电脑桌面
添加蜗牛文库到电脑桌面
安装后可以在桌面快捷访问

第8章 图像分析(第1讲).pptVIP免费

第8章 图像分析(第1讲).ppt第8章 图像分析(第1讲).ppt第8章 图像分析(第1讲).ppt第8章 图像分析(第1讲).ppt第8章 图像分析(第1讲).ppt
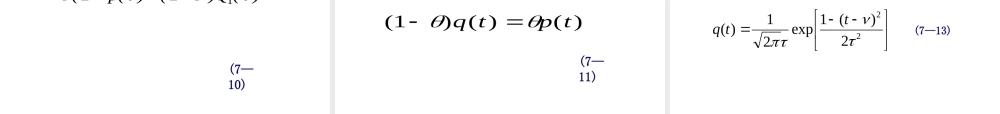
数字图像处理学第7章图像分析(第一讲)对图像进行增强、恢复、编码等处理时,输入是图像,所要求的输出是一幅近似于输入的图像,这是此类处理的一个特点。图像处理的另一个主要分支是图像分析或景物分析。这类处理的输入仍然是图像,但是所要求的输出是已知图像或景物的描述。这类处理基本上用于自身图像分析和模式识别一类的领域。1)输入是文字组成的二值图像,输出是读出该段文字;2)输入是血球照片,输出是血球数量;3)输入是细胞图像,输出是细胞类型;4)输入是遥感照片,输出是地貌、植被描述等。这些都是图像分析的典型例子。描述一般是针对图像或景物中的特定区域或目标。为了描述,首先要进行分割,有些分割运算可直接用于整个图像,而有些分割算法只适用于已被局部分割的图像。例如,分割染色体的处理,可先用设置门限的方法把染色体和背景分割开来,然后可采用尺寸大小、形状等准则进一步将其分割成单个染色体。值得注意的一点是,没有唯一的、标准的分割方法,因此,也就没有规定成功分割的准则。本章只讨论一些最基本的分割、描述方法。7.1分割(segmentation)分割的目的是把图像空间分成一些有意义的区域。例如一幅航空照片,可民分割成工业区、住宅区、湖泊、森林等等。可以以逐个像素为基础去研究图像分割,也可以利用在规定领域中的某些图像信息去分割。分割的依据可建立在相似性和非连续性两个基本概念之上。7.1.1灰度阈值法分割7.1.2样板匹配7.1.3区域生长7.1.4区域聚合假如有如下形状的直方图图7—1图像的直方图),(yxf由直方图可以知道图像的大部分像素灰度值较低,其余像素较均匀地分布在其他灰度级上。由此可以推断这幅图像是由有灰度级的物体叠加在一个暗背景上形成的。可以设一个阈值,把直方图分成两个部分,如图所示。的选择要本着如下原则:应尽可能包含与背景相关连的灰度级,而则应包含物体的所有灰度级。),(yxfTT1BB2当扫描这幅图像时,从到之间的灰度变化就指示出有边界存在。当然,为了找出水平方向和垂直方向上的边界,要进行两次扫描。也就是说,首先确定一个门限,然后执行下列步骤:B1B2T第一,对的每一行进行检测,产生的图像的灰度将遵循如下规则),(yxf其他处在不同的灰度级上和BELyxfyxfLyxf)1,(),(),(1(7—1)式中是指定的边缘灰度级,是背景灰度级。LELB第二,对的每一列进行检测,产生的图像的灰度将遵循下述规则),(yxf其他上灰度处在不同的灰度级和BELyxfyxfLyxf),1(),(),(2(7—2)...

1、当您付费下载文档后,您只拥有了使用权限,并不意味着购买了版权,文档只能用于自身使用,不得用于其他商业用途(如 [转卖]进行直接盈利或[编辑后售卖]进行间接盈利)。
2、本站所有内容均由合作方或网友上传,本站不对文档的完整性、权威性及其观点立场正确性做任何保证或承诺!文档内容仅供研究参考,付费前请自行鉴别。
3、如文档内容存在违规,或者侵犯商业秘密、侵犯著作权等,请点击“违规举报”。

碎片内容

蜗牛文库的最新文档

二年级数学下册其中检测卷二年级数学下册其中检测卷附答案#期中测试卷.pdf
10.00金币
0下载
二年级数学下册期末质检卷(苏教版)二年级数学下册期末质检卷(苏教版)#期末复习 #期末测试卷 #二年级数学 #二年级数学下册#关注我持续更新小学知识.pdf
10.00金币
0下载
二年级数学下册期末混合运算专项练习二年级数学下册期末混合运算专项练习#二年级#二年级数学下册#关注我持续更新小学知识 #知识分享 #家长收藏孩子受益.pdf
10.00金币
1下载
二年级数学下册年月日三类周期问题解题方法二年级数学下册年月日三类周期问题解题方法#二年级#二年级数学下册#知识分享 #关注我持续更新小学知识 #家长收藏孩子受益.pdf
10.00金币
0下载
二年级数学下册解决问题专项训练二年级数学下册解决问题专项训练#专项训练#解决问题#二年级#二年级数学下册#知识分享.pdf
10.00金币
1下载
二年级数学下册还原问题二年级数学下册还原问题#二年级#二年级数学#关注我持续更新小学知识 #知识分享 #家长收藏孩子受益.pdf
10.00金币
1下载
二年级数学下册第六单元考试卷家长打印出来给孩子测试测试争取拿到高分!#小学二年级试卷分享 #二年级第六单考试数学 #第六单考试#二年级数学下册.pdf
10.00金币
0下载
二年级数学下册必背顺口溜口诀汇总二年级数学下册必背顺口溜口诀汇总#二年级#二年级数学下册 #知识分享 #家长收藏孩子受益 #关注我持续更新小学知识.pdf
10.00金币
0下载
二年级数学下册《重点难点思维题》两大问题解决技巧和方法巧算星期几解决周期问题还原问题强化思维训练老师精心整理家长可以打印出来给孩子练习#家长收藏孩子受益 #学霸秘籍 #思维训练 #二年级 #知识点总结.pdf
10.00金币
0下载
二年级数学下册 必背公式大全寒假提前背一背开学更轻松#二年级 #二年级数学 #二年级数学下册 #寒假充电计划 #公式.pdf
10.00金币
0下载
蜗牛文库+ 关注
实名认证
内容提供者

提供各种专业文档内容

确认删除?
QQ
  • QQ点击这里给我发消息
微信客服
  • 微信客服
回到顶部