电脑桌面
添加蜗牛文库到电脑桌面
安装后可以在桌面快捷访问

601-数学理.docVIP免费

601-数学理.doc_第1页
601-数学理.doc_第2页
601-数学理.doc_第3页
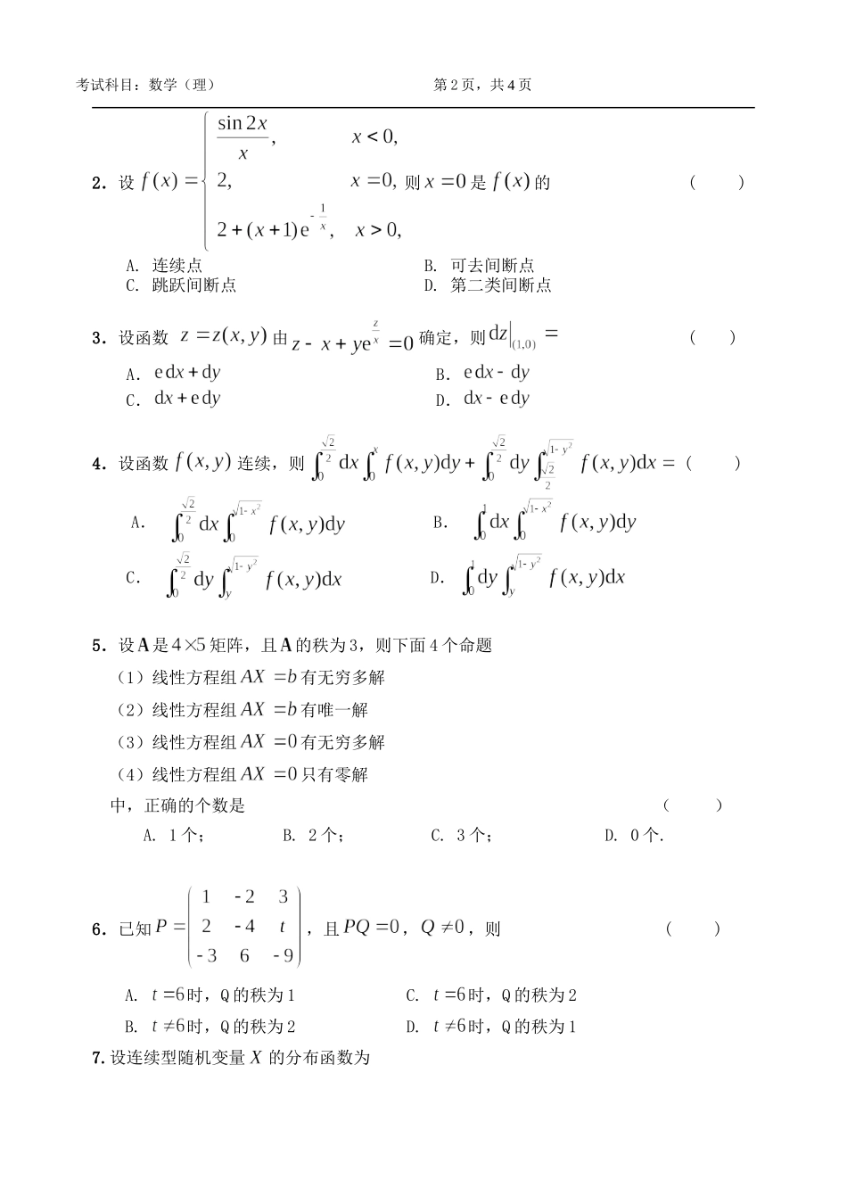
考试科目:数学(理)第1页,共4页2015年硕士研究生招生考试试题考试科目:数学(理)满分:150分考试时间:180分钟一、填空题(每小题4分,共32分)1.设函数,则的极小值为.2.曲线的拐点为.3.曲线与轴围成的无限区域的面积为.4.设函数连续,则改写成极坐标形式为.5.设矩阵,其中为3维列向量,记,如果,那么=.6.已知矩阵的特征值;对应的特征向量,,则=.7.已知连续型随机变量的概率密度,则,.8.设是从总体中抽取的一个样本,当时,服从分布.二、单项选择题(每小题4分,共32分)1.设,,则当时,是的()A.高阶无穷小B.低阶无穷小C.等价无穷小D.同阶但非等价无穷小注意:所有试题答案写在答题纸上,答案写在试卷上无效.考试科目:数学(理)第2页,共4页2.设则是的()A.连续点B.可去间断点C.跳跃间断点D.第二类间断点3.设函数由确定,则()A.B.C.D.4.设函数连续,则()A.B.C.D.5.设是矩阵,且的秩为3,则下面4个命题(1)线性方程组有无穷多解(2)线性方程组有唯一解(3)线性方程组有无穷多解(4)线性方程组只有零解中,正确的个数是()A.1个;B.2个;C.3个;D.0个.6.已知,且,,则()A.时,Q的秩为1C.时,Q的秩为2B.时,Q的秩为2D.时,Q的秩为17.设连续型随机变量的分布函数为考试科目:数学(理)第3页,共4页则b、c取值().A.b=1,c=1B.b=1,c=0C.b=0,c=1D.b=1,c=-18.假设,,采用统计量,显著性水平为,那么的拒绝域为()A.B.C.D.三、解答题(共9题,86分)1.(10分)求极限.2.(10分)设函数具有连续偏导数,且满足,求所满足的一阶微分方程,并求其通解.3.(10分)计算重积分,其中.4.(10分)求二元函数的极值.5.(10分)设函数在上连续,在内二阶可导,且,,证明:存在,使得.6.(10分)设A为三阶矩阵,是线性无关的三维列向量,且满足,,.(1)求矩阵,使;(2)求可逆矩阵,使得为对角矩阵.考试科目:数学(理)第4页,共4页7.(8分)设,求.8.(8分)已知甲、乙两箱中装有同种产品,其中甲箱中装有3件合格品和3件次品,乙箱中仅装有3件合格品.从甲箱中任取2件产品放入乙箱后,求(1)乙箱中次品数的数学期望;(2)再从乙箱中任取一件产品是合格品的概率.9.(10分)已知随机变量,,且与的相关系数,设Z=3X-Y.(1)求和;(2)求与的相关系数;(3)与是否相互独立?为什么?

