电脑桌面
添加蜗牛文库到电脑桌面
安装后可以在桌面快捷访问

第13章 二端口网络和多端元件.pptVIP免费

第13章 二端口网络和多端元件.ppt第13章 二端口网络和多端元件.ppt第13章 二端口网络和多端元件.ppt第13章 二端口网络和多端元件.ppt第13章 二端口网络和多端元件.ppt
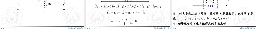
南京理工大学自动化学院电路第第1313章二端口网络章二端口网络13.113.1二端口网络二端口网络13.213.2二端口网络的方程和参数二端口网络的方程和参数13.313.3二端口网络的等效电路二端口网络的等效电路13.413.4二端口网络的转移参数二端口网络的转移参数13.513.5二端口网络的联接二端口网络的联接13.613.6理想回转器理想回转器目录目录南京理工大学自动化学院电路13.113.1二端口网络二端口网络通过引出一对端钮与外电路连接的网络常称为二端网络通过引出一对端钮与外电路连接的网络常称为二端网络,,通常分为两类即无源二端网络和有源二端网络通常分为两类即无源二端网络和有源二端网络二端网络中电流从一个端钮流入,从另一个端钮流出,二端网络中电流从一个端钮流入,从另一个端钮流出,这样一对端钮形成了网络的一个端口,故二端网络也称这样一对端钮形成了网络的一个端口,故二端网络也称为一端口网络为一端口网络NNu..i++__i’i=i’南京理工大学自动化学院电路13.113.1二端口网络二端口网络可见端口的两个物理量仅需一个参数去联系可见端口的两个物理量仅需一个参数去联系在正弦稳态电路中在正弦稳态电路中::,UZIIYUNN..++__UI'I南京理工大学自动化学院电路13.113.1二端口网络二端口网络其中其中11’11’端口称为输入端口,端口称为输入端口,22’22’端口称为输出端口。端口称为输出端口。在输入端口处加上激励,在输出端口处产生响应在输入端口处加上激励,在输出端口处产生响应如图所示的四端网络,如果满足,如图所示的四端网络,如果满足,则称该网络为二端口网络则称该网络为二端口网络1122','IIII二端口网络二端口网络NN..++__2U2I2'I22’..++__1U1I1'I11’南京理工大学自动化学院电路13.113.1二端口网络二端口网络可见两个端口上的四个物理量需四个参数去联系。根据可见两个端口上的四个物理量需四个参数去联系。根据不同的组合方式,就有六种不同的二端口参数方程,这里不同的组合方式,就有六种不同的二端口参数方程,这里只介绍常用的四种参数只介绍常用的四种参数对于线性无源的二端口网络,端口共有四个物理量对于线性无源的二端口网络,端口共有四个物理量,,要要研究端口的电压和电流之间的关系,任选其中两个为自研究端口的电压和电流之间的关系,任选其中两个为自变变量,则另外两个就为因变量量,则另外两个就为因变量11111222211222()()()()()()ftWxtWxtftWxtWxt南京理工...

1、当您付费下载文档后,您只拥有了使用权限,并不意味着购买了版权,文档只能用于自身使用,不得用于其他商业用途(如 [转卖]进行直接盈利或[编辑后售卖]进行间接盈利)。
2、本站所有内容均由合作方或网友上传,本站不对文档的完整性、权威性及其观点立场正确性做任何保证或承诺!文档内容仅供研究参考,付费前请自行鉴别。
3、如文档内容存在违规,或者侵犯商业秘密、侵犯著作权等,请点击“违规举报”。

碎片内容

蜗牛文库的最新文档

二年级数学下册其中检测卷二年级数学下册其中检测卷附答案#期中测试卷.pdf
10.00金币
0下载
二年级数学下册期末质检卷(苏教版)二年级数学下册期末质检卷(苏教版)#期末复习 #期末测试卷 #二年级数学 #二年级数学下册#关注我持续更新小学知识.pdf
10.00金币
0下载
二年级数学下册期末混合运算专项练习二年级数学下册期末混合运算专项练习#二年级#二年级数学下册#关注我持续更新小学知识 #知识分享 #家长收藏孩子受益.pdf
10.00金币
1下载
二年级数学下册年月日三类周期问题解题方法二年级数学下册年月日三类周期问题解题方法#二年级#二年级数学下册#知识分享 #关注我持续更新小学知识 #家长收藏孩子受益.pdf
10.00金币
0下载
二年级数学下册解决问题专项训练二年级数学下册解决问题专项训练#专项训练#解决问题#二年级#二年级数学下册#知识分享.pdf
10.00金币
1下载
二年级数学下册还原问题二年级数学下册还原问题#二年级#二年级数学#关注我持续更新小学知识 #知识分享 #家长收藏孩子受益.pdf
10.00金币
1下载
二年级数学下册第六单元考试卷家长打印出来给孩子测试测试争取拿到高分!#小学二年级试卷分享 #二年级第六单考试数学 #第六单考试#二年级数学下册.pdf
10.00金币
0下载
二年级数学下册必背顺口溜口诀汇总二年级数学下册必背顺口溜口诀汇总#二年级#二年级数学下册 #知识分享 #家长收藏孩子受益 #关注我持续更新小学知识.pdf
10.00金币
0下载
二年级数学下册《重点难点思维题》两大问题解决技巧和方法巧算星期几解决周期问题还原问题强化思维训练老师精心整理家长可以打印出来给孩子练习#家长收藏孩子受益 #学霸秘籍 #思维训练 #二年级 #知识点总结.pdf
10.00金币
0下载
二年级数学下册 必背公式大全寒假提前背一背开学更轻松#二年级 #二年级数学 #二年级数学下册 #寒假充电计划 #公式.pdf
10.00金币
0下载
蜗牛文库+ 关注
实名认证
内容提供者

提供各种专业文档内容

确认删除?
QQ
  • QQ点击这里给我发消息
微信客服
  • 微信客服
回到顶部