电脑桌面
添加蜗牛文库到电脑桌面
安装后可以在桌面快捷访问

第一节 特征值问题和特征向√.pptVIP免费

第一节 特征值问题和特征向√.ppt第一节 特征值问题和特征向√.ppt第一节 特征值问题和特征向√.ppt第一节 特征值问题和特征向√.ppt第一节 特征值问题和特征向√.ppt
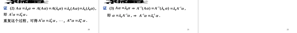
1第四章2本章介绍矩阵的特征值、特征向量以及矩阵的对角化问题。3设A是一个n阶方阵,如果存在一个数,以及一个非零n维列向量,使得第一节矩阵的特征值与特征向量定义A则称为矩阵A的特征值,而称为矩阵A的属于一、特征值与特征向量的基本概念特征值的特征向量。例如,11311122,112所以矩阵3111有一个特征值2,而11是对应的特征向量4一个特征向量只能属于一个特征值,证明如下:设是同时属于特征值1和2的特征向量,即1A,2A,12()0,0而.21说明A1、特征值问题是针对方阵而言的;2、特征向量必须是非零向量;3、特征向量既依赖于矩阵A,又依赖于特征值.☎nm1n1m5二、特征值与特征向量的求法A()0,EA即要求齐次线性方程组()0EAx有非零解,即方程0AE的根就是矩阵A的特征值,相应非零解即为特征向量。,212222111211nnnnnnaaaaaaaaaAEf)(记,次多项式的它是n称为矩阵A的特征多项式,6次方程为未知数的一元称以n0AE,次多项式的它是n称为矩阵A的特征多项式,为矩阵A的特征方程。特征方程的根,即为矩阵A的特征值。,212222111211nnnnnnaaaaaaaaaAEf)(记7计算矩阵特征值和特征向量的一般步骤如下:1、求特征方程0AE的全部根,即为矩阵A的全部特征值;2、对每一特征值i,求解齐次线性方程组它的全部非零解向量即为矩阵A的属于特征值i的全部特征向量。()0iEAx8例1设,120010112A求A的特征值与特征向量。解120010112AE,0)1)(1)(2(所以A的特征值为.1,1,23219120010112AE.1,1,2321,对211200301102AE,000100110相应齐次线性方程组的基础解系为因此属于特征值21的全部特征向量为)0(111kk;,110010120010112AE.1,1,2321,对12相应齐次线性方程组的基础解系为因此属于特征值12的全部特征向量为)0(222kk;...

1、当您付费下载文档后,您只拥有了使用权限,并不意味着购买了版权,文档只能用于自身使用,不得用于其他商业用途(如 [转卖]进行直接盈利或[编辑后售卖]进行间接盈利)。
2、本站所有内容均由合作方或网友上传,本站不对文档的完整性、权威性及其观点立场正确性做任何保证或承诺!文档内容仅供研究参考,付费前请自行鉴别。
3、如文档内容存在违规,或者侵犯商业秘密、侵犯著作权等,请点击“违规举报”。

碎片内容

蜗牛文库的最新文档

二年级数学下册其中检测卷二年级数学下册其中检测卷附答案#期中测试卷.pdf
10.00金币
0下载
二年级数学下册期末质检卷(苏教版)二年级数学下册期末质检卷(苏教版)#期末复习 #期末测试卷 #二年级数学 #二年级数学下册#关注我持续更新小学知识.pdf
10.00金币
0下载
二年级数学下册期末混合运算专项练习二年级数学下册期末混合运算专项练习#二年级#二年级数学下册#关注我持续更新小学知识 #知识分享 #家长收藏孩子受益.pdf
10.00金币
1下载
二年级数学下册年月日三类周期问题解题方法二年级数学下册年月日三类周期问题解题方法#二年级#二年级数学下册#知识分享 #关注我持续更新小学知识 #家长收藏孩子受益.pdf
10.00金币
0下载
二年级数学下册解决问题专项训练二年级数学下册解决问题专项训练#专项训练#解决问题#二年级#二年级数学下册#知识分享.pdf
10.00金币
1下载
二年级数学下册还原问题二年级数学下册还原问题#二年级#二年级数学#关注我持续更新小学知识 #知识分享 #家长收藏孩子受益.pdf
10.00金币
1下载
二年级数学下册第六单元考试卷家长打印出来给孩子测试测试争取拿到高分!#小学二年级试卷分享 #二年级第六单考试数学 #第六单考试#二年级数学下册.pdf
10.00金币
0下载
二年级数学下册必背顺口溜口诀汇总二年级数学下册必背顺口溜口诀汇总#二年级#二年级数学下册 #知识分享 #家长收藏孩子受益 #关注我持续更新小学知识.pdf
10.00金币
0下载
二年级数学下册《重点难点思维题》两大问题解决技巧和方法巧算星期几解决周期问题还原问题强化思维训练老师精心整理家长可以打印出来给孩子练习#家长收藏孩子受益 #学霸秘籍 #思维训练 #二年级 #知识点总结.pdf
10.00金币
0下载
二年级数学下册 必背公式大全寒假提前背一背开学更轻松#二年级 #二年级数学 #二年级数学下册 #寒假充电计划 #公式.pdf
10.00金币
0下载
蜗牛文库+ 关注
实名认证
内容提供者

提供各种专业文档内容

确认删除?
QQ
  • QQ点击这里给我发消息
微信客服
  • 微信客服
回到顶部