电脑桌面
添加蜗牛文库到电脑桌面
安装后可以在桌面快捷访问

专题九解析几何第二十五讲直线与圆答案.docVIP免费

专题九解析几何第二十五讲直线与圆答案.doc_第1页
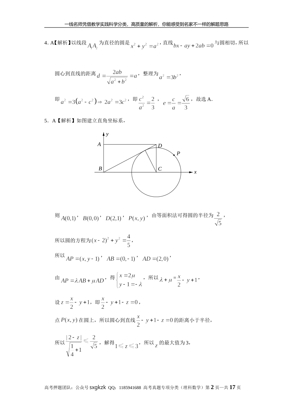
专题九解析几何第二十五讲直线与圆答案.doc_第2页
专题九解析几何第二十五讲直线与圆答案.doc_第3页
一线名师凭借教学实践科学分类,高质量的解析,你能感受到名家不一样的解题思路专题九解析几何第二十五讲直线与圆答案部分1.A【解析】圆心到直线的距离,所以点到直线的距离.根据直线的方程可知,两点的坐标分别为,,所以,所以的面积.因为,所以,即面积的取值范围是.故选A.2.【解析】直线的普通方程为,圆的标准方程为,圆心为,半径为1,点到直线的距离,所以,所以.3.C【解析】由题意可得(其中,), ,∴,,∴当时,取得最大值3,故选C.高考押题团队:公众号sxgkzkQQ:1185941688高考真题专项分类(理科数学)第1页—共17页一线名师凭借教学实践科学分类,高质量的解析,你能感受到名家不一样的解题思路4.A【解析】以线段为直径的圆是,直线与圆相切,所以圆心到直线的距离,整理为,即,即,,故选A.5.A【解析】如图建立直角坐标系,yxPABCD则,,,,由等面积法可得圆的半径为,所以圆的方程为,所以,,,由,得,所以=,设,即,点在圆上,所以圆心到直线的距离小于半径,所以,解得,所以的最大值为3,高考押题团队:公众号sxgkzkQQ:1185941688高考真题专项分类(理科数学)第2页—共17页一线名师凭借教学实践科学分类,高质量的解析,你能感受到名家不一样的解题思路即的最大值为3,选A.6.D【解析】关于轴对称点的坐标为,设反射光线所在直线为,即,则,,解得或.7.A【解析】设所求直线的方程为,则,所以,故所求直线的方程为或.8.C【解析】设过三点的圆的方程为,则,解得,所求圆的方程为,令,得,设,,则,,所以.9.C【解析】圆C标准方程为22(2)(1)4xy,圆心为(2,1)C,半径为2r,因此2110a,1a,即(4,1)A,2222(42)(11)46ABACr.选C.10.A【解析】当点的坐标为时,圆上存在点,使得,所以符合题意,排除B、D;当点的坐标为时,,过点作圆高考押题团队:公众号sxgkzkQQ:1185941688高考真题专项分类(理科数学)第3页—共17页一线名师凭借教学实践科学分类,高质量的解析,你能感受到名家不一样的解题思路的一条切线,连接,则在中,,则,故此时在圆上不存在点,使得,即不符合题意,排除C,故选A.11.D【解析】直线过点,斜率为,所以直线的方程为.12.B【解析】因为圆的圆心为,半径为1,,所以以原点为圆心、以为半径与圆有公共点的最大圆的半径为6,所以的最大值为6,故选B.13.C【解析】由题意得,,,所以.14.D【解析】设直线的倾斜角为,由...

1、当您付费下载文档后,您只拥有了使用权限,并不意味着购买了版权,文档只能用于自身使用,不得用于其他商业用途(如 [转卖]进行直接盈利或[编辑后售卖]进行间接盈利)。
2、本站所有内容均由合作方或网友上传,本站不对文档的完整性、权威性及其观点立场正确性做任何保证或承诺!文档内容仅供研究参考,付费前请自行鉴别。
3、如文档内容存在违规,或者侵犯商业秘密、侵犯著作权等,请点击“违规举报”。

碎片内容

蜗牛文库的最新文档

二年级数学下册其中检测卷二年级数学下册其中检测卷附答案#期中测试卷.pdf
10.00金币
0下载
二年级数学下册期末质检卷(苏教版)二年级数学下册期末质检卷(苏教版)#期末复习 #期末测试卷 #二年级数学 #二年级数学下册#关注我持续更新小学知识.pdf
10.00金币
0下载
二年级数学下册期末混合运算专项练习二年级数学下册期末混合运算专项练习#二年级#二年级数学下册#关注我持续更新小学知识 #知识分享 #家长收藏孩子受益.pdf
10.00金币
1下载
二年级数学下册年月日三类周期问题解题方法二年级数学下册年月日三类周期问题解题方法#二年级#二年级数学下册#知识分享 #关注我持续更新小学知识 #家长收藏孩子受益.pdf
10.00金币
0下载
二年级数学下册解决问题专项训练二年级数学下册解决问题专项训练#专项训练#解决问题#二年级#二年级数学下册#知识分享.pdf
10.00金币
1下载
二年级数学下册还原问题二年级数学下册还原问题#二年级#二年级数学#关注我持续更新小学知识 #知识分享 #家长收藏孩子受益.pdf
10.00金币
1下载
二年级数学下册第六单元考试卷家长打印出来给孩子测试测试争取拿到高分!#小学二年级试卷分享 #二年级第六单考试数学 #第六单考试#二年级数学下册.pdf
10.00金币
0下载
二年级数学下册必背顺口溜口诀汇总二年级数学下册必背顺口溜口诀汇总#二年级#二年级数学下册 #知识分享 #家长收藏孩子受益 #关注我持续更新小学知识.pdf
10.00金币
0下载
二年级数学下册《重点难点思维题》两大问题解决技巧和方法巧算星期几解决周期问题还原问题强化思维训练老师精心整理家长可以打印出来给孩子练习#家长收藏孩子受益 #学霸秘籍 #思维训练 #二年级 #知识点总结.pdf
10.00金币
0下载
二年级数学下册 必背公式大全寒假提前背一背开学更轻松#二年级 #二年级数学 #二年级数学下册 #寒假充电计划 #公式.pdf
10.00金币
0下载
蜗牛文库+ 关注
实名认证
内容提供者

提供各种专业文档内容

确认删除?
QQ
  • QQ点击这里给我发消息
微信客服
  • 微信客服
回到顶部