电脑桌面
添加蜗牛文库到电脑桌面
安装后可以在桌面快捷访问

第7章(2).pptVIP免费

第7章(2).ppt第7章(2).ppt第7章(2).ppt第7章(2).ppt第7章(2).ppt
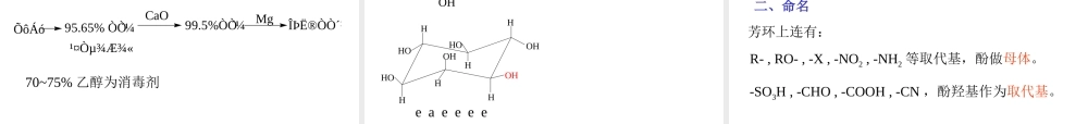
第七章醇、酚、醚学习要求:1.掌握醇、酚、醚的命名法及结构特点2.熟练掌握醇、酚、醚的化学反应及鉴别方法HOHË®ROH醇ArOH酚ROR'醚§1醇的分类和命名一、醇的分类1.根据羟基所连烃基的种类Ö¬·¾´¼Ö¬»·´¼·¼Ïã´¼±¥ºÍ²»±¥ºÍCH3CH2OHCH2=CHCH2OHOHCH2OH第一节醇2.根据羟基所连的碳原子的种类,醇可分为:伯、仲、叔醇。CH3CH2CH2CH2OH正丁醇(伯醇)CH3CHCH2OHCH3异丁醇(伯醇)CH3CHCH2CH3OH仲丁醇(仲醇)CH3COHCH3CH3叔丁醇(叔醇)3.根据醇分子结构中羟基的数目,醇可分为一元醇、二元醇、三元醇……CH3CH2CH2OH±û´¼£¨Ò»Ôª´¼£©CH2-OHCH2OHÒÒ¶þ´¼£¨¶þÔª´¼£©CH2-OHCH-OHCH2OH±ûÈý´¼£¨ÈýÔª´¼£©二、醇的命名1.普通命名法CH3CHCH2CH2OHCH3异戊醇CH3CCH3CH3CH2OH新戊醇CH2OHCl邻氯苯甲醇2.系统命名法系统命名法命名原则如下:⑴选择最长的碳链为主链,含与羟基相连的碳原子及双键或叁键,根据主链的碳原子数称为某醇。⑵从靠近羟基一端给主链编号,羟基编号数写在醇名称之前。CH3CCCHCH2OHCH2CH2CH32-丙基-3-戊炔-1-醇CH3CH2CH2CHCH2CHCH3HOCCH3CH3CH35,5-二甲基-3-丙基-2-己醇CCH2CH3OHCH2CH33-苯基-3-戊醇CH=CHCH2OH3-苯基-2-丙烯醇3.俗名§2醇的物理性质1.状态和气味:在常温下十一个碳原子下的饱和一元醇是液体;十二个碳以上的醇为蜡状固体。C1~C3有酒味,C4~C11不愉快气味,C12以上无味。2.沸点醇的沸点比醚和烷烃都高。CH3CH2CH2CH2OHCH3CH2OCH2CH3CH3CH2CH2CH2CH3117.2℃34.6℃36.1℃CH3CH2CH2CH2OHCH3CHCH2OHCH3CH3COHCH3CH3117.8℃107.9℃82.5℃3.水溶性C1~C3易溶于水,C4~C10部分溶,C11以上不溶于水;羟基数目愈多,水溶性愈大。Ò×ÈÜÓÚË®HOHOOHOHOHOHOH²»ÈÜÓÚË®醇可形成分子间氢键4.结晶醇MgCl2.6CH3OHCaCl2.4CH3OHCaCl2.4C2H5OH有机物中混有少量甲醇、乙醇时,可用MgCl2、CaCl2除去。但要除去甲醇、乙醇中的水,则不能用CaCl2作脱水剂。§3醇的化学性质RCOR'HH¦Ä¦Ä-+¦Ä+¦Á-H取代反应、消除反应、氧化反应一、取代反应㈠与活泼金属反应HOH+NaNaOH+1/2H2剧烈反应,放热自燃RONa+1/2H2反应缓和,放热不自燃ROH+Na反应活性:伯醇>仲醇>叔醇CH3OH>CH3CH2OH>(CH3)2CHOH>(CH3)3COH原因:ROHRO-Îȶ¨ÐԶϼüÄÜÁ¦RONa+H2OROH+NaOH㈡醇的酯化反应ROHR'COOH+R'COORH2O+H机理:R1COOH+HO18RR1COO18R+H2O酯化反应是羧酸的羟基与醇羟基...

1、当您付费下载文档后,您只拥有了使用权限,并不意味着购买了版权,文档只能用于自身使用,不得用于其他商业用途(如 [转卖]进行直接盈利或[编辑后售卖]进行间接盈利)。
2、本站所有内容均由合作方或网友上传,本站不对文档的完整性、权威性及其观点立场正确性做任何保证或承诺!文档内容仅供研究参考,付费前请自行鉴别。
3、如文档内容存在违规,或者侵犯商业秘密、侵犯著作权等,请点击“违规举报”。

碎片内容

蜗牛文库的最新文档

二年级数学下册其中检测卷二年级数学下册其中检测卷附答案#期中测试卷.pdf
10.00金币
0下载
二年级数学下册期末质检卷(苏教版)二年级数学下册期末质检卷(苏教版)#期末复习 #期末测试卷 #二年级数学 #二年级数学下册#关注我持续更新小学知识.pdf
10.00金币
0下载
二年级数学下册期末混合运算专项练习二年级数学下册期末混合运算专项练习#二年级#二年级数学下册#关注我持续更新小学知识 #知识分享 #家长收藏孩子受益.pdf
10.00金币
1下载
二年级数学下册年月日三类周期问题解题方法二年级数学下册年月日三类周期问题解题方法#二年级#二年级数学下册#知识分享 #关注我持续更新小学知识 #家长收藏孩子受益.pdf
10.00金币
0下载
二年级数学下册解决问题专项训练二年级数学下册解决问题专项训练#专项训练#解决问题#二年级#二年级数学下册#知识分享.pdf
10.00金币
1下载
二年级数学下册还原问题二年级数学下册还原问题#二年级#二年级数学#关注我持续更新小学知识 #知识分享 #家长收藏孩子受益.pdf
10.00金币
1下载
二年级数学下册第六单元考试卷家长打印出来给孩子测试测试争取拿到高分!#小学二年级试卷分享 #二年级第六单考试数学 #第六单考试#二年级数学下册.pdf
10.00金币
0下载
二年级数学下册必背顺口溜口诀汇总二年级数学下册必背顺口溜口诀汇总#二年级#二年级数学下册 #知识分享 #家长收藏孩子受益 #关注我持续更新小学知识.pdf
10.00金币
0下载
二年级数学下册《重点难点思维题》两大问题解决技巧和方法巧算星期几解决周期问题还原问题强化思维训练老师精心整理家长可以打印出来给孩子练习#家长收藏孩子受益 #学霸秘籍 #思维训练 #二年级 #知识点总结.pdf
10.00金币
0下载
二年级数学下册 必背公式大全寒假提前背一背开学更轻松#二年级 #二年级数学 #二年级数学下册 #寒假充电计划 #公式.pdf
10.00金币
0下载
蜗牛文库+ 关注
实名认证
内容提供者

提供各种专业文档内容

确认删除?
QQ
  • QQ点击这里给我发消息
微信客服
  • 微信客服
回到顶部