电脑桌面
添加蜗牛文库到电脑桌面
安装后可以在桌面快捷访问

[8866925]22.2 平行四边形课时训练(含答案).docVIP免费

[8866925]22.2 平行四边形课时训练(含答案).doc_第1页
[8866925]22.2 平行四边形课时训练(含答案).doc_第2页
[8866925]22.2 平行四边形课时训练(含答案).doc_第3页
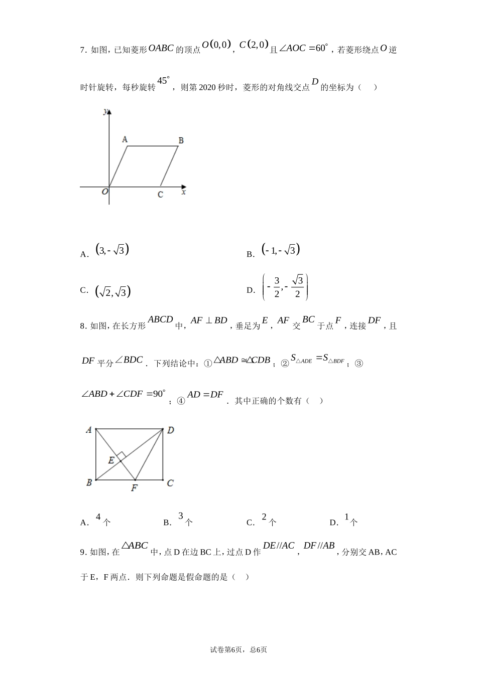
第二十二章第二节平行四边形课时训练学校:___________姓名:___________班级:___________考号:___________一、单选题1.如图,四边形OABC是矩形,四边形ADEF是边长为3的正方形,点A,D在x轴的正半轴上,点C在y轴的正半轴上,点F在边AB上,点B、E在双曲线(0)kyxx上,且5BF,则k值为().A.15B.714C.725D.172.如图,在RtABC△和Rt△ABD中,90ACBADB,10AB,M是AB的中点,连接MC,MD,CD,若6CD,则MCD△的面积为()A.12B.12.5C.15D.243.如图,边长为22的正方形,剪去四个角后成为一个正八边形,则这个正八边形的边长为()试卷第6页,总6页A.0.5B.22C.1D.24.如图,已知正方形ABCD与正方形AEFG的边长分别为4和1,若将正方形AEFG绕点A旋转,则在旋转过程中,点,CE之间的最小距离为()A.3B.421C.321D.425.如图所示,在菱形ABCD中,5AC,120BCD,则菱形ABC的周长是().A.20B.15C.10D.56.如图,四边形ABCD沿直线l对折后重合,如果//ADBC,则结论①AB//CD;②AB=CD;③ABBC;④AOOC中正确的是()A.1个B.2个C.3个D.4个试卷第6页,总6页7.如图,已知菱形OABC的顶点0,0O,2,0C且60AOC,若菱形绕点O逆时针旋转,每秒旋转45,则第2020秒时,菱形的对角线交点D的坐标为()A.3,3B.1,3C.2,3D.33,228.如图,在长方形ABCD中,AFBD,垂足为E,AF交BC于点F,连接DF,且DF平分BDC∠.下列结论中:①ABDCDB;②ADEBDFSS△△;③90ABDCDF;④ADDF.其中正确的个数有()A.4个B.3个C.2个D.1个9.如图,在ABC中,点D在边BC上,过点D作//DEAC,//DFAB,分别交AB,AC于E,F两点.则下列命题是假命题的是()试卷第6页,总6页A.四边形AEDF是平行四边形B.若90BC,则四边形AEDF是矩形C.若BDCD,则四边形AEDF是菱形D.若ADBD,则四边形AEDF是矩形10.已知平行四边形ABCD的一边长为5,则对角线AC,BD的长可取下列数据中的()A.2和4B.3和4C.4和5D.5和6二、填空题11.如图,正方形ABCD的边长为8,点E为边BC的中点,点P在对角线BD上移动,则PE+PC的最小值是_____.12.菱形ABCD周长为52cm,它的一条对角线长为10cm,则另一条对角线长为__________cm.13.如图,菱形ABCD的边长为10,对角线BD的长为16,点E,F分别是边AD,CD的中点,连接EF并延长与BC的延长线相交于点G,则EG的长为_____...

1、当您付费下载文档后,您只拥有了使用权限,并不意味着购买了版权,文档只能用于自身使用,不得用于其他商业用途(如 [转卖]进行直接盈利或[编辑后售卖]进行间接盈利)。
2、本站所有内容均由合作方或网友上传,本站不对文档的完整性、权威性及其观点立场正确性做任何保证或承诺!文档内容仅供研究参考,付费前请自行鉴别。
3、如文档内容存在违规,或者侵犯商业秘密、侵犯著作权等,请点击“违规举报”。

碎片内容

蜗牛文库的最新文档

二年级数学下册其中检测卷二年级数学下册其中检测卷附答案#期中测试卷.pdf
10.00金币
0下载
二年级数学下册期末质检卷(苏教版)二年级数学下册期末质检卷(苏教版)#期末复习 #期末测试卷 #二年级数学 #二年级数学下册#关注我持续更新小学知识.pdf
10.00金币
0下载
二年级数学下册期末混合运算专项练习二年级数学下册期末混合运算专项练习#二年级#二年级数学下册#关注我持续更新小学知识 #知识分享 #家长收藏孩子受益.pdf
10.00金币
1下载
二年级数学下册年月日三类周期问题解题方法二年级数学下册年月日三类周期问题解题方法#二年级#二年级数学下册#知识分享 #关注我持续更新小学知识 #家长收藏孩子受益.pdf
10.00金币
0下载
二年级数学下册解决问题专项训练二年级数学下册解决问题专项训练#专项训练#解决问题#二年级#二年级数学下册#知识分享.pdf
10.00金币
1下载
二年级数学下册还原问题二年级数学下册还原问题#二年级#二年级数学#关注我持续更新小学知识 #知识分享 #家长收藏孩子受益.pdf
10.00金币
1下载
二年级数学下册第六单元考试卷家长打印出来给孩子测试测试争取拿到高分!#小学二年级试卷分享 #二年级第六单考试数学 #第六单考试#二年级数学下册.pdf
10.00金币
0下载
二年级数学下册必背顺口溜口诀汇总二年级数学下册必背顺口溜口诀汇总#二年级#二年级数学下册 #知识分享 #家长收藏孩子受益 #关注我持续更新小学知识.pdf
10.00金币
0下载
二年级数学下册《重点难点思维题》两大问题解决技巧和方法巧算星期几解决周期问题还原问题强化思维训练老师精心整理家长可以打印出来给孩子练习#家长收藏孩子受益 #学霸秘籍 #思维训练 #二年级 #知识点总结.pdf
10.00金币
0下载
二年级数学下册 必背公式大全寒假提前背一背开学更轻松#二年级 #二年级数学 #二年级数学下册 #寒假充电计划 #公式.pdf
10.00金币
0下载
蜗牛文库+ 关注
实名认证
内容提供者

提供各种专业文档内容

确认删除?
QQ
  • QQ点击这里给我发消息
微信客服
  • 微信客服
回到顶部