电脑桌面
添加蜗牛文库到电脑桌面
安装后可以在桌面快捷访问

6.5实数小结.pptxVIP免费

6.5实数小结.pptx6.5实数小结.pptx6.5实数小结.pptx6.5实数小结.pptx
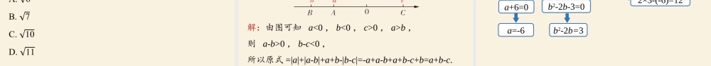
6.5实数小结七年级下册RJ初中数学算术平方根若x2=a(x>0),则正数x叫做a的算术平方根定义表示方法平方根若x2=a,则x叫做a的平方根定义表示方法求一个数a的平方根的运算叫做开平方开平方平方根知识梳理平方根的性质一个正数有两个平方根,它们互为相反数0的算术平方根与平方根都是0负数没有算术平方根,也没有平方根若x3=a,则x叫做a的立方根定义立方根表示方法正数的立方根是一个正数性质求一个数的立方根的运算叫做开立方开立方负数的立方根是一个负数0的立方根是0有限小数和无限循环小数无限不循环小数分类实数相反数有关概念实数的运算性质、运算法则、运算律与有理数相同运算绝对值有理数无理数意义与有理数相同实数每一个实数都可以用数轴上的一个点来表示数轴上的每一个点都表示一个实数数轴上的点一一对应一般地,如果一个正数x的平方等于a,即x2=a,那么这个正数x叫做a的.算术平方根1.算术平方根(1)算术平方根的双重非负性aa的算术平方根非负数0a非负数0a(2)算术平方根的估算在估计有理数的算术平方根的过程中,为方便计算,可借助计算器求一个正有理数a的算术平方根(或其近似数).(3)用计算器求算术平方根a=按键顺序:注意:计算器的型号不同,按键顺序可能有所不同,要注意阅读使用说明书.平方根的性质:①正数有两个平方根,两个平方根互为相反数;②0的平方根还是0;③负数没有平方根.一般地,如果一个数的平方等于a,那么这个数叫做a的或.这就是说,如果x2=a,那么x叫做a的平方根.平方根2.平方根二次方根一般地,如果一个数的立方等于a,那么这个数叫做a的或.这就是说,如果x3=a,那么x叫做a的立方根.3.立方根立方根三次方根(1)立方根的性质:①正数的立方根是正数;②0的立方根是0;③负数的立方根是负数.(2)用计算器求立方根无限不循环小数叫做_______;有理数和无理数统称为.4.实数无理数实数①按定义分实数有理数无理数正有理数0负有理数正无理数负无理数(1)实数的分类②按大小分实数正实数负实数正有理数正无理数负有理数负无理数0每一个实数都可以用数轴上的一个点来表示;反过来,数轴上的每一点都表示一个实数.(2)实数和数轴上的点一一对应.①正数大于零,负数小于零,正数大于负数;②两个正数,绝对值大的数较大;③两个负数,绝对值大的数反而小.(3)实数的大小比较相反数:数a的相反数是-a,这里a表示任意一个实数.绝对值:一个正实数的绝对值是它本身;一个负实数的绝对值是它的相反数;0的绝对值是0.设a表示一个实数,...

1、当您付费下载文档后,您只拥有了使用权限,并不意味着购买了版权,文档只能用于自身使用,不得用于其他商业用途(如 [转卖]进行直接盈利或[编辑后售卖]进行间接盈利)。
2、本站所有内容均由合作方或网友上传,本站不对文档的完整性、权威性及其观点立场正确性做任何保证或承诺!文档内容仅供研究参考,付费前请自行鉴别。
3、如文档内容存在违规,或者侵犯商业秘密、侵犯著作权等,请点击“违规举报”。

碎片内容

蜗牛文库的最新文档

二年级数学下册其中检测卷二年级数学下册其中检测卷附答案#期中测试卷.pdf
10.00金币
0下载
二年级数学下册期末质检卷(苏教版)二年级数学下册期末质检卷(苏教版)#期末复习 #期末测试卷 #二年级数学 #二年级数学下册#关注我持续更新小学知识.pdf
10.00金币
0下载
二年级数学下册期末混合运算专项练习二年级数学下册期末混合运算专项练习#二年级#二年级数学下册#关注我持续更新小学知识 #知识分享 #家长收藏孩子受益.pdf
10.00金币
1下载
二年级数学下册年月日三类周期问题解题方法二年级数学下册年月日三类周期问题解题方法#二年级#二年级数学下册#知识分享 #关注我持续更新小学知识 #家长收藏孩子受益.pdf
10.00金币
0下载
二年级数学下册解决问题专项训练二年级数学下册解决问题专项训练#专项训练#解决问题#二年级#二年级数学下册#知识分享.pdf
10.00金币
1下载
二年级数学下册还原问题二年级数学下册还原问题#二年级#二年级数学#关注我持续更新小学知识 #知识分享 #家长收藏孩子受益.pdf
10.00金币
1下载
二年级数学下册第六单元考试卷家长打印出来给孩子测试测试争取拿到高分!#小学二年级试卷分享 #二年级第六单考试数学 #第六单考试#二年级数学下册.pdf
10.00金币
0下载
二年级数学下册必背顺口溜口诀汇总二年级数学下册必背顺口溜口诀汇总#二年级#二年级数学下册 #知识分享 #家长收藏孩子受益 #关注我持续更新小学知识.pdf
10.00金币
0下载
二年级数学下册《重点难点思维题》两大问题解决技巧和方法巧算星期几解决周期问题还原问题强化思维训练老师精心整理家长可以打印出来给孩子练习#家长收藏孩子受益 #学霸秘籍 #思维训练 #二年级 #知识点总结.pdf
10.00金币
0下载
二年级数学下册 必背公式大全寒假提前背一背开学更轻松#二年级 #二年级数学 #二年级数学下册 #寒假充电计划 #公式.pdf
10.00金币
0下载
蜗牛文库+ 关注
实名认证
内容提供者

提供各种专业文档内容

确认删除?
QQ
  • QQ点击这里给我发消息
微信客服
  • 微信客服
回到顶部