电脑桌面
添加蜗牛文库到电脑桌面
安装后可以在桌面快捷访问

考研化工原理传热计算专题讲座讲义©研途网 YenTo.cn 整理 ✚关注公众号(yentocn)资料多又好 更新早知道.pdfVIP免费

考研化工原理传热计算专题讲座讲义©研途网 YenTo.cn 整理 ✚关注公众号(yentocn)资料多又好 更新早知道.pdf_第1页
考研化工原理传热计算专题讲座讲义©研途网 YenTo.cn 整理 ✚关注公众号(yentocn)资料多又好 更新早知道.pdf_第2页
考研化工原理传热计算专题讲座讲义©研途网 YenTo.cn 整理 ✚关注公众号(yentocn)资料多又好 更新早知道.pdf_第3页
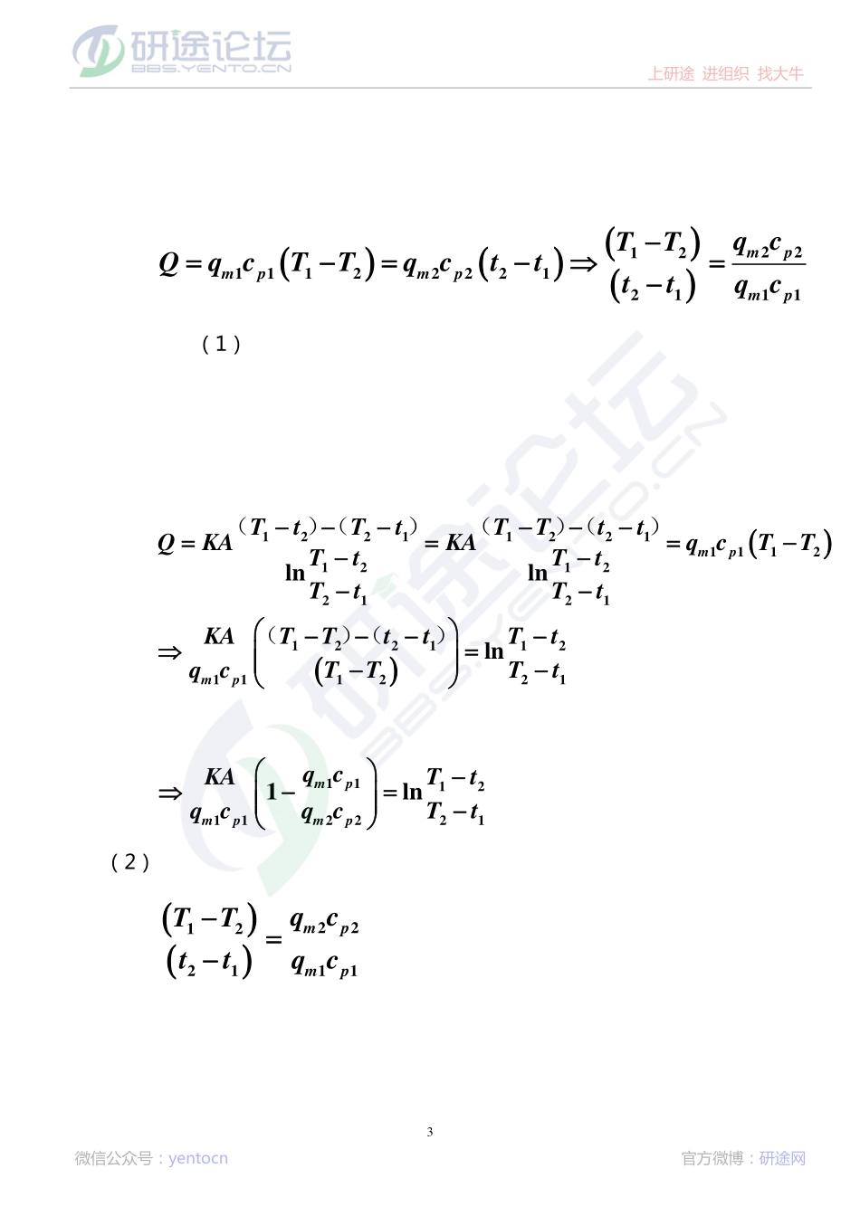
1化工原理传热计算专题1.设计型计算已知:qm1、T1、T2(生产任务),t1、qm2等,求:传热面积A或校核步骤:(1)计算热负荷;(2)计算tm;(3)计算1、2及K;(4)计算A若A实>A计,或Q换>Q需要,则换热器合适。上研途进组织找大牛微信公众号:yentocn官方微博:研途网22、操作型计算第一种:已知:换热器A,qm1、T1,T2、t1求:qm2、t2(需要试差,一般考试不出)步骤:(1)设定t2值;(2)由热量负荷式计算qm2。(3)计算1、2及K;(4)由122111121221ln()()mpTtTtQKAqcTTTtTt计算t2*值。(5)设定值t2和计算t2*值相符,则计算结束。2、操作型计算第二种:(重要)已知:换热器A,qm1、T1,T2,qm2、t1,求:出口t2步骤:(1)计算1、2及K;(2)操作型计算即传热过程通式满足热量衡算式和传热速率式A、无相变时,上研途进组织找大牛微信公众号:yentocn官方微博:研途网32212111222212111mpmpmpmpqcTTQqcTTqcttttqc(1)12211221111212122121122112111221lnlnln()()()()()()mpmpTtTtTTttQKAKAqcTTTtTtTtTtKATTttTtqcTTTt11121122211lnmpmpmpqcKATtqcqcTt(2)22122111mpmpqcTTttqc上研途进组织找大牛微信公众号:yentocn官方微博:研途网4(1)(3)联立(1)和(2)式,可以得到t2线性方程组,求解即可。B、一侧有相变时,计算更简便:传热过程同时满足热量衡算式和传热速率式:12211212mlnlntTtTtttTtTtTtTtSSSSSS)()(21222112lnmpssttQqcttKATtTt2212lnmpssqcTtTtKA(2)12221mmpQqrqctt(1)联立可求t2上研途进组织找大牛微信公众号:yentocn官方微博:研途网5热量衡算式(计算热负荷)无相变有相变11122221mpmpQqcTTqctt12221mmpQqrqctt间壁式换热器传热速率式mQKAΔt12211221mlntTtTtTtTt)()(2112mlntTtTtttssK的计算通式:22m11d1dd1d1AAbAAK平壁传热:21111bK圆筒壁传热,以外径d2为基准:2m21212111ddbddK热负荷=传热速率11121122211lnmpmpmpqcKATtqcqcTt2212lnmpssqcTtTtKA上研途进组织找大牛微信公众号:yentocn官方微博:研途网61、...

