电脑桌面
添加蜗牛文库到电脑桌面
安装后可以在桌面快捷访问

2017年全国硕士研究生入学统一考试数学(二)真题及解析.docVIP免费

2017年全国硕士研究生入学统一考试数学(二)真题及解析.doc_第1页
2017年全国硕士研究生入学统一考试数学(二)真题及解析.doc_第2页
2017年全国硕士研究生入学统一考试数学(二)真题及解析.doc_第3页
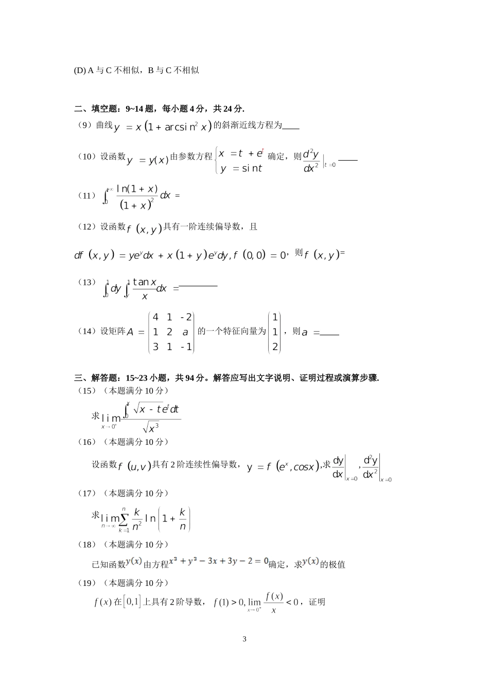
2017年全国硕士研究生入学统一考试数学二试题一、选择题:1~8小题,每小题4分,共32分。下列每题给出的四个选项中,只有一个选项是符合题目要求的.(1)若函数在x=0连续,则(A)(B)(C)(D)(2)设二阶可到函数满足且,则(A)(B)(C)(D)(3)设数列收敛,则(A)当时,(B)当时,则(C)当,(D)当时,(4)微分方程的特解可设为(A)(B)(C)(D)(5)设具有一阶偏导数,且在任意的,都有则1(A)(B)(C)(D)(6)甲乙两人赛跑,计时开始时,甲在乙前方10(单位:m)处,图中,实线表示甲的速度曲线(单位:m/s)虚线表示乙的速度曲线,三块阴影部分面积的数值依次为10,20,3,计时开始后乙追上甲的时刻记为(单位:s),则(A)(B)(C)(D)(7)设为三阶矩阵,为可逆矩阵,使得,则(A)(B)(C)(D)(8)已知矩阵,,,则(A)A与C相似,B与C相似(B)A与C相似,B与C不相似(C)A与C不相似,B与C相似2(D)A与C不相似,B与C不相似二、填空题:9~14题,每小题4分,共24分.(9)曲线的斜渐近线方程为(10)设函数由参数方程确定,则(11)=(12)设函数具有一阶连续偏导数,且,则=(13)(14)设矩阵的一个特征向量为,则三、解答题:15~23小题,共94分。解答应写出文字说明、证明过程或演算步骤.(15)(本题满分10分)求(16)(本题满分10分)设函数具有2阶连续性偏导数,,求,(17)(本题满分10分)求(18)(本题满分10分)已知函数由方程确定,求的极值(19)(本题满分10分)在上具有2阶导数,,证明3(1)方程在区间至少存在一个根(2)方程在区间内至少存在两个不同的实根(20)(本题满分11分)已知平面区域,计算二重积分(21)(本题满分11分)设是区间内的可导函数,且,点是曲线上的任意一点,在点处的切线与轴相交于点,法线与轴相交于点,若,求上点的坐标满足的方程。(22)(本题满分11分)三阶行列式有3个不同的特征值,且(1)证明(2)如果求方程组的通解(23)(本题满分11分)设在正交变换下的标准型为求的值及一个正交矩阵.42017年全国硕士研究生入学统一考试数学二试题解析一、选择题:1~8小题,每小题4分,共32分,下列每小题给出的四个选项中,只有一项符合题目要求的,请将所选项前的字母填在答题纸指定位置上.(1))若函数在处连续,则()(A)(B)(C)(D)【答案】A【解析】0011cos12limlim,()2xxxxfxaxaxa在0x处连续11.22baba选A.(2)设二阶可导函数满足且,则()【答案】B【解析】()fx为偶函数时满足题设条件,此时0110()()fxdxfxd...

1、当您付费下载文档后,您只拥有了使用权限,并不意味着购买了版权,文档只能用于自身使用,不得用于其他商业用途(如 [转卖]进行直接盈利或[编辑后售卖]进行间接盈利)。
2、本站所有内容均由合作方或网友上传,本站不对文档的完整性、权威性及其观点立场正确性做任何保证或承诺!文档内容仅供研究参考,付费前请自行鉴别。
3、如文档内容存在违规,或者侵犯商业秘密、侵犯著作权等,请点击“违规举报”。

碎片内容

蜗牛文库的最新文档

二年级数学下册其中检测卷二年级数学下册其中检测卷附答案#期中测试卷.pdf
10.00金币
0下载
二年级数学下册期末质检卷(苏教版)二年级数学下册期末质检卷(苏教版)#期末复习 #期末测试卷 #二年级数学 #二年级数学下册#关注我持续更新小学知识.pdf
10.00金币
0下载
二年级数学下册期末混合运算专项练习二年级数学下册期末混合运算专项练习#二年级#二年级数学下册#关注我持续更新小学知识 #知识分享 #家长收藏孩子受益.pdf
10.00金币
1下载
二年级数学下册年月日三类周期问题解题方法二年级数学下册年月日三类周期问题解题方法#二年级#二年级数学下册#知识分享 #关注我持续更新小学知识 #家长收藏孩子受益.pdf
10.00金币
0下载
二年级数学下册解决问题专项训练二年级数学下册解决问题专项训练#专项训练#解决问题#二年级#二年级数学下册#知识分享.pdf
10.00金币
1下载
二年级数学下册还原问题二年级数学下册还原问题#二年级#二年级数学#关注我持续更新小学知识 #知识分享 #家长收藏孩子受益.pdf
10.00金币
1下载
二年级数学下册第六单元考试卷家长打印出来给孩子测试测试争取拿到高分!#小学二年级试卷分享 #二年级第六单考试数学 #第六单考试#二年级数学下册.pdf
10.00金币
0下载
二年级数学下册必背顺口溜口诀汇总二年级数学下册必背顺口溜口诀汇总#二年级#二年级数学下册 #知识分享 #家长收藏孩子受益 #关注我持续更新小学知识.pdf
10.00金币
0下载
二年级数学下册《重点难点思维题》两大问题解决技巧和方法巧算星期几解决周期问题还原问题强化思维训练老师精心整理家长可以打印出来给孩子练习#家长收藏孩子受益 #学霸秘籍 #思维训练 #二年级 #知识点总结.pdf
10.00金币
0下载
二年级数学下册 必背公式大全寒假提前背一背开学更轻松#二年级 #二年级数学 #二年级数学下册 #寒假充电计划 #公式.pdf
10.00金币
0下载
蜗牛文库+ 关注
实名认证
内容提供者

提供各种专业文档内容

确认删除?
QQ
  • QQ点击这里给我发消息
微信客服
  • 微信客服
回到顶部