电脑桌面
添加蜗牛文库到电脑桌面
安装后可以在桌面快捷访问

(人教版)高中数学选修1-1课件:第3章 导数及其应用3.1.1、2 .pptVIP免费

(人教版)高中数学选修1-1课件:第3章 导数及其应用3.1.1、2 .ppt(人教版)高中数学选修1-1课件:第3章 导数及其应用3.1.1、2 .ppt(人教版)高中数学选修1-1课件:第3章 导数及其应用3.1.1、2 .ppt(人教版)高中数学选修1-1课件:第3章 导数及其应用3.1.1、2 .ppt(人教版)高中数学选修1-1课件:第3章 导数及其应用3.1.1、2 .ppt
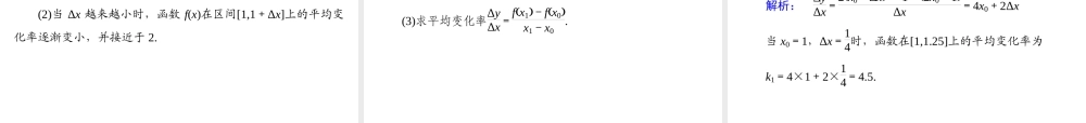
数学选修1-1第三章导数及其应用自主学习新知突破自主学习新知突破合作探究课堂互动合作探究课堂互动高效测评知能提升高效测评知能提升第三章导数及其应用数学选修1-1第三章导数及其应用自主学习新知突破自主学习新知突破合作探究课堂互动合作探究课堂互动高效测评知能提升高效测评知能提升3.1变化率与导数3.1.1变化率问题3.1.2导数的概念数学选修1-1第三章导数及其应用自主学习新知突破自主学习新知突破合作探究课堂互动合作探究课堂互动高效测评知能提升高效测评知能提升自主学习新知突破数学选修1-1第三章导数及其应用自主学习新知突破自主学习新知突破合作探究课堂互动合作探究课堂互动高效测评知能提升高效测评知能提升1.通过对大量实例的分析,经历由平均变化率过渡到瞬时变化率的过程,了解导数概念的实际背景.2.知道瞬时变化率就是导数,体会导数的思想及其内涵.3.会利用导数定义求函数在某一点处的导数.数学选修1-1第三章导数及其应用自主学习新知突破自主学习新知突破合作探究课堂互动合作探究课堂互动高效测评知能提升高效测评知能提升巍巍泰山为我国的五岳之首,有“天下第一山”之美誉,登泰山在当地有“紧十八,慢十八,不紧不慢又十八”的俗语来形容爬十八盘的感受,下面是一段登山路线图.数学选修1-1第三章导数及其应用自主学习新知突破自主学习新知突破合作探究课堂互动合作探究课堂互动高效测评知能提升高效测评知能提升同样是登山,但是从A处到B处会感觉比较轻松,而从B处到C处会感觉比较吃力.想想看,为什么?你能用数学语言来量化BC段曲线的陡峭程度吗?[提示]山路从A到B高度的平均变化率为hAB=ΔyΔx=10-050-0=15,山路从B到C高度的平均变化率为hBC=ΔyΔx=15-1070-50=14,∴hBC>hAB,∴山路从B到C比从A到B要陡峭的多.数学选修1-1第三章导数及其应用自主学习新知突破自主学习新知突破合作探究课堂互动合作探究课堂互动高效测评知能提升高效测评知能提升函数的变化率定义实例作用平均变化率函数y=f(x)从x1到x2的平均变化率为________.简记作:ΔyΔx①平均速度;②曲线割线的斜率刻画函数值在区间_______上变化的快慢fx2-fx1x2-x1(x1,x2)数学选修1-1第三章导数及其应用自主学习新知突破自主学习新知突破合作探究课堂互动合作探究课堂互动高效测评知能提升高效测评知能提升定义实例作用瞬时变化率函数y=f(x)在x=x0处的瞬时变化率是limΔx→0ΔyΔx=______________________①瞬时速度:物体在...

1、当您付费下载文档后,您只拥有了使用权限,并不意味着购买了版权,文档只能用于自身使用,不得用于其他商业用途(如 [转卖]进行直接盈利或[编辑后售卖]进行间接盈利)。
2、本站所有内容均由合作方或网友上传,本站不对文档的完整性、权威性及其观点立场正确性做任何保证或承诺!文档内容仅供研究参考,付费前请自行鉴别。
3、如文档内容存在违规,或者侵犯商业秘密、侵犯著作权等,请点击“违规举报”。

碎片内容

蜗牛文库的最新文档

二年级数学下册其中检测卷二年级数学下册其中检测卷附答案#期中测试卷.pdf
10.00金币
0下载
二年级数学下册期末质检卷(苏教版)二年级数学下册期末质检卷(苏教版)#期末复习 #期末测试卷 #二年级数学 #二年级数学下册#关注我持续更新小学知识.pdf
10.00金币
0下载
二年级数学下册期末混合运算专项练习二年级数学下册期末混合运算专项练习#二年级#二年级数学下册#关注我持续更新小学知识 #知识分享 #家长收藏孩子受益.pdf
10.00金币
1下载
二年级数学下册年月日三类周期问题解题方法二年级数学下册年月日三类周期问题解题方法#二年级#二年级数学下册#知识分享 #关注我持续更新小学知识 #家长收藏孩子受益.pdf
10.00金币
0下载
二年级数学下册解决问题专项训练二年级数学下册解决问题专项训练#专项训练#解决问题#二年级#二年级数学下册#知识分享.pdf
10.00金币
1下载
二年级数学下册还原问题二年级数学下册还原问题#二年级#二年级数学#关注我持续更新小学知识 #知识分享 #家长收藏孩子受益.pdf
10.00金币
1下载
二年级数学下册第六单元考试卷家长打印出来给孩子测试测试争取拿到高分!#小学二年级试卷分享 #二年级第六单考试数学 #第六单考试#二年级数学下册.pdf
10.00金币
0下载
二年级数学下册必背顺口溜口诀汇总二年级数学下册必背顺口溜口诀汇总#二年级#二年级数学下册 #知识分享 #家长收藏孩子受益 #关注我持续更新小学知识.pdf
10.00金币
0下载
二年级数学下册《重点难点思维题》两大问题解决技巧和方法巧算星期几解决周期问题还原问题强化思维训练老师精心整理家长可以打印出来给孩子练习#家长收藏孩子受益 #学霸秘籍 #思维训练 #二年级 #知识点总结.pdf
10.00金币
0下载
二年级数学下册 必背公式大全寒假提前背一背开学更轻松#二年级 #二年级数学 #二年级数学下册 #寒假充电计划 #公式.pdf
10.00金币
0下载
蜗牛文库+ 关注
实名认证
内容提供者

提供各种专业文档内容

确认删除?
QQ
  • QQ点击这里给我发消息
微信客服
  • 微信客服
回到顶部