电脑桌面
添加蜗牛文库到电脑桌面
安装后可以在桌面快捷访问

第6章 图像复原(第2讲).pptVIP免费

第6章 图像复原(第2讲).ppt第6章 图像复原(第2讲).ppt第6章 图像复原(第2讲).ppt第6章 图像复原(第2讲).ppt第6章 图像复原(第2讲).ppt
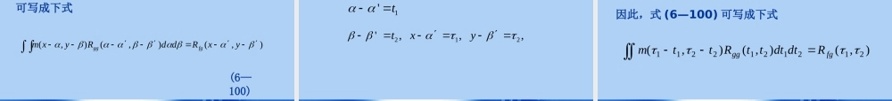
数字图像处理学第6章图像复原((第二讲第二讲))6.3.1最小二乘方滤波的原理6.3.2用于图像复原的几种最小二乘方滤波器设原始图像、相应的退化图像和噪声分别为f(x,y),g(x,y)和n(x,y)。显然,它们有如下之关系式成立:gxyhxyfddnxy(,)(,)(,)(,)(6—87)式中f(x,y),g(x,y)和n(x,y)分别为随机像场。式中噪声随机像场是不能精确知道的,但假定它的统计特性是已知的。因此,在给定了时,仍然不能精确地求解。在此,只能找出的一个估计值,使得均方误差式最小,gxy(,)fxy(,)fxy(,)(,)fxyeEfxyfxy22[(,)(,)](6—88)其中就叫给定时的最小二乘方估计。(,)fxygxy(,)fxy(,)为了便于数学处理,假定是灰度级的线性函数,那么(,)fxygxy(,)(,)(,,,)(,)fxymxygdd(6—89)这里是在计算处的时给予退化图像在点的灰度级的权重。如果随机像场是均匀的,则加权函数只与有关,所以mxy(,,,)(,)xy(,)fxy(,)(,)xy(,)(,)(,)fxymxygdd(6—90)将式(6—90)代入式(6—88),则:22),(),(),(ddgyxmyxfEe(6—91)显然,需要寻求使最小的点扩散函数。e2mxy(,)可以证明,对于xy平面上所有的位置向量(x,y)和都满足下式),(βα0)(),(),(),(βαgβdαdβαgβyαxmyxfE(6—92)的函数将使式(6—91)最小。设是一个满足式(6—92)的函数。任选一个其他函数,其均方误差由下式表示mxy(,)),(yxm22),(),(),(βdαdβαgβyαxmyxfEe(6—93)现在可证明时,使),(),(yxmyxm22),(),(),(βdαdβαgβyαxmyxfEe最小。222(,)(,)(,)(,)(,)(,)(,)(,)(,)eEfxymxygddEfxymxygddmxymxygdd(6—94)将式(6—93)改写于下22(,)(,)(,)+E(,)(,)(,)2(,)(,)(,)[(,)(,)](,)EfxymxygddmxymxygddEfxymxygddmxymxygdd(6—94)由式(6—94)可见,第一项就是,第二项总是大于零的项,所以,可写作e2(6—95)}),(),(),([),(),(),({222ddgyxmyxmddgyxmyxfEee...

1、当您付费下载文档后,您只拥有了使用权限,并不意味着购买了版权,文档只能用于自身使用,不得用于其他商业用途(如 [转卖]进行直接盈利或[编辑后售卖]进行间接盈利)。
2、本站所有内容均由合作方或网友上传,本站不对文档的完整性、权威性及其观点立场正确性做任何保证或承诺!文档内容仅供研究参考,付费前请自行鉴别。
3、如文档内容存在违规,或者侵犯商业秘密、侵犯著作权等,请点击“违规举报”。

碎片内容

蜗牛文库的最新文档

二年级数学下册其中检测卷二年级数学下册其中检测卷附答案#期中测试卷.pdf
10.00金币
0下载
二年级数学下册期末质检卷(苏教版)二年级数学下册期末质检卷(苏教版)#期末复习 #期末测试卷 #二年级数学 #二年级数学下册#关注我持续更新小学知识.pdf
10.00金币
0下载
二年级数学下册期末混合运算专项练习二年级数学下册期末混合运算专项练习#二年级#二年级数学下册#关注我持续更新小学知识 #知识分享 #家长收藏孩子受益.pdf
10.00金币
1下载
二年级数学下册年月日三类周期问题解题方法二年级数学下册年月日三类周期问题解题方法#二年级#二年级数学下册#知识分享 #关注我持续更新小学知识 #家长收藏孩子受益.pdf
10.00金币
0下载
二年级数学下册解决问题专项训练二年级数学下册解决问题专项训练#专项训练#解决问题#二年级#二年级数学下册#知识分享.pdf
10.00金币
1下载
二年级数学下册还原问题二年级数学下册还原问题#二年级#二年级数学#关注我持续更新小学知识 #知识分享 #家长收藏孩子受益.pdf
10.00金币
1下载
二年级数学下册第六单元考试卷家长打印出来给孩子测试测试争取拿到高分!#小学二年级试卷分享 #二年级第六单考试数学 #第六单考试#二年级数学下册.pdf
10.00金币
0下载
二年级数学下册必背顺口溜口诀汇总二年级数学下册必背顺口溜口诀汇总#二年级#二年级数学下册 #知识分享 #家长收藏孩子受益 #关注我持续更新小学知识.pdf
10.00金币
0下载
二年级数学下册《重点难点思维题》两大问题解决技巧和方法巧算星期几解决周期问题还原问题强化思维训练老师精心整理家长可以打印出来给孩子练习#家长收藏孩子受益 #学霸秘籍 #思维训练 #二年级 #知识点总结.pdf
10.00金币
0下载
二年级数学下册 必背公式大全寒假提前背一背开学更轻松#二年级 #二年级数学 #二年级数学下册 #寒假充电计划 #公式.pdf
10.00金币
0下载
蜗牛文库+ 关注
实名认证
内容提供者

提供各种专业文档内容

确认删除?
QQ
  • QQ点击这里给我发消息
微信客服
  • 微信客服
回到顶部