1、当您付费下载文档后,您只拥有了使用权限,并不意味着购买了版权,文档只能用于自身使用,不得用于其他商业用途(如 [转卖]进行直接盈利或[编辑后售卖]进行间接盈利)。
2、本站所有内容均由合作方或网友上传,本站不对文档的完整性、权威性及其观点立场正确性做任何保证或承诺!文档内容仅供研究参考,付费前请自行鉴别。
3、如文档内容存在违规,或者侵犯商业秘密、侵犯著作权等,请点击“违规举报”。

碎片内容

蜗牛文库的最新文档

二年级数学下册其中检测卷二年级数学下册其中检测卷附答案#期中测试卷.pdf
10.00金币
0下载
二年级数学下册期末质检卷(苏教版)二年级数学下册期末质检卷(苏教版)#期末复习 #期末测试卷 #二年级数学 #二年级数学下册#关注我持续更新小学知识.pdf
10.00金币
0下载
二年级数学下册期末混合运算专项练习二年级数学下册期末混合运算专项练习#二年级#二年级数学下册#关注我持续更新小学知识 #知识分享 #家长收藏孩子受益.pdf
10.00金币
1下载
二年级数学下册年月日三类周期问题解题方法二年级数学下册年月日三类周期问题解题方法#二年级#二年级数学下册#知识分享 #关注我持续更新小学知识 #家长收藏孩子受益.pdf
10.00金币
0下载
二年级数学下册解决问题专项训练二年级数学下册解决问题专项训练#专项训练#解决问题#二年级#二年级数学下册#知识分享.pdf
10.00金币
1下载
二年级数学下册还原问题二年级数学下册还原问题#二年级#二年级数学#关注我持续更新小学知识 #知识分享 #家长收藏孩子受益.pdf
10.00金币
1下载
二年级数学下册第六单元考试卷家长打印出来给孩子测试测试争取拿到高分!#小学二年级试卷分享 #二年级第六单考试数学 #第六单考试#二年级数学下册.pdf
10.00金币
0下载
二年级数学下册必背顺口溜口诀汇总二年级数学下册必背顺口溜口诀汇总#二年级#二年级数学下册 #知识分享 #家长收藏孩子受益 #关注我持续更新小学知识.pdf
10.00金币
0下载
二年级数学下册《重点难点思维题》两大问题解决技巧和方法巧算星期几解决周期问题还原问题强化思维训练老师精心整理家长可以打印出来给孩子练习#家长收藏孩子受益 #学霸秘籍 #思维训练 #二年级 #知识点总结.pdf
10.00金币
0下载
二年级数学下册 必背公式大全寒假提前背一背开学更轻松#二年级 #二年级数学 #二年级数学下册 #寒假充电计划 #公式.pdf
10.00金币
0下载
蜗牛文库+ 关注
实名认证
内容提供者

提供各种专业文档内容

确认删除?
QQ
  • QQ点击这里给我发消息
微信客服
  • 微信客服
回到顶部