电脑桌面
添加蜗牛文库到电脑桌面
安装后可以在桌面快捷访问

真题讲义.pdfVIP免费

真题讲义.pdf_第1页
真题讲义.pdf_第2页
真题讲义.pdf_第3页
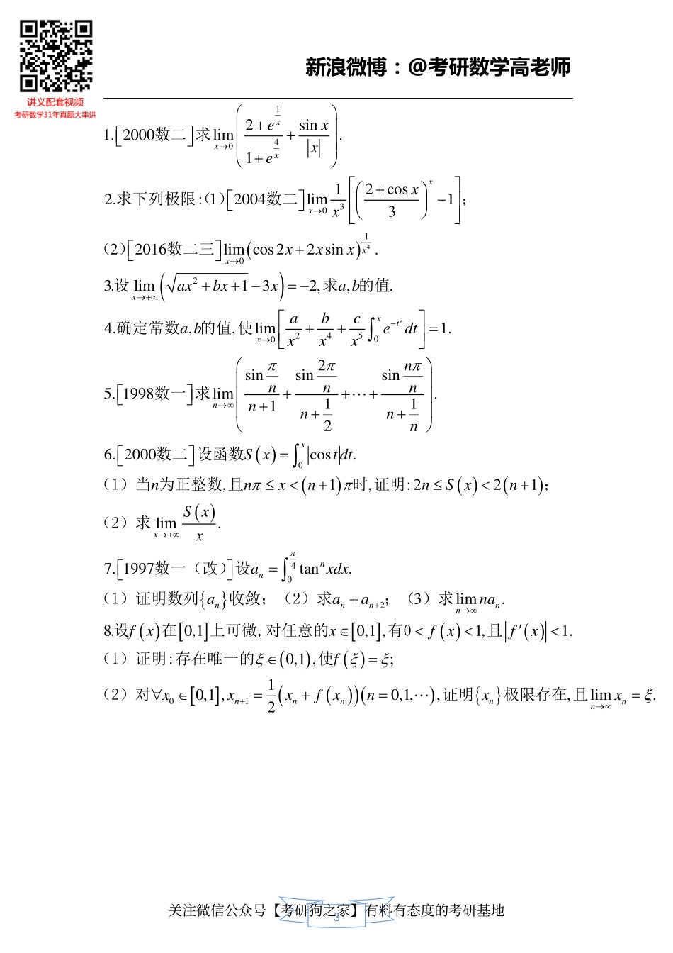
新浪微博:@考研数学高老师12018考研数学真题专题串讲讲义主讲:高昆轮新浪微博:@考研数学高老师说明:本讲义分由三部分(高等数学篇(34个专题)、线性代数篇(15个专题)、概率论与数理统计篇(12个专题))组成,每一部分的例题一方面来源于历届数一、数二及数三典型考题,另一方面来源于一些优秀经典的练习题;希望读者在听本专题串讲课程前,根据课程更新进度合理计划完成每个专题的独立思考与解答,相信认真使用本讲义及课程的读者在现第三阶段的复习中必有一定的收获及提高!课程更新时间第一次:10月9日高等数学专题第二次:10月16日高等数学专题第三次:10月23日高等数学专题第四次:10月30日高等数学专题第五次:11月6日线性代数专题第六次:11月13日概率论与数理统计专题关注微信公众号【考研狗之家】有料有态度的考研基地新浪微博:@考研数学高老师2高等数学篇专题一求极限及极限式中的参数21.02.01sinarcsintanarctanln1+11cos,211,1lnsixxxxxxxxexxxxxaxax求函数极限首先对其化简(如因式分解、有理化、通分、换元、提出极限不为的因子等),然后判别类型选择方法(如有理运算法则、等价代换、洛必达法则、泰勒公式、拉格朗日中值定理及导数定义等);常用的一些等价无穷小及一些基本极限有:;;解题思路:3333210011n,arcsin;66111tan,arctan;ln13321lim1,lim1,lim1,limln0,lim0,1.3.1xxnxxxnxxxxxxxxxxxxxxxxexxxxqqx;求已知极限式中的参数主要是在待定参数取值范围内用洛必达法则(或其他方法)并结合以下几个基本结论逐步定出其中的参数:(lim,lim0,lim0,2lim0,lim0,lim0,3lim,lim,lim0.fxAgxfxgxfxAfxgxgxfxgxAfxgx)若存在且则()若且则()若存在且则关注微信公众号【考研狗之家】有料有态度的考研基地新浪微博:@考研数学高老师341403010224502sin1.2000lim.112cos2.:12004lim1322016limcos22sin.3.lim132,,.4.,,limxxxxxxxxxexxexxxxxaxbxxababcabexxx数二求求下列极限()数二;()数二三设求的值确定常数的值使200401.2sinsinsin5.1998lim.11126.2000cos.,1,:221lim.7.1997t...

