电脑桌面
添加蜗牛文库到电脑桌面
安装后可以在桌面快捷访问

2018年全国硕士研究生入学统一考试数学(二)真题及解析.docVIP免费

2018年全国硕士研究生入学统一考试数学(二)真题及解析.doc_第1页
2018年全国硕士研究生入学统一考试数学(二)真题及解析.doc_第2页
2018年全国硕士研究生入学统一考试数学(二)真题及解析.doc_第3页
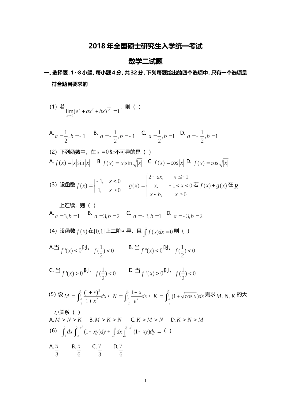
2018年全国硕士研究生入学统一考试数学二试题一、选择题:1~8小题,每小题4分,共32分,下列每题给出的四个选项中,只有一个选项是符合题目要求的(1)若,则()A.B.C.D.(2)下列函数中,在处不可导的是()A.B.C.D.(3)设函数若在上连续,则()A.B.C.D.(4)设函数在上二阶可导,且则()A.当时,B.当时,C.当时,D.当时,(5)设,,则求的大小关系()A.B.C.D.(6)()A.B.C.D.1(7)下列矩阵中,与矩阵相似的为()A.B.C.D.(8).设,为阶矩阵,记为矩阵的秩,()表示分块矩阵,则()A.B.C.D.二、填空题:9-14小题,每小题4分,共24分。(9)_________.(10)曲线在其拐点处的切线方程是________.(11)___________.(12)曲线在对应点的曲率为.(13)设函数由方程确定,则.(14)设A为3阶矩阵,为线性无关的向量组,若,则A的实际特征值为.三、解答题:15~23小题,共94分。解答应写出文字说明、证明过程或演算步骤。(15)求不定积分(16)已知连续函数满足(I)求2(II)若在区间[0,1]上的平均值为1,求的值。(17)设平面区域D由曲线计算二重积分(18)已知常数,证明(19)一根绳长2m,截成三段,分别折成圆、正三角形、正方形,这三段分别为多长时所得的面积总和最小,并求该最小值。(20)已知曲线,点,设P是L上的动点,S是直线OA与直线AP及曲线L所围图形的面积,若P运动到点(3,4)时沿x轴正向的速度是4,求此时S关于时间t的变化率。(21)设数列,,.证:数列收敛,并求.(22)设实二次型其中a是参数,(I)求的解(II)求的规范形(23)已知a是常数,且矩阵可经初等变换化为矩阵(I)求a(II)求满足的可逆矩阵P2018考研数学二答案解析一、选择题:1~8小题,每小题4分,共32分.请将答案写在答题纸指定位置上.(1)【答案】选B.【解答】,3,选B.(2)【答案】选D.【解答】对于D:由定义得;,,所以不可导.(3)【答案】选D【解答】分段点为,当时,,当时,,当时,,综上知:,,,选D.(4)【答案】选D【解答】对于选项A:取对于选项B:取对于选项C:取选D.(5)【答案】选C.【解答】;4;.选C.(6)【答案】C关于轴对称原式=,选C(7)【答案】选A.【解答】选A.(8)【答案】A【解答】设,则矩阵A的列向量组可以表示C的列向量组,所以,即,故答案选A.二、填空题:9~14小题,每小题4分,共24分.请将答案写在答题纸指定位置上.(9)_________.解:由拉格朗日中值定理得:.且当时.原式.5(10)曲线在其拐点处的切线方程是________...

1、当您付费下载文档后,您只拥有了使用权限,并不意味着购买了版权,文档只能用于自身使用,不得用于其他商业用途(如 [转卖]进行直接盈利或[编辑后售卖]进行间接盈利)。
2、本站所有内容均由合作方或网友上传,本站不对文档的完整性、权威性及其观点立场正确性做任何保证或承诺!文档内容仅供研究参考,付费前请自行鉴别。
3、如文档内容存在违规,或者侵犯商业秘密、侵犯著作权等,请点击“违规举报”。

碎片内容

蜗牛文库的最新文档

二年级数学下册其中检测卷二年级数学下册其中检测卷附答案#期中测试卷.pdf
10.00金币
0下载
二年级数学下册期末质检卷(苏教版)二年级数学下册期末质检卷(苏教版)#期末复习 #期末测试卷 #二年级数学 #二年级数学下册#关注我持续更新小学知识.pdf
10.00金币
0下载
二年级数学下册期末混合运算专项练习二年级数学下册期末混合运算专项练习#二年级#二年级数学下册#关注我持续更新小学知识 #知识分享 #家长收藏孩子受益.pdf
10.00金币
1下载
二年级数学下册年月日三类周期问题解题方法二年级数学下册年月日三类周期问题解题方法#二年级#二年级数学下册#知识分享 #关注我持续更新小学知识 #家长收藏孩子受益.pdf
10.00金币
0下载
二年级数学下册解决问题专项训练二年级数学下册解决问题专项训练#专项训练#解决问题#二年级#二年级数学下册#知识分享.pdf
10.00金币
1下载
二年级数学下册还原问题二年级数学下册还原问题#二年级#二年级数学#关注我持续更新小学知识 #知识分享 #家长收藏孩子受益.pdf
10.00金币
1下载
二年级数学下册第六单元考试卷家长打印出来给孩子测试测试争取拿到高分!#小学二年级试卷分享 #二年级第六单考试数学 #第六单考试#二年级数学下册.pdf
10.00金币
0下载
二年级数学下册必背顺口溜口诀汇总二年级数学下册必背顺口溜口诀汇总#二年级#二年级数学下册 #知识分享 #家长收藏孩子受益 #关注我持续更新小学知识.pdf
10.00金币
0下载
二年级数学下册《重点难点思维题》两大问题解决技巧和方法巧算星期几解决周期问题还原问题强化思维训练老师精心整理家长可以打印出来给孩子练习#家长收藏孩子受益 #学霸秘籍 #思维训练 #二年级 #知识点总结.pdf
10.00金币
0下载
二年级数学下册 必背公式大全寒假提前背一背开学更轻松#二年级 #二年级数学 #二年级数学下册 #寒假充电计划 #公式.pdf
10.00金币
0下载
蜗牛文库+ 关注
实名认证
内容提供者

提供各种专业文档内容

确认删除?
QQ
  • QQ点击这里给我发消息
微信客服
  • 微信客服
回到顶部