电脑桌面
添加蜗牛文库到电脑桌面
安装后可以在桌面快捷访问

2004年全国硕士研究生入学统一考试数学(二)真题及解析.docVIP免费

2004年全国硕士研究生入学统一考试数学(二)真题及解析.doc_第1页
2004年全国硕士研究生入学统一考试数学(二)真题及解析.doc_第2页
2004年全国硕士研究生入学统一考试数学(二)真题及解析.doc_第3页
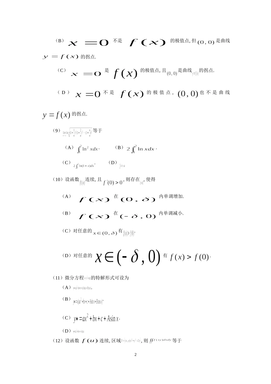
2004年全国硕士研究生入学统一考试数学(二)试题一.填空题(本题共6小题,每小题4分,满分24分.把答案填在题中横线上.)(1)设,则的间断点为.(2)设函数由参数方程确定,则曲线向上凸的取值范围为____..(3)_____..(4)设函数由方程确定,则______.(5)微分方程满足的特解为_______.(6)设矩阵,矩阵满足,其中为的伴随矩阵,是单位矩阵,则______-.二.选择题(本题共8小题,每小题4分,满分32分.每小题给出的四个选项中,只有一项符合题目要求,把所选项前的字母填在题后的括号内.)(7)把时的无穷小量,,排列起来,使排在后面的是前一个的高阶无穷小,则正确的排列次序是(A)(B)(C)(D)(8)设,则(A)是的极值点,但不是曲线的拐点.1(B)不是的极值点,但是曲线的拐点.(C)是的极值点,且是曲线的拐点.(D)不是的极值点,也不是曲线的拐点.(9)等于(A).(B).(C).(D)(10)设函数连续,且,则存在,使得(A)在内单调增加.(B)在内单调减小.(C)对任意的有.(D)对任意的有.(11)微分方程的特解形式可设为(A).(B).(C).(D)(12)设函数连续,区域,则等于2(A).(B).(C).(D)(13)设是3阶方阵,将的第1列与第2列交换得,再把的第2列加到第3列得,则满足的可逆矩阵为(A).(B).(C).(D).(14)设,为满足的任意两个非零矩阵,则必有(A)的列向量组线性相关,的行向量组线性相关.(B)的列向量组线性相关,的列向量组线性相关.(C)的行向量组线性相关,的行向量组线性相关.(D)的行向量组线性相关,的列向量组线性相关.三.解答题(本题共9小题,满分94分.解答应写出文字说明、证明过程或演算步骤.)(15)(本题满分10分)求极限.(16)(本题满分10分)3设函数在()上有定义,在区间上,,若对任意的都满足,其中为常数.()Ⅰ写出在上的表达式;()Ⅱ问为何值时,在处可导.(17)(本题满分11分)设,()Ⅰ证明是以为周期的周期函数;()Ⅱ求的值域.(18)(本题满分12分)曲线与直线及围成一曲边梯形.该曲边梯形绕轴旋转一周得一旋转体,其体积为,侧面积为,在处的底面积为.()Ⅰ求的值;()Ⅱ计算极限.(19)(本题满分12分)设,证明.(20)(本题满分11分)某种飞机在机场降落时,为了减小滑行距离,在触地的瞬间,飞机尾部张开减速伞,以增大阻力,使飞机迅速减速并停下来.现有一质量为的飞机,着陆时的水平速度为.经测试,减速伞打开后,飞机所受的总阻力与飞机的速度成正比(比例系数为).问从着陆点算起,飞机滑行的最长距离是多少?注表示千克,表示...

1、当您付费下载文档后,您只拥有了使用权限,并不意味着购买了版权,文档只能用于自身使用,不得用于其他商业用途(如 [转卖]进行直接盈利或[编辑后售卖]进行间接盈利)。
2、本站所有内容均由合作方或网友上传,本站不对文档的完整性、权威性及其观点立场正确性做任何保证或承诺!文档内容仅供研究参考,付费前请自行鉴别。
3、如文档内容存在违规,或者侵犯商业秘密、侵犯著作权等,请点击“违规举报”。

碎片内容

蜗牛文库的最新文档

二年级数学下册其中检测卷二年级数学下册其中检测卷附答案#期中测试卷.pdf
10.00金币
0下载
二年级数学下册期末质检卷(苏教版)二年级数学下册期末质检卷(苏教版)#期末复习 #期末测试卷 #二年级数学 #二年级数学下册#关注我持续更新小学知识.pdf
10.00金币
0下载
二年级数学下册期末混合运算专项练习二年级数学下册期末混合运算专项练习#二年级#二年级数学下册#关注我持续更新小学知识 #知识分享 #家长收藏孩子受益.pdf
10.00金币
1下载
二年级数学下册年月日三类周期问题解题方法二年级数学下册年月日三类周期问题解题方法#二年级#二年级数学下册#知识分享 #关注我持续更新小学知识 #家长收藏孩子受益.pdf
10.00金币
0下载
二年级数学下册解决问题专项训练二年级数学下册解决问题专项训练#专项训练#解决问题#二年级#二年级数学下册#知识分享.pdf
10.00金币
1下载
二年级数学下册还原问题二年级数学下册还原问题#二年级#二年级数学#关注我持续更新小学知识 #知识分享 #家长收藏孩子受益.pdf
10.00金币
1下载
二年级数学下册第六单元考试卷家长打印出来给孩子测试测试争取拿到高分!#小学二年级试卷分享 #二年级第六单考试数学 #第六单考试#二年级数学下册.pdf
10.00金币
0下载
二年级数学下册必背顺口溜口诀汇总二年级数学下册必背顺口溜口诀汇总#二年级#二年级数学下册 #知识分享 #家长收藏孩子受益 #关注我持续更新小学知识.pdf
10.00金币
0下载
二年级数学下册《重点难点思维题》两大问题解决技巧和方法巧算星期几解决周期问题还原问题强化思维训练老师精心整理家长可以打印出来给孩子练习#家长收藏孩子受益 #学霸秘籍 #思维训练 #二年级 #知识点总结.pdf
10.00金币
0下载
二年级数学下册 必背公式大全寒假提前背一背开学更轻松#二年级 #二年级数学 #二年级数学下册 #寒假充电计划 #公式.pdf
10.00金币
0下载
蜗牛文库+ 关注
实名认证
内容提供者

提供各种专业文档内容

确认删除?
QQ
  • QQ点击这里给我发消息
微信客服
  • 微信客服
回到顶部