电脑桌面
添加蜗牛文库到电脑桌面
安装后可以在桌面快捷访问

高中数学(人教版A版必修一)配套课件:第一章 集合与函数的概念 1.2.1.pptxVIP免费

高中数学(人教版A版必修一)配套课件:第一章 集合与函数的概念 1.2.1.pptx高中数学(人教版A版必修一)配套课件:第一章 集合与函数的概念 1.2.1.pptx高中数学(人教版A版必修一)配套课件:第一章 集合与函数的概念 1.2.1.pptx高中数学(人教版A版必修一)配套课件:第一章 集合与函数的概念 1.2.1.pptx
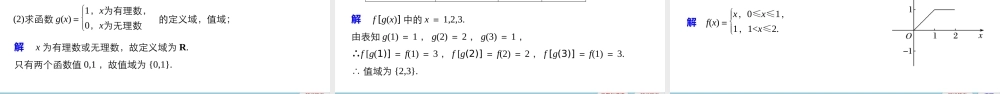
1.2.1函数的概念第一章1.2函数及其表示1.理解函数的概念;2.了解构成函数的三要素;3.正确使用函数、区间符号.问题导学题型探究达标检测学习目标问题导学新知探究点点落实知识点一函数的概念思考1初中时用运动变化的观点定义函数,用这种观点能否判断只有一个点(0,1),算不算是函数图象?答案答案因为只有一个点,用运动变化的观点判断就显得牵强,因此有必要引入用集合和对应来定义的函数概念.函数的概念:设A,B是的集,如果按照某种确定的f,使对于集合中的一个数x,在集合中都有的数f(x)和它对应,那么就称f:A→B为从集合A到集合B的一个函数,记作,x∈A.其中,x叫做,x的取值范围A叫做函数的;与x的值相对应的y值叫做,函数值的集合{f(x)|x∈A}叫做函数的,值域是集合B的子集.答案非空数对应关系A任意B唯一确定y=f(x)自变量定义域函数值值域思考2用函数的上述定义可以轻松判断:A={0},B={1},f:0→1,满足函数定义,其图象(0,1)自然是函数图象.试用新定义判断下列对应是不是函数?(1)f:求周长;A={三角形},B=R;答案x123y321(2);答案不是,因为集合A不是数集.答案是.对于数集A中的每一个x,在数集B中都有唯一确定的y和它对应.答案x123y111(4);x111y123(3);答案是.对于数集A中的每一个x,在数集B中都有唯一确定的y和它对应.答案不是.一个x=1,对应了三个不同的y,违反了“唯一确定”.答案(5);x123y12答案不是.x=3没有相应的y与之对应.知识点二函数相等思考函数f(x)=x2,x∈R与g(t)=t2,t∈R是不是同一个函数?答案答案两个函数都是描述的同一集合R中任一元素,按同一对应关系“平方”对应B中唯一确定的元素,故是同一个函数.一般地,函数有三个要素:定义域,对应关系与值域.如果两个函数的相同,并且完全一致,我们就称这两个函数相等.定义域对应关系知识点三区间思考1填写下表中不等式、区间和数轴的对应关系:答案集合R{x|x≥a}{x|x>a}区间数轴(-∞,+∞)[a,+∞)(a,+∞)答案集合{x|x≤a}{x|x0题型探究重点难点个个击破类型一函数的概念例1判断下列对应是否为集合A到集合B的函数.(1)A=R,B={x|x>0},f:x→y=|x|;解析答案(2)A=Z,B=Z,f:x→y=x2;解A中的元素0在B中没有对应元素,故不是集合A到集合B的函数....

1、当您付费下载文档后,您只拥有了使用权限,并不意味着购买了版权,文档只能用于自身使用,不得用于其他商业用途(如 [转卖]进行直接盈利或[编辑后售卖]进行间接盈利)。
2、本站所有内容均由合作方或网友上传,本站不对文档的完整性、权威性及其观点立场正确性做任何保证或承诺!文档内容仅供研究参考,付费前请自行鉴别。
3、如文档内容存在违规,或者侵犯商业秘密、侵犯著作权等,请点击“违规举报”。

碎片内容

蜗牛文库的最新文档

二年级数学下册其中检测卷二年级数学下册其中检测卷附答案#期中测试卷.pdf
10.00金币
0下载
二年级数学下册期末质检卷(苏教版)二年级数学下册期末质检卷(苏教版)#期末复习 #期末测试卷 #二年级数学 #二年级数学下册#关注我持续更新小学知识.pdf
10.00金币
0下载
二年级数学下册期末混合运算专项练习二年级数学下册期末混合运算专项练习#二年级#二年级数学下册#关注我持续更新小学知识 #知识分享 #家长收藏孩子受益.pdf
10.00金币
1下载
二年级数学下册年月日三类周期问题解题方法二年级数学下册年月日三类周期问题解题方法#二年级#二年级数学下册#知识分享 #关注我持续更新小学知识 #家长收藏孩子受益.pdf
10.00金币
0下载
二年级数学下册解决问题专项训练二年级数学下册解决问题专项训练#专项训练#解决问题#二年级#二年级数学下册#知识分享.pdf
10.00金币
1下载
二年级数学下册还原问题二年级数学下册还原问题#二年级#二年级数学#关注我持续更新小学知识 #知识分享 #家长收藏孩子受益.pdf
10.00金币
1下载
二年级数学下册第六单元考试卷家长打印出来给孩子测试测试争取拿到高分!#小学二年级试卷分享 #二年级第六单考试数学 #第六单考试#二年级数学下册.pdf
10.00金币
0下载
二年级数学下册必背顺口溜口诀汇总二年级数学下册必背顺口溜口诀汇总#二年级#二年级数学下册 #知识分享 #家长收藏孩子受益 #关注我持续更新小学知识.pdf
10.00金币
0下载
二年级数学下册《重点难点思维题》两大问题解决技巧和方法巧算星期几解决周期问题还原问题强化思维训练老师精心整理家长可以打印出来给孩子练习#家长收藏孩子受益 #学霸秘籍 #思维训练 #二年级 #知识点总结.pdf
10.00金币
0下载
二年级数学下册 必背公式大全寒假提前背一背开学更轻松#二年级 #二年级数学 #二年级数学下册 #寒假充电计划 #公式.pdf
10.00金币
0下载
蜗牛文库+ 关注
实名认证
内容提供者

提供各种专业文档内容

确认删除?
QQ
  • QQ点击这里给我发消息
微信客服
  • 微信客服
回到顶部