1、当您付费下载文档后,您只拥有了使用权限,并不意味着购买了版权,文档只能用于自身使用,不得用于其他商业用途(如 [转卖]进行直接盈利或[编辑后售卖]进行间接盈利)。
2、本站所有内容均由合作方或网友上传,本站不对文档的完整性、权威性及其观点立场正确性做任何保证或承诺!文档内容仅供研究参考,付费前请自行鉴别。
3、如文档内容存在违规,或者侵犯商业秘密、侵犯著作权等,请点击“违规举报”。

碎片内容

蜗牛文库的最新文档

二年级数学下册其中检测卷二年级数学下册其中检测卷附答案#期中测试卷.pdf
10.00金币
0下载
二年级数学下册期末质检卷(苏教版)二年级数学下册期末质检卷(苏教版)#期末复习 #期末测试卷 #二年级数学 #二年级数学下册#关注我持续更新小学知识.pdf
10.00金币
0下载
二年级数学下册期末混合运算专项练习二年级数学下册期末混合运算专项练习#二年级#二年级数学下册#关注我持续更新小学知识 #知识分享 #家长收藏孩子受益.pdf
10.00金币
1下载
二年级数学下册年月日三类周期问题解题方法二年级数学下册年月日三类周期问题解题方法#二年级#二年级数学下册#知识分享 #关注我持续更新小学知识 #家长收藏孩子受益.pdf
10.00金币
0下载
二年级数学下册解决问题专项训练二年级数学下册解决问题专项训练#专项训练#解决问题#二年级#二年级数学下册#知识分享.pdf
10.00金币
1下载
二年级数学下册还原问题二年级数学下册还原问题#二年级#二年级数学#关注我持续更新小学知识 #知识分享 #家长收藏孩子受益.pdf
10.00金币
1下载
二年级数学下册第六单元考试卷家长打印出来给孩子测试测试争取拿到高分!#小学二年级试卷分享 #二年级第六单考试数学 #第六单考试#二年级数学下册.pdf
10.00金币
0下载
二年级数学下册必背顺口溜口诀汇总二年级数学下册必背顺口溜口诀汇总#二年级#二年级数学下册 #知识分享 #家长收藏孩子受益 #关注我持续更新小学知识.pdf
10.00金币
0下载
二年级数学下册《重点难点思维题》两大问题解决技巧和方法巧算星期几解决周期问题还原问题强化思维训练老师精心整理家长可以打印出来给孩子练习#家长收藏孩子受益 #学霸秘籍 #思维训练 #二年级 #知识点总结.pdf
10.00金币
0下载
二年级数学下册 必背公式大全寒假提前背一背开学更轻松#二年级 #二年级数学 #二年级数学下册 #寒假充电计划 #公式.pdf
10.00金币
0下载
蜗牛文库+ 关注
实名认证
内容提供者

提供各种专业文档内容

确认删除?
QQ
  • QQ点击这里给我发消息
微信客服
  • 微信客服
回到顶部