1、当您付费下载文档后,您只拥有了使用权限,并不意味着购买了版权,文档只能用于自身使用,不得用于其他商业用途(如 [转卖]进行直接盈利或[编辑后售卖]进行间接盈利)。
2、本站所有内容均由合作方或网友上传,本站不对文档的完整性、权威性及其观点立场正确性做任何保证或承诺!文档内容仅供研究参考,付费前请自行鉴别。
3、如文档内容存在违规,或者侵犯商业秘密、侵犯著作权等,请点击“违规举报”。

碎片内容

蜗牛文库的最新文档

二年级数学下册其中检测卷二年级数学下册其中检测卷附答案#期中测试卷.pdf
10.00金币
0下载
二年级数学下册期末质检卷(苏教版)二年级数学下册期末质检卷(苏教版)#期末复习 #期末测试卷 #二年级数学 #二年级数学下册#关注我持续更新小学知识.pdf
10.00金币
0下载
二年级数学下册期末混合运算专项练习二年级数学下册期末混合运算专项练习#二年级#二年级数学下册#关注我持续更新小学知识 #知识分享 #家长收藏孩子受益.pdf
10.00金币
1下载
二年级数学下册年月日三类周期问题解题方法二年级数学下册年月日三类周期问题解题方法#二年级#二年级数学下册#知识分享 #关注我持续更新小学知识 #家长收藏孩子受益.pdf
10.00金币
0下载
二年级数学下册解决问题专项训练二年级数学下册解决问题专项训练#专项训练#解决问题#二年级#二年级数学下册#知识分享.pdf
10.00金币
1下载
二年级数学下册还原问题二年级数学下册还原问题#二年级#二年级数学#关注我持续更新小学知识 #知识分享 #家长收藏孩子受益.pdf
10.00金币
1下载
二年级数学下册第六单元考试卷家长打印出来给孩子测试测试争取拿到高分!#小学二年级试卷分享 #二年级第六单考试数学 #第六单考试#二年级数学下册.pdf
10.00金币
0下载
二年级数学下册必背顺口溜口诀汇总二年级数学下册必背顺口溜口诀汇总#二年级#二年级数学下册 #知识分享 #家长收藏孩子受益 #关注我持续更新小学知识.pdf
10.00金币
0下载
二年级数学下册《重点难点思维题》两大问题解决技巧和方法巧算星期几解决周期问题还原问题强化思维训练老师精心整理家长可以打印出来给孩子练习#家长收藏孩子受益 #学霸秘籍 #思维训练 #二年级 #知识点总结.pdf
10.00金币
0下载
二年级数学下册 必背公式大全寒假提前背一背开学更轻松#二年级 #二年级数学 #二年级数学下册 #寒假充电计划 #公式.pdf
10.00金币
0下载
蜗牛文库+ 关注
实名认证
内容提供者

提供各种专业文档内容

确认删除?
QQ
  • QQ点击这里给我发消息
微信客服
  • 微信客服
回到顶部